Рабочая программа по физике для 7-9 классов. (конструктор)

  • pdf
  • 08.10.2025
Публикация на сайте для учителей

Публикация педагогических разработок

Бесплатное участие. Свидетельство автора сразу.
Мгновенные 10 документов в портфолио.

Иконка файла материала РП ФИЗИКА 7-9 кл 25-26.pdf

ПОЯСНИТЕЛЬНАЯ ЗАПИСКА

 

Программа по физике на уровне основного общего образования составлена на основе положений и требований к результатам освоения на базовом уровне основной образовательной программы, представленных в ФГОС ООО, а также с учётом федеральной рабочей программы воспитания и Концепции преподавания учебного предмета «Физика».

Содержание программы по физике направлено на формирование естественнонаучной грамотности обучающихся и организацию изучения физики на деятельностной основе. В программе по физике учитываются возможности учебного предмета в реализации требований ФГОС ООО к планируемым личностным и метапредметным результатам обучения, а также межпредметные связи естественнонаучных учебных предметов на уровне основного общего образования.

Программа по физике устанавливает распределение учебного материала по годам обучения (по классам), предлагает примерную последовательность изучения тем, основанную на логике развития предметного содержания и учёте возрастных особенностей обучающихся.  

Программа по физике разработана с целью оказания методической помощи учителю в создании рабочей программы по учебному предмету.

Физика является системообразующим для естественнонаучных учебных предметов, поскольку физические законы лежат в основе процессов и явлений, изучаемых химией, биологией, астрономией и физической географией, вносит вклад в естественнонаучную картину мира, предоставляет наиболее ясные образцы применения научного метода познания, то есть способа получения достоверных знаний о мире.  

Одна из главных задач физического образования в структуре общего образования состоит в формировании естественнонаучной грамотности и интереса к науке у обучающихся.

Изучение физики на базовом уровне предполагает овладение следующими компетентностями, характеризующими естественнонаучную грамотность:

       научно объяснять явления;

       оценивать и понимать особенности научного исследования;

       интерпретировать данные и использовать научные доказательства для получения выводов.

Цели изучения физики на уровне основного общего образования определены в Концепции преподавания учебного предмета «Физика» в образовательных организациях Российской Федерации, реализующих основные общеобразовательные программы, утверждённой решением Коллегии Министерства просвещения Российской Федерации (протокол от 3 декабря 2019 г. № ПК4вн).  

Цели изучения физики:

       приобретение интереса и стремления обучающихся к научному изучению природы, развитие их интеллектуальных и творческих способностей;

       развитие представлений о научном методе познания и формирование исследовательского отношения к окружающим явлениям;

       формирование научного мировоззрения как результата изучения основ строения материи и фундаментальных законов физики;

       формирование представлений о роли физики для развития других естественных наук, техники и технологий;

       развитие представлений о возможных сферах будущей профессиональной деятельности, связанной с физикой, подготовка к дальнейшему обучению в этом направлении.  

Достижение этих целей программы по физике на уровне основного общего образования обеспечивается решением следующих задач:

       приобретение знаний о дискретном строении вещества, о механических, тепловых, электрических, магнитных и квантовых явлениях;

       приобретение умений описывать и объяснять физические явления с использованием полученных знаний;

       освоение методов      решения     простейших         расчётных задач          с использованием         физических          моделей,     творческих          и практикоориентированных задач;

       развитие умений наблюдать природные явления и выполнять опыты, лабораторные работы и экспериментальные исследования с использованием измерительных приборов;

       освоение приёмов работы с информацией физического содержания, включая информацию о современных достижениях физики, анализ и критическое оценивание информации;

       знакомство со сферами профессиональной деятельности, связанными с физикой, и современными технологиями, основанными на достижениях физической науки.  

 На изучение физики (базовый уровень) на уровне основного общего образования отводится 238 часов: в 7 классе – 68 часов (2 часа в неделю), в 8 классе – 68 часов (2 часа в неделю), в 9 классе – 102 часа (3 часа в неделю).

 

Предлагаемый в программе по физике перечень лабораторных работ и опытов носит рекомендательный характер, учитель делает выбор проведения лабораторных работ и опытов с учётом индивидуальных особенностей обучающихся, списка экспериментальных заданий, предлагаемых в рамках основного государственного экзамена по физике.

СОДЕРЖАНИЕ ОБУЧЕНИЯ  

 

7 КЛАСС

 

Раздел 1. Физика и её роль в познании окружающего мира.

Физика – наука о природе. Явления природы. Физические явления: механические, тепловые, электрические, магнитные, световые, звуковые.  

Физические величины. Измерение физических величин. Физические приборы. Погрешность измерений. Международная система единиц.  

Как физика и другие естественные науки изучают природу. Естественнонаучный метод познания: наблюдение, постановка научного вопроса, выдвижение гипотез, эксперимент по проверке гипотез, объяснение наблюдаемого явления. Описание физических явлений с помощью моделей.  

Демонстрации.

1.       Механические, тепловые,   электрические,    магнитные,          световые явления.  

2.       Физические приборы и процедура прямых измерений аналоговым и цифровым прибором.  

Лабораторные работы и опыты.

1.       Определение цены деления шкалы измерительного прибора.  

2.       Измерение расстояний.  

3.       Измерение объёма жидкости и твёрдого тела.  

4.       Определение размеров малых тел.  

5.       Измерение температуры при помощи жидкостного термометра и датчика температуры.  

6.       Проведение исследования по проверке гипотезы: дальность полёта шарика, пущенного горизонтально, тем больше, чем больше высота пуска.  

Раздел 2. Первоначальные сведения о строении вещества.

Строение вещества: атомы и молекулы, их размеры. Опыты, доказывающие дискретное строение вещества.

Движение частиц вещества. Связь скорости движения частиц с температурой. Броуновское движение, диффузия. Взаимодействие частиц вещества: притяжение и отталкивание.  

Агрегатные состояния вещества: строение газов, жидкостей и твёрдых (кристаллических) тел. Взаимосвязь между свойствами веществ в разных агрегатных состояниях и их атомномолекулярным строением. Особенности агрегатных состояний воды.  

Демонстрации.

1.       Наблюдение броуновского движения.

2.       Наблюдение диффузии.  

3.       Наблюдение     явлений,     объясняющихся притяжением       или отталкиванием частиц вещества.  

Лабораторные работы и опыты.

1.       Оценка    диаметра    атома          методом     рядов         (с       использованием фотографий).  

2.       Опыты по наблюдению теплового расширения газов.  

3.       Опыты по обнаружению действия сил молекулярного притяжения.  

Раздел 3. Движение и взаимодействие тел.

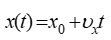
Механическое движение. Равномерное и неравномерное движение. Скорость. Средняя скорость при неравномерном движении. Расчёт пути и времени движения.  

Явление инерции. Закон инерции. Взаимодействие тел как причина изменения скорости движения тел. Масса как мера инертности тела. Плотность вещества. Связь плотности с количеством молекул в единице объёма вещества.  

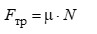
Сила как характеристика взаимодействия тел. Сила упругости и закон Гука. Измерение силы с помощью динамометра. Явление тяготения и сила тяжести. Сила тяжести на других планетах. Вес тела. Невесомость. Сложение сил, направленных по одной прямой. Равнодействующая сил. Сила трения.

Трение скольжения и трение покоя. Трение в природе и технике.  

Демонстрации.

1.       Наблюдение механического движения тела.  

2.       Измерение скорости прямолинейного движения.

3.       Наблюдение явления инерции.  

4.       Наблюдение изменения скорости при взаимодействии тел.  

5.       Сравнение масс по взаимодействию тел.  

6.       Сложение сил, направленных по одной прямой.  

Лабораторные работы и опыты.

1.       Определение скорости равномерного движения (шарика в жидкости, модели электрического автомобиля и так далее).  

2.       Определение средней скорости скольжения бруска или шарика по наклонной плоскости.  

3.       Определение плотности твёрдого тела.  

4.       Опыты, демонстрирующие зависимость растяжения (деформации) пружины от приложенной силы.  

5.       Опыты, демонстрирующие зависимость силы трения скольжения от веса тела и характера соприкасающихся поверхностей.

Раздел 4. Давление твёрдых тел, жидкостей и газов.

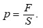
Давление. Способы уменьшения и увеличения давления. Давление газа. Зависимость давления газа от объёма, температуры. Передача давления твёрдыми телами, жидкостями и газами. Закон Паскаля. Пневматические машины. Зависимость давления жидкости от глубины. Гидростатический парадокс. Сообщающиеся сосуды. Гидравлические механизмы.  

Атмосфера Земли и атмосферное давление. Причины существования воздушной оболочки Земли. Опыт Торричелли. Измерение атмосферного давления. Зависимость атмосферного давления от высоты над уровнем моря. Приборы для измерения атмосферного давления.  

Действие жидкости и газа на погружённое в них тело. Выталкивающая (архимедова) сила. Закон Архимеда. Плавание тел. Воздухоплавание.  

Демонстрации.

1.       Зависимость давления газа от температуры.

2.       Передача давления жидкостью и газом.  

3.       Сообщающиеся сосуды.  

4.       Гидравлический пресс.  

5.       Проявление действия атмосферного давления.  

6.       Зависимость выталкивающей силы от объёма погружённой части тела и плотности жидкости.  

7.       Равенство выталкивающей силы весу вытесненной жидкости.  

8.       Условие плавания тел: плавание или погружение тел в зависимости от соотношения плотностей тела и жидкости.  

Лабораторные работы и опыты.

1.       Исследование зависимости веса тела в воде от объёма погружённой в жидкость части тела.

2.       Определение выталкивающей силы, действующей на тело, погружённое в жидкость.  

3.       Проверка независимости выталкивающей силы, действующей на тело в жидкости, от массы тела.

4.       Опыты, демонстрирующие зависимость выталкивающей силы, действующей на тело в жидкости, от объёма погружённой в жидкость части тела и от плотности жидкости.  

5.       Конструирование ареометра или конструирование лодки и определение её грузоподъёмности.  

Раздел 5. Работа и мощность. Энергия.

Механическая работа. Мощность.  

Простые механизмы: рычаг, блок, наклонная плоскость. Правило равновесия рычага. Применение правила равновесия рычага к блоку. «Золотое правило» механики. КПД простых механизмов. Простые механизмы в быту и технике.  

Механическая энергия. Кинетическая и потенциальная энергия. Превращение одного вида механической энергии в другой. Закон сохранения энергии в механике.  

Демонстрации.

1. Примеры простых механизмов.  

Лабораторные работы и опыты.

1.       Определение работы силы трения при равномерном движении тела по горизонтальной поверхности.  

2.       Исследование условий равновесия рычага.

3.       Измерение КПД наклонной плоскости.  

4.       Изучение закона сохранения механической энергии.

8 КЛАСС

 

Раздел 6. Тепловые явления.

Основные положения молекулярно-кинетической теории строения вещества. Масса и размеры атомов и молекул. Опыты, подтверждающие основные положения молекулярнокинетической теории.  

Модели твёрдого, жидкого и газообразного состояний вещества. Кристаллические и аморфные тела. Объяснение свойств газов, жидкостей и твёрдых тел на основе положений молекулярно-кинетической теории. Смачивание и капиллярные явления. Тепловое расширение и сжатие.  

Температура. Связь температуры со скоростью теплового движения частиц. Внутренняя энергия. Способы изменения внутренней энергии: теплопередача и совершение работы. Виды теплопередачи: теплопроводность, конвекция, излучение.  

Количество теплоты. Удельная теплоёмкость вещества. Теплообмен и тепловое равновесие. Уравнение теплового баланса. Плавление и отвердевание кристаллических веществ. Удельная теплота плавления. Парообразование и конденсация. Испарение. Кипение. Удельная теплота парообразования. Зависимость температуры кипения от атмосферного давления.  

Влажность воздуха.  

Энергия топлива. Удельная теплота сгорания.  

Принципы работы тепловых двигателей КПД теплового двигателя.

Тепловые двигатели и защита окружающей среды.  

Закон сохранения и превращения энергии в тепловых процессах.  

Демонстрации.

1.       Наблюдение броуновского движения.  

2.       Наблюдение диффузии.  

3.       Наблюдение явлений смачивания и капиллярных явлений.  

4.       Наблюдение теплового расширения тел.  

5.       Изменение давления газа при изменении объёма и нагревании или охлаждении.  

6.       Правила измерения температуры.  

7.       Виды теплопередачи.  

8.       Охлаждение при совершении работы.  

9.       Нагревание при совершении работы внешними силами.  

10.   Сравнение теплоёмкостей различных веществ.  

11.   Наблюдение кипения.  

12.   Наблюдение постоянства температуры при плавлении.

13.   Модели тепловых двигателей.  

Лабораторные работы и опыты.

1.       Опыты по обнаружению действия сил молекулярного притяжения.  

2.       Опыты по выращиванию кристаллов поваренной соли или сахара.  

3.       Опыты по наблюдению теплового расширения газов, жидкостей и твёрдых тел.  

4.       Определение давления воздуха в баллоне шприца.  

5.       Опыты, демонстрирующие зависимость давления воздуха от его объёма и нагревания или охлаждения.  

6.       Проверка гипотезы линейной зависимости длины столбика жидкости в термометрической трубке от температуры.  

7.       Наблюдение изменения внутренней энергии тела в результате теплопередачи и работы внешних сил.  

8.       Исследование явления теплообмена при смешивании холодной и горячей воды.  

9.       Определение количества теплоты, полученного водой при теплообмене с нагретым металлическим цилиндром.  

10.   Определение удельной теплоёмкости вещества.  

11.   Исследование процесса испарения.  

12.   Определение относительной влажности воздуха.  

13.   Определение удельной теплоты плавления льда.  

Раздел 7. Электрические и магнитные явления.

Электризация тел. Два рода электрических зарядов. Взаимодействие заряженных тел. Закон Кулона (зависимость силы взаимодействия заряженных тел от величины зарядов и расстояния между телами).  

Электрическое поле. Напряжённость электрического поля. Принцип суперпозиции электрических полей (на качественном уровне).  

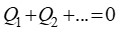
Носители электрических зарядов. Элементарный электрический заряд. Строение атома. Проводники и диэлектрики. Закон сохранения электрического заряда.  

Электрический ток. Условия существования электрического тока. Источники постоянного тока. Действия электрического тока (тепловое, химическое, магнитное). Электрический ток в жидкостях и газах.  

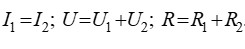
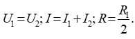
Электрическая цепь. Сила тока. Электрическое напряжение. Сопротивление проводника. Удельное сопротивление вещества. Закон Ома для участка цепи. Последовательное и параллельное соединение проводников.  

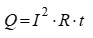
Работа и мощность электрического тока. Закон Джоуля–Ленца. Электрические цепи и потребители электрической энергии в быту. Короткое замыкание.  

             Постоянные     магниты.     Взаимодействие     постоянных     магнитов.

Магнитное поле. Магнитное поле Земли и его значение для жизни на Земле. Опыт Эрстеда. Магнитное поле электрического тока. Применение электромагнитов в технике. Действие магнитного поля на проводник с током. Электродвигатель постоянного тока. Использование электродвигателей в технических устройствах и на транспорте.  

Опыты Фарадея. Явление электромагнитной индукции. Правило Ленца. Электрогенератор. Способы получения электрической энергии.

Электростанции на возобновляемых источниках энергии.  

Демонстрации.

1.       Электризация тел.  

2.       Два рода электрических зарядов и взаимодействие заряженных тел.  

3.       Устройство и действие электроскопа.  

4.       Электростатическая индукция.  

5.       Закон сохранения электрических зарядов.

6.       Проводники и диэлектрики.  

7.       Моделирование силовых линий электрического поля.  

8.       Источники постоянного тока.  

9.       Действия электрического тока.

10.   Электрический ток в жидкости.

11.   Газовый разряд.  

12.   Измерение силы тока амперметром.  

13.   Измерение электрического напряжения вольтметром.  

14.   Реостат и магазин сопротивлений.  

15.   Взаимодействие постоянных магнитов.  

16.   Моделирование невозможности разделения полюсов магнита.

17.   Моделирование магнитных полей постоянных магнитов.  

18.   Опыт Эрстеда.  

19.   Магнитное поле тока. Электромагнит.  

20.   Действие магнитного поля на проводник с током.  

21.   Электродвигатель постоянного тока.  

22.   Исследование явления электромагнитной индукции.

23.   Опыты Фарадея.  

24.   Зависимость направления индукционного тока от условий его возникновения.  

25.   Электрогенератор постоянного тока.  

Лабораторные работы и опыты.

1.       Опыты по наблюдению электризации тел индукцией и при соприкосновении.  

2.       Исследование действия электрического поля на проводники и диэлектрики.  

3.       Сборка и проверка работы электрической цепи постоянного тока.  

4.       Измерение и регулирование силы тока.  

5.       Измерение и регулирование напряжения.  

6.       Исследование зависимости силы тока, идущего через резистор, от сопротивления резистора и напряжения на резисторе.  

7.       Опыты,    демонстрирующие       зависимость         электрического сопротивления проводника от его длины, площади поперечного сечения и материала.  

8.       Проверка правила сложения напряжений при последовательном соединении двух резисторов.  

9.       Проверка правила для силы тока при параллельном соединении резисторов.  

10.   Определение работы электрического тока, идущего через резистор.  

11.   Определение мощности электрического тока, выделяемой на резисторе.  

12.   Исследование зависимости силы тока, идущего через лампочку, от напряжения на ней.  

13.   Определение КПД нагревателя.  

14.   Исследование магнитного взаимодействия постоянных магнитов.  

15.   Изучение          магнитного          поля постоянных         магнитов    при    их объединении и разделении.  

16.   Исследование действия электрического тока на магнитную стрелку.  

17.   Опыты, демонстрирующие зависимость силы взаимодействия катушки с током и магнита от силы тока и направления тока в катушке.  

18.   Изучение действия магнитного поля на проводник с током.  

19.   Конструирование и изучение работы электродвигателя.  

20.   Измерение КПД электродвигательной установки.  

21.   Опыты по исследованию явления электромагнитной индукции: исследование изменений значения и направления индукционного тока.

9 КЛАСС

 

Раздел 8. Механические явления.

Механическое движение. Материальная точка. Система отсчёта. Относительность механического движения. Равномерное прямолинейное движение. Неравномерное прямолинейное движение. Средняя и мгновенная скорость тела при неравномерном движении.  

Ускорение. Равноускоренное прямолинейное движение. Свободное падение. Опыты Галилея.  

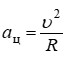
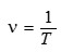
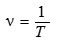
Равномерное движение по окружности. Период и частота обращения. Линейная и угловая скорости. Центростремительное ускорение.  

Первый закон Ньютона. Второй закон Ньютона. Третий закон Ньютона. Принцип суперпозиции сил.  

Сила упругости. Закон Гука. Сила трения: сила трения скольжения, сила трения покоя, другие виды трения.  

Сила тяжести и закон всемирного тяготения. Ускорение свободного падения. Движение планет вокруг Солнца. Первая космическая скорость. Невесомость и перегрузки.  

Равновесие материальной точки. Абсолютно твёрдое тело. Равновесие твёрдого тела с закреплённой осью вращения. Момент силы. Центр тяжести.  

Импульс тела. Изменение импульса. Импульс силы. Закон сохранения импульса. Реактивное движение.  

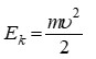
Механическая работа и мощность. Работа сил тяжести, упругости, трения. Связь энергии и работы. Потенциальная энергия тела, поднятого над поверхностью земли. Потенциальная энергия сжатой пружины. Кинетическая энергия. Теорема о кинетической энергии. Закон сохранения механической энергии.  

Демонстрации.

1.       Наблюдение механического движения тела относительно разных тел отсчёта.

2.       Сравнение путей и траекторий движения одного и того же тела относительно разных тел отсчёта.

3.       Измерение скорости и ускорения прямолинейного движения.  

4.       Исследование признаков равноускоренного движения.

5.       Наблюдение движения тела по окружности.  

6.       Наблюдение механических явлений, происходящих в системе отсчёта «Тележка» при её равномерном и ускоренном движении относительно кабинета физики.  

7.       Зависимость ускорения тела от массы тела и действующей на него силы.  

8.       Наблюдение равенства сил при взаимодействии тел.

9.       Изменение веса тела при ускоренном движении.  

10.   Передача импульса при взаимодействии тел.  

11.   Преобразования энергии при взаимодействии тел.  

12.   Сохранение импульса при неупругом взаимодействии.  

13.   Сохранение импульса при абсолютно упругом взаимодействии.  

14.   Наблюдение реактивного движения.  

15.   Сохранение механической энергии при свободном падении.  

16.   Сохранение механической энергии при движении тела под действием пружины.  

Лабораторные работы и опыты.

1.       Конструирование тракта для разгона и дальнейшего равномерного движения шарика или тележки.  

2.       Определение средней скорости скольжения бруска или движения шарика по наклонной плоскости.  

3.       Определение ускорения тела при равноускоренном движении по наклонной плоскости.  

4.       Исследование зависимости пути от времени при равноускоренном движении без начальной скорости.  

5.       Проверка гипотезы: если при равноускоренном движении без начальной скорости пути относятся как ряд нечётных чисел, то соответствующие промежутки времени одинаковы.  

6.       Исследование зависимости силы трения скольжения от силы нормального давления.  

7.       Определение коэффициента трения скольжения.  

8.       Определение жёсткости пружины.  

9.       Определение работы силы трения при равномерном движении тела по горизонтальной поверхности.  

10.   Определение работы силы упругости при подъёме груза с использованием неподвижного и подвижного блоков.  

11.   Изучение закона сохранения энергии.

Раздел 9. Механические колебания и волны.

Колебательное движение. Основные характеристики колебаний: период, частота, амплитуда. Математический и пружинный маятники. Превращение энергии при колебательном движении.  

Затухающие колебания. Вынужденные колебания. Резонанс. Механические волны. Свойства механических волн. Продольные и поперечные волны. Длина волны и скорость её распространения. Механические волны в твёрдом теле, сейсмические волны.  

Звук. Громкость звука и высота тона. Отражение звука. Инфразвук и ультразвук.  

Демонстрации.

1.       Наблюдение колебаний тел под действием силы тяжести и силы упругости.  

2.       Наблюдение колебаний груза на нити и на пружине.

3.       Наблюдение вынужденных колебаний и резонанса.  

4.       Распространение продольных и поперечных волн (на модели).  

5.       Наблюдение зависимости высоты звука от частоты.  

6.       Акустический резонанс.  

Лабораторные работы и опыты.

1.       Определение    частоты      и       периода      колебаний математического маятника.  

2.       Определение частоты и периода колебаний пружинного маятника.  

3.       Исследование зависимости периода колебаний подвешенного к нити груза от длины нити.  

4.       Исследование зависимости периода колебаний пружинного маятника от массы груза.  

5.       Проверка независимости периода колебаний груза, подвешенного к нити, от массы груза.  

6.       Опыты, демонстрирующие зависимость периода колебаний пружинного маятника от массы груза и жёсткости пружины.  

7.       Измерение ускорения свободного падения.  

Раздел 10. Электромагнитное поле и электромагнитные волны.

Электромагнитное поле. Электромагнитные волны. Свойства электромагнитных волн. Шкала электромагнитных волн. Использование электромагнитных волн для сотовой связи.  

Электромагнитная природа света. Скорость света. Волновые свойства света.  

Демонстрации.

1.       Свойства электромагнитных волн.  

2.       Волновые свойства света.  

Лабораторные работы и опыты.

1. Изучение свойств электромагнитных волн с помощью мобильного телефона.  

Раздел 11. Световые явления.

Лучевая модель света. Источники света. Прямолинейное распространение света. Затмения Солнца и Луны. Отражение света. Плоское зеркало. Закон отражения света.  

Преломление света. Закон преломления света. Полное внутреннее отражение света.          Использование    полного      внутреннего        отражения в оптических световодах.

Линза. Ход лучей в линзе. Оптическая система фотоаппарата, микроскопа и телескопа. Глаз как оптическая система. Близорукость и дальнозоркость.

Разложение белого света в спектр. Опыты Ньютона. Сложение спектральных цветов. Дисперсия света.

Демонстрации.

1.       Прямолинейное распространение света.

2.       Отражение света.

3.       Получение изображений в плоском, вогнутом и выпуклом зеркалах.

4.       Преломление света.

5.       Оптический световод.

6.       Ход лучей в собирающей линзе.

7.       Ход лучей в рассеивающей линзе.

8.       Получение изображений с помощью линз.

9.       Принцип действия фотоаппарата, микроскопа и телескопа.

10.   Модель глаза.

11.   Разложение белого света в спектр.

12.   Получение белого света при сложении света разных цветов.

Лабораторные работы и опыты.

1.       Исследование зависимости угла отражения светового луча от угла падения.

2.       Изучение характеристик изображения предмета в плоском зеркале.

3.       Исследование зависимости угла преломления светового луча от угла падения на границе «воздух–стекло».

4.       Получение изображений с помощью собирающей линзы.

5.       Определение фокусного расстояния и оптической силы собирающей линзы.

6.       Опыты по разложению белого света в спектр.

7.       Опыты по восприятию цвета предметов при их наблюдении через цветовые фильтры.

Раздел 12. Квантовые явления.

Опыты Резерфорда и планетарная модель атома. Модель атома Бора. Испускание и поглощение света атомом. Кванты. Линейчатые спектры.

Радиоактивность. Альфа, бета- и гамма-излучения. Строение атомного ядра. Нуклонная модель атомного ядра. Изотопы. Радиоактивные превращения. Период полураспада атомных ядер.

Ядерные реакции. Законы сохранения зарядового и массового чисел. Энергия связи атомных ядер. Связь массы и энергии. Реакции синтеза и деления ядер. Источники энергии Солнца и звёзд.

Ядерная энергетика. Действия радиоактивных излучений на живые организмы.

Демонстрации.

1.       Спектры излучения и поглощения.

2.       Спектры различных газов.

3.       Спектр водорода.

4.       Наблюдение треков в камере Вильсона.

5.       Работа счётчика ионизирующих излучений.

6.       Регистрация излучения природных минералов и продуктов.

Лабораторные работы и опыты.

1.       Наблюдение сплошных и линейчатых спектров излучения.

2.       Исследование треков: измерение энергии частицы по тормозному пути (по фотографиям).

3.       Измерение радиоактивного фона.

Повторительно-обобщающий модуль.

Повторительно-обобщающий модуль предназначен для систематизации и обобщения предметного содержания и опыта деятельности, приобретённого при изучении всего курса физики, а также для подготовки к основному государственному экзамену по физике для обучающихся, выбравших этот учебный предмет.

При изучении данного модуля реализуются и систематизируются виды деятельности, на основе которых обеспечивается достижение предметных и метапредметных планируемых результатов обучения, формируется естественнонаучная грамотность: освоение научных методов исследования явлений природы и техники, овладение умениями объяснять физические явления, применяя полученные знания, решать задачи, в том числе качественные и экспериментальные.

Принципиально деятельностный характер данного раздела реализуется за счёт того, что обучающиеся выполняют задания, в которых им предлагается:

на основе полученных знаний распознавать и научно объяснять

физические явления в окружающей природе и повседневной жизни; использовать научные методы исследования физических явлений, в том

числе для проверки гипотез и получения теоретических выводов;

объяснять научные основы наиболее важных достижений современных технологий, например, практического использования различных источников энергии на основе закона превращения и сохранения всех известных видов энергии.

ПЛАНИРУЕМЫЕ РЕЗУЛЬТАТЫ ОСВОЕНИЯ ПРОГРАММЫ ПО

ФИЗИКЕ НА УРОВНЕ ОСНОВНОГО ОБЩЕГО ОБРАЗОВАНИЯ

 

Изучение физики на уровне основного общего образования направлено на достижение личностных, метапредметных и предметных образовательных результатов.

В результате изучения физики на уровне основного общего образования у обучающегося будут сформированы следующие личностные результаты в части:

       1) патриотического воспитания:

       - проявление интереса к истории и современному состоянию российской физической науки;

       - ценностное отношение к достижениям российских учёных-физиков;

       2) гражданского и духовно-нравственного воспитания:

       - готовность к активному участию в обсуждении общественно значимых и этических проблем, связанных с практическим применением достижений физики;

       - осознание важности морально-этических принципов в деятельности учёного;

       3) эстетического воспитания:

       - восприятие эстетических качеств физической науки: её гармоничного построения, строгости, точности, лаконичности;

       4) ценности научного познания:

       - осознание ценности физической науки как мощного инструмента познания мира, основы развития технологий, важнейшей составляющей культуры;

       - развитие научной любознательности, интереса к исследовательской деятельности;

       5)   формирования   культуры здоровья    и       эмоционального благополучия:

       - осознание ценности безопасного образа жизни в современном технологическом мире, важности правил безопасного поведения на транспорте, на дорогах, с электрическим и тепловым оборудованием в домашних условиях;

       - сформированность навыка рефлексии, признание своего права на ошибку и такого же права у другого человека;

       6) трудового воспитания:

       - активное участие в решении практических задач (в рамках семьи, образовательной организации, города, края) технологической и социальной направленности, требующих в том числе и физических знаний;

       - интерес к практическому изучению профессий, связанных с физикой;

       7) экологического воспитания:

       - ориентация на применение физических знаний для решения задач в области окружающей среды, планирования поступков и оценки их возможных последствий для окружающей среды;

       - осознание глобального характера экологических проблем и путей их решения;

       8) адаптации к изменяющимся условиям социальной и природной среды:

       - потребность во взаимодействии при выполнении исследований и проектов физической направленности, открытость опыту и знаниям других;

       -     повышение          уровня        своей          компетентности   через       практическую деятельность;

       - потребность в формировании новых знаний, в том числе формулировать идеи, понятия, гипотезы о физических объектах и явлениях;

       - осознание дефицитов собственных знаний и компетентностей в области физики;

       - планирование своего развития в приобретении новых физических знаний;

       - стремление анализировать и выявлять взаимосвязи природы, общества и экономики, в том числе с использованием физических знаний;

       - оценка своих действий с учётом влияния на окружающую среду, возможных глобальных последствий.

 

МЕТАПРЕДМЕТНЫЕ РЕЗУЛЬТАТЫ

 

В результате освоения программы по физике на уровне основного общего образования у обучающегося будут сформированы метапредметные результаты, включающие познавательные универсальные учебные действия, коммуникативные универсальные учебные действия, регулятивные универсальные учебные действия.

 

Познавательные универсальные учебные действия

 

Базовые логические действия:

       выявлять и характеризовать существенные признаки объектов

(явлений);

       устанавливать существенный признак классификации, основания для обобщения и сравнения;

       выявлять закономерности и противоречия в рассматриваемых фактах, данных и наблюдениях, относящихся к физическим явлениям;

       выявлять причинно-следственные связи при изучении физических явлений и процессов, делать выводы с использованием дедуктивных и индуктивных умозаключений, выдвигать гипотезы о взаимосвязях физических величин;

       самостоятельно выбирать способ решения учебной физической задачи (сравнение нескольких вариантов решения, выбор наиболее подходящего с учётом самостоятельно выделенных критериев).

Базовые исследовательские действия:

       использовать вопросы как исследовательский инструмент познания;

       проводить по самостоятельно составленному плану опыт, несложный физический эксперимент, небольшое исследование физического явления;

       оценивать на применимость и достоверность информацию, полученную в ходе исследования или эксперимента;

       самостоятельно формулировать обобщения и выводы по результатам проведённого наблюдения, опыта, исследования;

       прогнозировать возможное дальнейшее развитие физических процессов, а также выдвигать предположения об их развитии в новых условиях и контекстах.

Работа с информацией:

       применять различные методы, инструменты и запросы при поиске и отборе информации или данных с учётом предложенной учебной физической задачи;

       анализировать, систематизировать и интерпретировать информацию различных видов и форм представления;

       самостоятельно выбирать оптимальную форму представления информации и иллюстрировать решаемые задачи несложными схемами, диаграммами, иной графикой и их комбинациями.

Коммуникативные универсальные учебные действия:

       в ходе обсуждения учебного материала, результатов лабораторных работ и проектов задавать вопросы по существу обсуждаемой темы и высказывать идеи, нацеленные на решение задачи и поддержание благожелательности общения;

       сопоставлять свои суждения с суждениями других участников

диалога, обнаруживать различие и сходство позиций;

       выражать свою точку зрения в устных и письменных текстах;

       публично представлять результаты выполненного физического опыта (эксперимента, исследования, проекта);

       понимать и использовать преимущества командной и индивидуальной работы при решении конкретной физической проблемы;

       принимать цели совместной деятельности, организовывать действия по её достижению: распределять роли, обсуждать процессы и результаты совместной работы, обобщать мнения нескольких людей;

       выполнять свою часть работы, достигая качественного результата по своему направлению и координируя свои действия с другими членами команды;

       оценивать качество своего вклада в общий продукт по критериям, самостоятельно сформулированным участниками взаимодействия.

 

Регулятивные универсальные учебные действия

 

Самоорганизация:

       выявлять проблемы в жизненных и учебных ситуациях, требующих для решения физических знаний;

       ориентироваться в различных подходах принятия решений (индивидуальное, принятие решения в группе, принятие решений группой);

       самостоятельно составлять алгоритм решения физической задачи или плана исследования с учётом имеющихся ресурсов и собственных возможностей, аргументировать предлагаемые варианты решений; делать выбор и брать ответственность за решение.

Самоконтроль, эмоциональный интеллект:

       давать адекватную оценку ситуации и предлагать план её изменения;

       объяснять причины достижения (недостижения) результатов деятельности, давать оценку приобретённому опыту;

       вносить коррективы в деятельность (в том числе в ход выполнения физического исследования или проекта) на основе новых обстоятельств, изменившихся ситуаций, установленных ошибок, возникших трудностей;

       оценивать соответствие результата цели и условиям;

       ставить себя на место другого человека в ходе спора или дискуссии на научную тему, понимать мотивы, намерения и логику другого;

       признавать своё право на ошибку при решении физических задач или в утверждениях на научные темы и такое же право другого.

 

ПРЕДМЕТНЫЕ РЕЗУЛЬТАТЫ  

 

К концу обучения в 7 классе предметные результаты на базовом уровне должны отражать сформированность у обучающихся умений:

       использовать понятия: физические и химические явления, наблюдение, эксперимент, модель, гипотеза, единицы физических величин, атом, молекула, агрегатные состояния вещества (твёрдое, жидкое, газообразное), механическое движение (равномерное, неравномерное, прямолинейное), траектория, равнодействующая сила, деформация (упругая, пластическая), невесомость, сообщающиеся сосуды;

       различать явления (диффузия, тепловое движение частиц вещества, равномерное движение, неравномерное движение, инерция, взаимодействие тел, равновесие твёрдых тел с закреплённой осью вращения, передача давления твёрдыми телами, жидкостями и газами, атмосферное давление, плавание тел, превращения механической энергии) по описанию их характерных свойств и на основе опытов, демонстрирующих данное физическое явление;

       распознавать проявление изученных физических явлений в окружающем мире, в том числе физические явления в природе: примеры движения с различными скоростями в живой и неживой природе, действие силы трения в природе и технике, влияние атмосферного давления на живой организм, плавание рыб, рычаги в теле человека, при этом переводить практическую задачу в учебную, выделять существенные свойства (признаки) физических явлений;

       описывать изученные свойства тел и физические явления, используя физические величины (масса, объём, плотность вещества, время, путь, скорость, средняя скорость, сила упругости, сила тяжести, вес тела, сила трения, давление (твёрдого тела, жидкости, газа), выталкивающая сила, механическая работа, мощность, плечо силы, момент силы, коэффициент полезного действия механизмов, кинетическая и потенциальная энергия), при описании правильно трактовать физический смысл используемых величин, их обозначения и единицы физических величин, находить формулы, связывающие данную физическую величину с другими величинами, строить графики изученных зависимостей физических величин;

       характеризовать свойства тел, физические явления и процессы, используя правила сложения сил (вдоль одной прямой), закон Гука, закон Паскаля, закон Архимеда, правило равновесия рычага (блока), «золотое правило» механики, закон сохранения механической энергии, при этом давать словесную формулировку закона и записывать его математическое выражение;

       объяснять физические явления, процессы и свойства тел, в том числе и в контексте ситуаций практикоориентированного характера: выявлять причинно-следственные связи, строить объяснение из 1–2 логических шагов с опорой на 1–2 изученных свойства физических явлений, физических закона или закономерности;

       решать расчётные задачи в 1–2 действия, используя законы и формулы, связывающие физические величины: на основе анализа условия задачи записывать краткое условие, подставлять физические величины в формулы и проводить расчёты, находить справочные данные, необходимые для решения задач, оценивать реалистичность полученной физической величины;

       распознавать проблемы, которые можно решить при помощи физических методов, в описании исследования выделять проверяемое предположение (гипотезу), различать и интерпретировать полученный результат, находить ошибки в ходе опыта, делать выводы по его результатам;

       проводить опыты по наблюдению физических явлений или физических свойств тел: формулировать проверяемые предположения, собирать установку из предложенного оборудования, записывать ход опыта и формулировать выводы;

       выполнять прямые измерения расстояния, времени, массы тела, объёма, силы и температуры с использованием аналоговых и цифровых приборов, записывать показания приборов с учётом заданной абсолютной погрешности измерений;

       проводить исследование зависимости одной физической величины от другой с использованием прямых измерений (зависимости пути равномерно движущегося тела от времени движения тела, силы трения скольжения от веса тела, качества обработки поверхностей тел и независимости силы трения от площади соприкосновения тел, силы упругости от удлинения пружины, выталкивающей силы от объёма погружённой части тела и от плотности жидкости, её независимости от плотности тела, от глубины, на которую погружено тело, условий плавания тел, условий равновесия рычага и блоков), участвовать в планировании учебного исследования, собирать установку и выполнять измерения, следуя предложенному плану, фиксировать результаты полученной зависимости физических величин в виде предложенных таблиц и графиков, делать выводы по результатам исследования;

       проводить косвенные измерения физических величин (плотность вещества жидкости и твёрдого тела, сила трения скольжения, давление воздуха, выталкивающая сила, действующая на погружённое в жидкость тело, коэффициент полезного действия простых механизмов), следуя предложенной инструкции: при выполнении измерений собирать экспериментальную установку и вычислять значение искомой величины;

       соблюдать правила техники безопасности при работе с лабораторным оборудованием;

       указывать принципы действия приборов и технических устройств: весы, термометр, динамометр, сообщающиеся сосуды, барометр, рычаг, подвижный и неподвижный блок, наклонная плоскость;

       характеризовать принципы действия изученных приборов и технических устройств с опорой на их описания (в том числе: подшипники, устройство водопровода, гидравлический пресс, манометр, высотомер, поршневой насос, ареометр), используя знания о свойствах физических явлений и необходимые физические законы и закономерности;

       приводить примеры (находить информацию о примерах) практического использования физических знаний в повседневной жизни для обеспечения безопасности при обращении с приборами и техническими устройствами, сохранения здоровья и соблюдения норм экологического поведения в окружающей среде;

       осуществлять отбор источников информации в Интернете в соответствии с заданным поисковым запросом, на основе имеющихся знаний и путём сравнения различных источников выделять информацию, которая является противоречивой или может быть недостоверной;

       использовать при выполнении учебных заданий научно-популярную литературу физического содержания, справочные материалы, ресурсы сети Интернет, владеть приёмами конспектирования текста, преобразования информации из одной знаковой системы в другую;

       создавать собственные краткие письменные и устные сообщения на основе 2–3 источников информации физического содержания, в том числе публично делать краткие сообщения о результатах проектов или учебных исследований, при этом грамотно использовать изученный понятийный аппарат курса физики, сопровождать выступление презентацией;

       при выполнении учебных проектов и исследований распределять обязанности в группе в соответствии с поставленными задачами, следить за выполнением плана действий, адекватно оценивать собственный вклад в деятельность группы, выстраивать коммуникативное взаимодействие, учитывая мнение окружающих.

К концу обучения в 8 классе предметные результаты на базовом уровне должны отражать сформированность у обучающихся умений:

       использовать понятия: масса и размеры молекул, тепловое движение атомов и молекул, агрегатные состояния вещества, кристаллические и аморфные тела, насыщенный и ненасыщенный пар, влажность воздуха, температура, внутренняя энергия, тепловой двигатель, элементарный электрический заряд, электрическое поле, проводники и диэлектрики, постоянный электрический ток, магнитное поле;

       различать явления (тепловое расширение и сжатие, теплопередача, тепловое равновесие, смачивание, капиллярные явления, испарение, конденсация, плавление, кристаллизация (отвердевание), кипение, теплопередача (теплопроводность, конвекция, излучение), электризация тел, взаимодействие зарядов, действия электрического тока, короткое замыкание, взаимодействие магнитов, действие магнитного поля на проводник с током, электромагнитная индукция) по описанию их характерных свойств и на основе опытов, демонстрирующих данное физическое явление;

       распознавать проявление изученных физических явлений в окружающем мире, в том числе физические явления в природе: поверхностное натяжение и капиллярные явления в природе, кристаллы в природе, излучение Солнца, замерзание водоёмов, морские бризы, образование росы, тумана, инея, снега, электрические явления в атмосфере, электричество живых организмов, магнитное поле Земли, дрейф полюсов, роль магнитного поля для жизни на Земле, полярное сияние, при этом переводить практическую задачу в учебную, выделять существенные свойства (признаки) физических явлений;

       описывать изученные свойства тел и физические явления, используя физические величины (температура, внутренняя энергия, количество теплоты, удельная теплоёмкость вещества, удельная теплота плавления, удельная теплота парообразования, удельная теплота сгорания топлива, коэффициент полезного действия тепловой машины, относительная влажность воздуха, электрический заряд, сила тока, электрическое напряжение, сопротивление проводника, удельное сопротивление вещества, работа и мощность электрического тока), при описании правильно трактовать физический смысл используемых величин, обозначения и единицы физических величин, находить формулы, связывающие данную физическую величину с другими величинами, строить графики изученных зависимостей физических величин;

       характеризовать свойства тел, физические явления и процессы, используя основные положения молекулярно-кинетической теории строения вещества, принцип суперпозиции полей (на качественном уровне), закон сохранения заряда, закон Ома для участка цепи, закон Джоуля–Ленца, закон сохранения энергии, при этом давать словесную формулировку закона и записывать его математическое выражение;

       объяснять физические процессы и свойства тел, в том числе и в контексте ситуаций практикоориентированного характера: выявлять причинноследственные связи, строить объяснение из 1–2 логических шагов с опорой на 1–2 изученных свойства физических явлений, физических законов или закономерностей;

       решать расчётные задачи в 2–3 действия, используя законы и формулы, связывающие физические величины: на основе анализа условия задачи записывать краткое условие, выявлять недостаток данных для решения задачи, выбирать законы и формулы, необходимые для её решения, проводить расчёты и сравнивать полученное значение физической величины с известными данными;

       распознавать проблемы, которые можно решить при помощи физических методов, используя описание исследования, выделять проверяемое предположение, оценивать правильность порядка проведения исследования, делать выводы;

       проводить опыты по наблюдению физических явлений или физических свойств тел (капиллярные явления, зависимость давления воздуха от его объёма, температуры, скорости процесса остывания и нагревания при излучении от цвета излучающей (поглощающей) поверхности, скорость испарения воды от температуры жидкости и площади её поверхности, электризация тел и взаимодействие электрических зарядов, взаимодействие постоянных магнитов, визуализация магнитных полей постоянных магнитов, действия магнитного поля на проводник с током, свойства электромагнита, свойства электродвигателя постоянного тока): формулировать проверяемые предположения, собирать установку из предложенного оборудования, описывать ход опыта и формулировать выводы;

       выполнять прямые измерения температуры, относительной влажности воздуха, силы тока, напряжения с использованием аналоговых приборов и датчиков физических величин, сравнивать результаты измерений с учётом заданной абсолютной погрешности;

       проводить исследование зависимости одной физической величины от другой с использованием прямых измерений (зависимость сопротивления проводника от его длины, площади поперечного сечения и удельного сопротивления вещества проводника, силы тока, идущего через проводник, от напряжения на проводнике, исследование последовательного и параллельного соединений проводников): планировать исследование, собирать установку и выполнять измерения, следуя предложенному плану, фиксировать результаты полученной зависимости в виде таблиц и графиков, делать выводы по результатам исследования;

       проводить косвенные измерения физических величин (удельная теплоёмкость вещества, сопротивление проводника, работа и мощность электрического тока): планировать измерения, собирать экспериментальную установку, следуя предложенной инструкции, и вычислять значение величины;

       соблюдать правила техники безопасности при работе с лабораторным оборудованием;

       характеризовать принципы действия изученных приборов и технических устройств с опорой на их описания (в том числе: система отопления домов, гигрометр, паровая турбина, амперметр, вольтметр, счётчик электрической энергии, электроосветительные приборы, нагревательные электроприборы (примеры), электрические предохранители, электромагнит, электродвигатель постоянного тока), используя знания о свойствах физических явлений и необходимые физические закономерности;

       распознавать простые технические устройства и измерительные приборы по схемам и схематичным рисункам (жидкостный термометр, термос, психрометр, гигрометр, двигатель внутреннего сгорания, электроскоп, реостат), составлять схемы электрических цепей с последовательным и параллельным соединением элементов, различая условные обозначения элементов электрических цепей;

       приводить примеры (находить информацию о примерах) практического использования физических знаний в повседневной жизни для обеспечения безопасности при обращении с приборами и техническими устройствами, сохранения здоровья и соблюдения норм экологического поведения в окружающей среде;

       осуществлять поиск информации физического содержания в Интернете, на основе имеющихся знаний и путём сравнения дополнительных источников выделять информацию, которая является противоречивой или может быть недостоверной;

       использовать при выполнении учебных заданий научно-популярную литературу физического содержания, справочные материалы, ресурсы сети Интернет, владеть приёмами конспектирования текста, преобразования информации из одной знаковой системы в другую;

       создавать собственные письменные и краткие устные сообщения, обобщая информацию из нескольких источников физического содержания, в том числе публично представлять результаты проектной или исследовательской деятельности, при этом грамотно использовать изученный понятийный аппарат курса физики, сопровождать выступление презентацией;

       при выполнении учебных проектов и исследований физических процессов распределять обязанности в группе в соответствии с поставленными задачами, следить за выполнением плана действий и корректировать его, адекватно оценивать собственный вклад в деятельность группы, выстраивать коммуникативное взаимодействие, проявляя готовность разрешать конфликты.

К концу обучения в 9 классе предметные результаты на базовом уровне должны отражать сформированность у обучающихся умений:

       использовать понятия: система отсчёта, материальная точка, траектория, относительность механического движения, деформация (упругая, пластическая), трение, центростремительное ускорение, невесомость и перегрузки, центр тяжести, абсолютно твёрдое тело, центр тяжести твёрдого тела, равновесие, механические колебания и волны, звук, инфразвук и ультразвук, электромагнитные волны, шкала электромагнитных волн, свет, близорукость и дальнозоркость, спектры испускания и поглощения, альфа, бета- и гамма-излучения, изотопы, ядерная энергетика;

       различать явления (равномерное и неравномерное прямолинейное движение, равноускоренное прямолинейное движение, свободное падение тел, равномерное движение по окружности, взаимодействие тел, реактивное движение, колебательное движение (затухающие и вынужденные колебания), резонанс, волновое движение, отражение звука, прямолинейное распространение, отражение и преломление света, полное внутреннее отражение света, разложение белого света в спектр и сложение спектральных цветов, дисперсия света, естественная радиоактивность, возникновение линейчатого спектра излучения) по описанию их характерных свойств и на основе опытов, демонстрирующих данное физическое явление;

       распознавать проявление изученных физических явлений в окружающем мире (в том числе физические явления в природе: приливы и отливы, движение планет Солнечной системы, реактивное движение живых организмов, восприятие звуков животными, землетрясение, сейсмические волны, цунами, эхо, цвета тел, оптические явления в природе, биологическое действие видимого, ультрафиолетового и рентгеновского излучений, естественный радиоактивный фон, космические лучи, радиоактивное излучение природных минералов, действие радиоактивных излучений на организм человека), при этом переводить практическую задачу в учебную, выделять существенные свойства (признаки) физических явлений;

       описывать изученные свойства тел и физические явления, используя физические величины (средняя и мгновенная скорость тела при неравномерном движении, ускорение, перемещение, путь, угловая скорость, сила трения, сила упругости, сила тяжести, ускорение свободного падения, вес тела, импульс тела, импульс силы, механическая работа и мощность, потенциальная энергия тела, поднятого над поверхностью земли, потенциальная энергия сжатой пружины, кинетическая энергия, полная механическая энергия, период и частота колебаний, длина волны, громкость звука и высота тона, скорость света, показатель преломления среды), при описании правильно трактовать физический смысл используемых величин, обозначения и единицы физических величин, находить формулы, связывающие данную физическую величину с другими величинами, строить графики изученных зависимостей физических величин;

       характеризовать свойства тел, физические явления и процессы, используя закон сохранения энергии, закон всемирного тяготения, принцип суперпозиции сил, принцип относительности Галилея, законы Ньютона, закон сохранения импульса, законы отражения и преломления света, законы сохранения зарядового и массового чисел при ядерных реакциях, при этом давать словесную формулировку закона и записывать его математическое выражение;

       объяснять физические процессы и свойства тел, в том числе и в контексте ситуаций практикоориентированного характера: выявлять причинно-следственные связи, строить объяснение из 2–3 логических шагов с опорой на 2–3 изученных свойства физических явлений, физических законов или закономерностей;

       решать расчётные задачи (опирающиеся на систему из 2–3 уравнений), используя законы и формулы, связывающие физические величины: на основе анализа условия задачи записывать краткое условие, выявлять недостающие или избыточные данные, выбирать законы и формулы, необходимые для решения, проводить расчёты и оценивать реалистичность полученного значения физической величины;

       распознавать проблемы, которые можно решить при помощи физических методов, используя описание исследования, выделять проверяемое предположение, оценивать правильность порядка проведения исследования, делать выводы, интерпретировать результаты наблюдений и опытов;

       проводить опыты по наблюдению физических явлений или физических свойств тел (изучение второго закона Ньютона, закона сохранения энергии, зависимость периода колебаний пружинного маятника от массы груза и жёсткости пружины и независимость от амплитуды малых колебаний, прямолинейное распространение света, разложение белого света в спектр, изучение свойств изображения в плоском зеркале и свойств изображения предмета в собирающей линзе, наблюдение сплошных и линейчатых спектров излучения): самостоятельно собирать установку из избыточного набора оборудования, описывать ход опыта и его результаты, формулировать выводы;

       проводить при необходимости серию прямых измерений, определяя среднее значение измеряемой величины (фокусное расстояние собирающей линзы), обосновывать выбор способа измерения (измерительного прибора);

       проводить исследование зависимостей физических величин с использованием прямых измерений (зависимость пути от времени при равноускоренном движении без начальной скорости, периода колебаний математического маятника от длины нити, зависимости угла отражения света от угла падения и угла преломления от угла падения): планировать исследование, самостоятельно собирать установку, фиксировать результаты полученной зависимости физических величин в виде таблиц и графиков, делать выводы по результатам исследования;

       проводить косвенные измерения физических величин (средняя скорость и ускорение тела при равноускоренном движении, ускорение свободного падения, жёсткость пружины, коэффициент трения скольжения, механическая работа и мощность, частота и период колебаний математического и пружинного маятников, оптическая сила собирающей линзы, радиоактивный фон): планировать измерения, собирать экспериментальную установку и выполнять измерения, следуя предложенной инструкции, вычислять значение величины и анализировать полученные результаты с учётом заданной погрешности измерений;

       соблюдать правила техники безопасности при работе с лабораторным оборудованием;

       различать основные признаки изученных физических моделей: материальная точка, абсолютно твёрдое тело, точечный источник света, луч, тонкая линза, планетарная модель атома, нуклонная модель атомного ядра;

       характеризовать принципы действия изученных приборов и технических устройств с опорой на их описания (в том числе: спидометр, датчики положения, расстояния и ускорения, ракета, эхолот, очки, перископ, фотоаппарат, оптические световоды, спектроскоп, дозиметр, камера Вильсона), используя знания о свойствах физических явлений и необходимые физические закономерности;

       использовать схемы и схематичные рисунки изученных технических устройств, измерительных приборов и технологических процессов при решении учебно-практических задач, оптические схемы для построения изображений в плоском зеркале и собирающей линзе;

       приводить примеры (находить информацию о примерах) практического использования физических знаний в повседневной жизни для обеспечения безопасности при обращении с приборами и техническими устройствами, сохранения здоровья и соблюдения норм экологического поведения в окружающей среде;

       осуществлять   поиск          информации        физического        содержания       в

Интернете, самостоятельно формулируя поисковый запрос, находить пути определения достоверности полученной информации на основе имеющихся знаний и дополнительных источников;

       использовать при выполнении учебных заданий научно-популярную литературу физического содержания, справочные материалы, ресурсы сети Интернет, владеть приёмами конспектирования текста, преобразования информации из одной знаковой системы в другую;

       создавать собственные письменные и устные сообщения на основе информации из нескольких источников физического содержания, публично представлять результаты проектной или исследовательской деятельности, при этом грамотно использовать изученный понятийный аппарат изучаемого раздела физики и сопровождать выступление презентацией с учётом особенностей аудитории сверстников.


 ТЕМАТИЧЕСКОЕ ПЛАНИРОВАНИЕ  

7   КЛАСС  

п/п  

 

Наименование разделов и тем программы  

 

Количество часов

 

Электронные (цифровые) образовательные

ресурсы  

 

Всего  

 

Контрольные

работы  

 

Практические

работы  

 

Раздел 1. Физика и её роль в познании окружающего мира

 

 

1.1

Физика - наука о природе

 2  

 

 

Библиотека ЦОК

https://m.edsoo.ru/7f416194

1.2

Физические величины

 2  

 

 1  

Библиотека ЦОК

https://m.edsoo.ru/7f416194

1.3

Естественнонаучный метод познания

 2  

 

 1  

Библиотека ЦОК

https://m.edsoo.ru/7f416194

Итого по разделу

 6  

 

 

 

Раздел 2. Первоначальные сведения о строении вещества

 

 

2.1

Строение вещества

 1  

 

 

Библиотека ЦОК

https://m.edsoo.ru/7f416194

2.2

Движение и взаимодействие частиц вещества

 2  

 

 1  

Библиотека ЦОК

https://m.edsoo.ru/7f416194

2.3

Агрегатные состояния вещества

 2  

 

 

Библиотека ЦОК

https://m.edsoo.ru/7f416194

Итого по разделу

 5  

 

 

 

Раздел 3. Движение и взаимодействие тел

 

 

3.1

Механическое движение

 3  

 

 

Библиотека ЦОК

https://m.edsoo.ru/7f416194

3.2

Инерция, масса, плотность

 4  

 

 1  

Библиотека ЦОК

 

 

 

 

 

 

 

https://m.edsoo.ru/7f416194

3.3

Сила. Виды сил

 

 14  

 1  

 2  

Библиотека ЦОК

https://m.edsoo.ru/7f416194

Итого по разделу

 

 21  

 

 

 

Раздел 4. Давление твёрдых тел, жидкостей и газов

 

 

 

4.1

Давление. Передача давления твёрдыми телами, жидкостями и газами

 

 3  

 

 

Библиотека ЦОК

https://m.edsoo.ru/7f416194

4.2

Давление жидкости

 

 5  

 

 

Библиотека ЦОК

https://m.edsoo.ru/7f416194

4.3

Атмосферное давление

 

 6  

 

 

Библиотека ЦОК

https://m.edsoo.ru/7f416194

4.4

Действие жидкости и газа на погружённое в них тело

 

 7  

 2  

 3  

Библиотека ЦОК

https://m.edsoo.ru/7f416194

Итого по разделу

 

 21  

 

 

 

Раздел 5. Работа и мощность. Энергия

 

 

 

5.1

Работа и мощность

 

 3  

 

 1  

Библиотека ЦОК

https://m.edsoo.ru/7f416194

5.2

Простые механизмы

 

 5  

 

 1  

Библиотека ЦОК

https://m.edsoo.ru/7f416194

5.3

Механическая энергия

 

 4  

 1  

 1  

Библиотека ЦОК

https://m.edsoo.ru/7f416194

Итого по разделу

 

 12  

 

 

 

Резервное время

 

 3  

 

 

 

ОБЩЕЕ КОЛИЧЕСТВО ЧАСОВ ПО ПРОГРАММЕ

 

 68  

 4  

 12  

 

8   КЛАСС  

№ п/п  

 

Наименование разделов и тем программы  

 

Количество часов

 

Электронные (цифровые) образовательные

ресурсы  

 

Всего  

 

Контрольные

работы  

 

Практические

работы  

 

Раздел 1. Тепловые явления

 

 

1.1

Строение и свойства вещества

 7  

 

 

Библиотека ЦОК

https://m.edsoo.ru/7f4181ce

1.2

Тепловые процессы

 21  

 1  

 5  

Библиотека ЦОК

https://m.edsoo.ru/7f4181ce

Итого по разделу

 28  

 

 

 

Раздел 2. Электрические и магнитные явления

 

 

2.1

Электрические заряды. Заряженные тела и их взаимодействие

 7  

 

 1  

Библиотека ЦОК

https://m.edsoo.ru/7f4181ce

2.2

Постоянный электрический ток

 20  

 2  

 7  

Библиотека ЦОК

https://m.edsoo.ru/7f4181ce

2.3

Магнитные явления

 6  

 1  

 1.5  

Библиотека ЦОК

https://m.edsoo.ru/7f4181ce

2.4

Электромагнитная индукция

 4  

 

 

Библиотека ЦОК

https://m.edsoo.ru/7f4181ce

Итого по разделу

 37  

 

 

 

Резервное время

 3  

 

 

 

ОБЩЕЕ КОЛИЧЕСТВО ЧАСОВ ПО ПРОГРАММЕ

 68  

 4  

 14.5  

 

9   КЛАСС  

№ п/п  

 

Наименование разделов и тем программы  

 

Количество часов

 

Электронные (цифровые) образовательные

ресурсы  

 

Всего  

 

Контрольные

работы  

 

Практические

работы  

 

Раздел 1. Механические явления

 

 

1.1

Механическое движение и способы его описания  

 10  

 

 1  

Библиотека ЦОК

https://m.edsoo.ru/7f41a4a6

1.2

Взаимодействие тел

 20  

 1  

 3  

Библиотека ЦОК

https://m.edsoo.ru/7f41a4a6

1.3

Законы сохранения

 10  

 

 3  

Библиотека ЦОК

https://m.edsoo.ru/7f41a4a6

Итого по разделу

 40  

 

 

 

Раздел 2. Механические колебания и волны

 

 

2.1

Механические колебания

 7  

 

 3  

Библиотека ЦОК

https://m.edsoo.ru/7f41a4a6

2.2

Механические волны. Звук

 8  

 1  

 3  

Библиотека ЦОК

https://m.edsoo.ru/7f41a4a6

Итого по разделу

 15  

 

 

 

Раздел 3. Электромагнитное поле и электромагнитные волны

 

 

3.1

Электромагнитное поле и электромагнитные волны

 6  

 

 2  

Библиотека ЦОК

https://m.edsoo.ru/7f41a4a6

Итого по разделу

 6  

 

 

 

Раздел 4. Световые явления

 

 

4.1

Законы распространения света

 6  

 

 2  

Библиотека ЦОК

 

 

 

 

 

 

https://m.edsoo.ru/7f41a4a6

4.2

Линзы и оптические приборы

 6  

 

 3  

Библиотека ЦОК

https://m.edsoo.ru/7f41a4a6

4.3

Разложение белого света в спектр

 3  

 

 2  

Библиотека ЦОК

https://m.edsoo.ru/7f41a4a6

Итого по разделу

 15  

 

 

 

Раздел 5. Квантовые явления

 

 

 

 

5.1

Испускание и поглощение света атомом

 4  

 

 1  

Библиотека ЦОК

https://m.edsoo.ru/7f41a4a6

5.2

Строение атомного ядра

 6  

 

 1  

Библиотека ЦОК

https://m.edsoo.ru/7f41a4a6

5.3

Ядерные реакции

 7  

 1  

 1  

Библиотека ЦОК

https://m.edsoo.ru/7f41a4a6

Итого по разделу

 17  

 

 

 

Раздел 6. Повторительно-обобщающий модуль

 

 

 

 

6.1

Повторение и обобщение содержания курса физики за 7-9 класс

 9  

 

 2  

Библиотека ЦОК

https://m.edsoo.ru/7f41a4a6

Итого по разделу

 9  

 

 

 

ОБЩЕЕ КОЛИЧЕСТВО ЧАСОВ ПО ПРОГРАММЕ

 102  

 3  

 27  

 


 


 ПОУРОЧНОЕ ПЛАНИРОВАНИЕ  

 7 КЛАСС  

п/п  

 

Тема урока  

 

Количество часов

 

Дата

изучения  

 

Электронные цифровые образовательные

ресурсы  

 

Всего  

 

Контрольные

работы  

 

Практические

работы  

 

1

Физика — наука о природе. Явления природы. Физические

явления

 1  

 

 

 

 

2

Механические, тепловые, электрические, магнитные, световые, звуковые явления

 1  

 

 

 

 

3

Физические величины и их измерение

 1  

 

 

 

 

4

Урок-исследование "Измерение температуры при помощи жидкостного термометра и датчика температуры"

 1  

 

 1  

 

 

5

Как физика и другие естественные науки изучают природу. Естественнонаучный метод познания. Описание физических явлений с помощью моделей. М. "Ш.У.": Международный день охраны озонового слоя (с 1994 г. по решению Генеральной Ассамблеи

ООН)

 1  

 

 

 

Библиотека ЦОК

https://m.edsoo.ru/ff09f72a

 

6

Урок-исследование "Проверка гипотезы: дальность полёта шарика, пущенного горизонтально, тем больше, чем больше высота пуска"

 1  

 

 1  

 

 

7

Строение вещества. Опыты, доказывающие дискретное строение вещества

 1  

 

 

 

Библиотека ЦОК

https://m.edsoo.ru/ff09fe0a

8

Движение частиц вещества

 1  

 

 

 

Библиотека ЦОК

https://m.edsoo.ru/ff0a013e

9

Урок-исследование «Опыты по наблюдению теплового расширения газов»

 1  

 

 1  

 

 

10

Агрегатные состояния вещества

 1  

 

 

 

 

11

Взаимосвязь между свойствами веществ в разных агрегатных состояниях и их атомномолекулярным строением. Особенности агрегатных состояний воды

 1  

 

 

 

Библиотека ЦОК

https://m.edsoo.ru/ff0a0378

12

Механическое движение. Равномерное и неравномерное движение

 1  

 

 

 

Библиотека ЦОК

https://m.edsoo.ru/ff0a05c6

13

Скорость. Единицы скорости

 1  

 

 

 

Библиотека ЦОК

https://m.edsoo.ru/ff0a079c

14

Расчет пути и времени движения

 1  

 

 

 

Библиотека ЦОК

https://m.edsoo.ru/ff0a0ae4

15

Инерция. Закон инерции. Взаимодействие тел как причина изменения скорости движения тел

 1  

 

 

 

Библиотека ЦОК

https://m.edsoo.ru/ff0a0c10

 

16

Плотность вещества. Расчет массы и объема тела по его плотности

 1  

 

 

 

Библиотека ЦОК

https://m.edsoo.ru/ff0a0fee

17

Лабораторная работа «Определение плотности твёрдого тела»

 1  

 

 1  

 

 

18

Решение задач по теме "Плотность вещества"

 1  

 

 

 

Библиотека ЦОК

https://m.edsoo.ru/ff0a123c

19

Сила как характеристика взаимодействия тел. Сила упругости. Закон Гука

 1  

 

 

 

 

20

Лабораторная работа «Изучение зависимости растяжения (деформации) пружины от приложенной силы»

 1  

 

 1  

 

 

21

Явление тяготения. Сила тяжести

 1  

 

 

 

 

22

Связь между силой тяжести и массой тела. Вес тела. Решение задач по теме "Сила тяжести"

 1  

 

 

 

Библиотека ЦОК

https://m.edsoo.ru/ff0a1778

23

Сила тяжести на других планетах.

Физические характеристики планет

 1  

 

 

 

Библиотека ЦОК

https://m.edsoo.ru/ff0a1502

24

Измерение сил. Динамометр

 1  

 

 

 

Библиотека ЦОК

https://m.edsoo.ru/ff0a18cc

25

Вес тела. Невесомость

 1  

 

 

 

Библиотека ЦОК

https://m.edsoo.ru/ff0a1778

26

Сложение двух сил, направленных по одной прямой. Равнодействующая сил

 1  

 

 

 

Библиотека ЦОК

https://m.edsoo.ru/ff0a1a70

27

Решение задач по теме

"Равнодействующая сил"

 1  

 

 

 

 

 

28

Трение скольжения и трение покоя.

Трение в природе и технике

 1  

 

 

 

Библиотека ЦОК

https://m.edsoo.ru/ff0a1b9c

29

Лабораторная работа «Изучение зависимости силы трения скольжения от силы давления и характера соприкасающихся поверхностей»

 1  

 

 1  

 

Библиотека ЦОК

https://m.edsoo.ru/ff0a1cc8

30

Решение задач на определение равнодействующей силы

 1  

 

 

 

 

31

Решение задач по темам: «Вес тела», «Графическое изображение сил», «Силы», «Равнодействующая сил»

 1  

 

 

 

Библиотека ЦОК

https://m.edsoo.ru/ff0a1de0

32

Контрольная работа по темам: «Механическое движение», «Масса, плотность», «Вес тела»,

«Графическое изображение сил»,

«Силы»

 1  

 1  

 

 

 

33

Давление. Способы уменьшения и увеличения давления. М. "Ш.У.": 300 лет со дня официального открытия Академии наук в Санкт

Петербурге 1726

 1  

 

 

 

Библиотека ЦОК

https://m.edsoo.ru/ff0a20a6

34

Давление газа. Зависимость давления газа от объёма, температуры

 1  

 

 

 

Библиотека ЦОК

https://m.edsoo.ru/ff0a2376

35

Передача давления твёрдыми телами, жидкостями и газами. Закон

Паскаля

 1  

 

 

 

Библиотека ЦОК

https://m.edsoo.ru/ff0a25b0

 

36

Давление в жидкости и газе, вызванное действием силы тяжести

 1  

 

 

 

Библиотека ЦОК

https://m.edsoo.ru/ff0a2718

37

Решение задач по теме «Давление в жидкости и газе. Закон Паскаля»

 1  

 

 

 

Библиотека ЦОК

https://m.edsoo.ru/ff0a2826

38

Сообщающиеся сосуды

 1  

 

 

 

Библиотека ЦОК

https://m.edsoo.ru/ff0a2970

39

Гидравлический пресс

 1  

 

 

 

Библиотека ЦОК

https://m.edsoo.ru/ff0a3136

40

Манометры. Поршневой

жидкостный насос. М. "Ш.У.": День российской науки .

 1  

 

 

 

 

41

Атмосфера Земли. Причины существования воздушной оболочки Земли. Зависимость атмосферного давления от высоты над уровнем моря

 1  

 

 

 

Библиотека ЦОК

https://m.edsoo.ru/ff0a2b5a

42

Вес воздуха. Атмосферное давление

 1  

 

 

 

Библиотека ЦОК

https://m.edsoo.ru/ff0a2b5a

43

Измерение атмосферного давления.

Опыт Торричелли

 1  

 

 

 

Библиотека ЦОК

https://m.edsoo.ru/ff0a2da8

44

Зависимость атмосферного давления от высоты над уровнем моря

 1  

 

 

 

Библиотека ЦОК

https://m.edsoo.ru/ff0a2fc4

45

Барометр-анероид. Атмосферное давление на различных высотах

 1  

 

 

 

Библиотека ЦОК

https://m.edsoo.ru/ff0a2fc4

46

Решение задач по теме

"Атмосферное давление"

 1  

 

 

 

 

47

Действие жидкости и газа на

 1  

 

 

 

Библиотека ЦОК

 

 

погруженное в них тело. Архимедова сила. М. "Ш.У.":

Всемирный день инженерии

 

 

 

 

https://m.edsoo.ru/ff0a3276

48

Лабораторная работа «Определение выталкивающей силы,

действующей на тело, погруженное в жидкость»

 1  

 

 1  

 

Библиотека ЦОК

https://m.edsoo.ru/ff0a33fc

49

Лабораторная работа по теме «Исследование зависимости веса тела в воде от объёма погруженной в жидкость части тела»

 1  

 

 1  

 

Библиотека ЦОК

https://m.edsoo.ru/ff0a3514

50

Плавание тел

 1  

 

 

 

Библиотека ЦОК

https://m.edsoo.ru/ff0a3a96

51

Лабораторная работа

"Конструирование ареометра или конструирование лодки и определение её грузоподъёмности"

 1  

 

 1  

 

 

52

Решение задач по темам: «Плавание судов. Воздухоплавание»,

«Давление твердых тел, жидкостей и газов»

 1  

 

 

 

Библиотека ЦОК

https://m.edsoo.ru/ff0a3654

53

Механическая работа

 1  

 

 

 

Библиотека ЦОК

https://m.edsoo.ru/ff0a3f82

54

Мощность. Единицы мощности. М.

"Ш.У.": День космонавтики

 1  

 

 

 

Библиотека ЦОК

https://m.edsoo.ru/ff0a3f82

55

Урок-исследование "Расчёт мощности, развиваемой при подъёме по лестнице"

 1  

 

 1  

 

 

 

56

Простые механизмы. Рычаг.

Равновесие сил на рычаге

 1  

 

 

 

 

57

Контрольная работа по теме «Давление твердых тел, жидкостей и газов» / Всероссийская проверочная работа

 1  

 1  

 

 

 

58

Резервный урок. Работа с текстами по теме «Давление твёрдых тел, жидкостей и газов» / Всероссийская проверочная работа

 1  

 1  

 

 

Библиотека ЦОК

https://m.edsoo.ru/ff0a4ffe

59

Рычаги в технике, быту и природе.

Лабораторная работа

«Исследование условий равновесия рычага»

 1  

 

 0.5  

 

Библиотека ЦОК

https://m.edsoo.ru/ff0a478e

60

Решение задач по теме «Условия равновесия рычага». М. "Ш. У.": День рождения Ивана Петровича Кулибина, изобретателя.

 1  

 

 

 

Библиотека ЦОК

https://m.edsoo.ru/ff0a48a6

61

Коэффициент полезного действия механизма. Лабораторная работа «Измерение КПД наклонной плоскости»

 1  

 

 0.5  

 

 

62

Решение задач по теме "Работа, мощность, КПД"

 1  

 

 

 

Библиотека ЦОК

https://m.edsoo.ru/ff0a4c48

63

Механическая энергия. Кинетическая и потенциальная

энергия

 1  

 

 

 

Библиотека ЦОК

https://m.edsoo.ru/ff0a4252

64

Закон сохранения механической

 1  

 

 

 

Библиотека ЦОК

https://m.edsoo.ru/ff0a4360

 

энергии

 

 

 

 

 

65

Урок-эксперимент по теме "Экспериментальное определение изменения кинетической и потенциальной энергии при скатывании тела по наклонной плоскости"

 1  

 

 1  

 

 

66

Контрольная работа по теме

«Работа и мощность. Энергия»

 1  

 1  

 

 

 

67

Резервный урок. Работа с текстами по теме "Механическое движение"

 1  

 

 

 

Библиотека ЦОК

https://m.edsoo.ru/ff0a4ee6

68

Резервный урок. Работа с текстами по теме "Работа. Мощность.

Энергия"

 1  

 

 

 

 

ОБЩЕЕ КОЛИЧЕСТВО ЧАСОВ ПО

ПРОГРАММЕ

 68  

 4  

 12  

 

 

 

Виды и формы деятельности, реализующие воспитательный потенциал урока:

-    установление доверительных отношений между педагогическим работником и его обучающимися, способствующих позитивному восприятию обучающимися требований и просьб педагогического работника, привлечению их внимания к обсуждаемой на уроке информации, активизации их познавательной деятельности;

-    побуждение обучающихся соблюдать на уроке общепринятые нормы поведения, правила общения со старшими (педагогическими работниками) и сверстниками (обучающимися), принципы учебной дисциплины и самоорганизации; 

-    привлечение внимания обучающихся к ценностному аспекту изучаемых 

-    на уроках явлений, организация их работы с получаемой на уроке социально значимой информацией – инициирование ее обсуждения, высказывания обучающимися своего мнения по ее поводу, выработки своего к ней отношения; 

-    использование воспитательных возможностей содержания учебного предмета через демонстрацию обучающимся примеров ответственного, гражданского поведения, проявления человеколюбия и добросердечности, через подбор соответствующих текстов для чтения, задач для решения, проблемных ситуаций для обсуждения в классе;

-    применение на уроке интерактивных форм работы с обучающимися: интеллектуальных игр, стимулирующих познавательную мотивацию обучающихся; дидактического театра, где полученные на уроке знания обыгрываются 

-    в театральных постановках; дискуссий, которые дают обучающимся возможность приобрести опыт ведения конструктивного диалога; групповой работы или работы 

-    в парах, которые учат обучающихся командной работе и взаимодействию с другими обучающимися;  

-    включение в урок игровых процедур, которые помогают поддержать мотивацию обучающихся к получению знаний, налаживанию позитивных межличностных отношений в классе, помогают установлению доброжелательной атмосферы во время урока; 

-    организация шефства мотивированных и эрудированных обучающихся 

-    над их неуспевающими одноклассниками, дающего обучающимся социально значимый опыт сотрудничества и взаимной помощи;

-    инициирование и поддержка исследовательской деятельности обучающихся в рамках реализации ими индивидуальных и групповых исследовательских проектов, что даст обучающимся возможность приобрести навык самостоятельного решения теоретической проблемы, навык генерирования и оформления собственных идей, навык уважительного отношения к чужим идеям, оформленным в работах других исследователей, навык публичного выступления перед аудиторией, аргументирования и отстаивания своей точки зрения.

В реализации этих видов и форм деятельности педагогическим работникам важно ориентироваться на целевые приоритеты, связанные с возрастными особенностями обучающихся.

 

Модуль «Школьный урок»:

п/п

урока

Тема урока

 

Тема модуля  «Школьный урок»:

1

5

Как физика и другие естественные науки изучают природу. Естественнонаучный метод познания. Описание физических явлений с помощью моделей.

Международный день охраны озонового слоя (с 1994 г. по решению Генеральной Ассамблеи ООН) -16 сентября

2

33

Давление. Способы уменьшения и увеличения давления

300 лет со дня официального открытия Академии наук в Санкт Петербурге 1726

3

40

Манометры. Поршневой жидкостный насос 

День российской науки 

4

47

Действие жидкости и газа на погруженное в них тело. Архимедова сила.

4 марта Всемирный день инженерии   

5

54

Мощность. Единицы мощности.

День космонавтики 

6

60

Решение задач по теме «Условия равновесия рычага» 

День рождения Ивана Петровича Кулибина, изобретателя 

 8 КЛАСС  

п/п  

 

Тема урока  

 

Количество часов

Дата

изучения  

 

Электронные цифровые образовательные

ресурсы  

 

Всего  

 

Контрольные

работы  

 

Практические

работы  

 

1

Основные положения молекулярнокинетической теории и их опытные подтверждения

 1  

 

 

 

Библиотека ЦОК

https://m.edsoo.ru/ff0a5256

2

Масса и размер атомов и молекул

 1  

 

 

 

 

3

Модели твёрдого, жидкого и газообразного состояний вещества

 1  

 

 

 

Библиотека ЦОК

https://m.edsoo.ru/ff0a540e

4

Объяснение свойств твёрдого, жидкого и газообразного состояний вещества на основе положений молекулярно-кинетической теории

 1  

 

 

 

 

5

Кристаллические и аморфные тела

 1  

 

 

 

Библиотека ЦОК

https://m.edsoo.ru/ff0a5800

6

Смачивание и капиллярность.

Поверхностное натяжение

 1  

 

 

 

Библиотека ЦОК

https://m.edsoo.ru/ff0a5530

7

Тепловое расширение и сжатие

 1  

 

 

 

Библиотека ЦОК

https://m.edsoo.ru/ff0a5a26

8

Температура. Связь температуры со скоростью теплового движения частиц

 1  

 

 

 

 

9

Внутренняя энергия. Способы изменения внутренней энергии

 1  

 

 

 

Библиотека ЦОК

https://m.edsoo.ru/ff0a5c60

10

Виды теплопередачи

 1  

 

 

 

Библиотека ЦОК

 

 

 

 

 

 

 

https://m.edsoo.ru/ff0a6412

11

Урок-конференция "Практическое использование тепловых свойств веществ и материалов в целях энергосбережения"

 1  

 

 1  

 

Библиотека ЦОК

https://m.edsoo.ru/ff0a65c0

12

Количество теплоты. Удельная теплоемкость

 1  

 

 

 

Библиотека ЦОК

https://m.edsoo.ru/ff0a6976

13

Уравнение теплового баланса.

Теплообмен и тепловое равновесие

 1  

 

 

 

Библиотека ЦОК

https://m.edsoo.ru/ff0a7088

14

Лабораторная работа "Исследование явления теплообмена при смешивании холодной и горячей воды"

 1  

 

 1  

 

Библиотека ЦОК

https://m.edsoo.ru/ff0a6a98

15

Расчет количества теплоты, необходимого для нагревания тела и выделяемого им при охлаждении

 1  

 

 

 

 

16

Лабораторная работа "Определение удельной теплоемкости вещества"

 1  

 

 1  

 

Библиотека ЦОК

https://m.edsoo.ru/ff0a6bb0

17

Энергия топлива. Удельная теплота сгорания. М. "Ш.У": Международный день энергосбережения

 1  

 

 

 

Библиотека ЦОК

https://m.edsoo.ru/ff0a7b5a

18

Плавление и отвердевание кристаллических тел. Удельная теплота плавления

 1  

 

 

 

Библиотека ЦОК

https://m.edsoo.ru/ff0a71d2

19

Лабораторная работа "Определение удельной теплоты плавления льда"

 1  

 

 1  

 

Библиотека ЦОК

https://m.edsoo.ru/ff0a72fe

20

Парообразование и конденсация.

 1  

 

 

 

Библиотека ЦОК

 

 

Испарение

 

 

 

 

https://m.edsoo.ru/ff0a740c

21

Кипение. Удельная теплота парообразования и конденсации. Зависимость температуры кипения от атмосферного давления

 1  

 

 

 

Библиотека ЦОК

https://m.edsoo.ru/ff0a786c

22

Влажность воздуха. Лабораторная работа "Определение

относительной влажности воздуха"

 1  

 

 1  

 

Библиотека ЦОК

https://m.edsoo.ru/ff0a7628

23

Решение задач на определение влажности воздуха

 1  

 

 

 

 

24

Принципы работы тепловых двигателей̆. Паровая турбина. Двигатель внутреннего сгорания

 1  

 

 

 

 

25

КПД теплового двигателя. Тепловые двигатели и защита окружающей̆ среды

 1  

 

 

 

Библиотека ЦОК

https://m.edsoo.ru/ff0a7c7c

26

Закон сохранения и превращения энергии в тепловых процессах. М. "Ш.У.": День Конституции РФ

 1  

 

 

 

 

27

Подготовка к контрольной работе по теме "Тепловые явления. Изменение агрегатных состояний вещества"

 1  

 

 

 

Библиотека ЦОК

https://m.edsoo.ru/ff0a83f2

28

Контрольная работа по теме "Тепловые явления. Изменение агрегатных состояний вещества"

 1  

 1  

 

 

Библиотека ЦОК

https://m.edsoo.ru/ff0a86ae

29

Электризация тел. Два рода электрических зарядов

 1  

 

 

 

 

 

30

Урок-исследование "Электризация тел индукцией и при соприкосновении"

 1  

 

 1  

 

 

31

Взаимодействие заряженных тел.

Закон Кулона

 1  

 

 

 

Библиотека ЦОК

https://m.edsoo.ru/ff0a87e4

32

Электрическое поле.

Напряженность электрического поля. Принцип суперпозиции электрических полей

 1  

 

 

 

Библиотека ЦОК

https://m.edsoo.ru/ff0a8a0a

33

Носители электрических зарядов. Элементарный заряд. Строение атома

 1  

 

 

 

 

34

Проводники и диэлектрики. Закон сохранения электрического заряда

 1  

 

 

 

Библиотека ЦОК

https://m.edsoo.ru/ff0a8ef6

35

Решение задач на применение свойств электрических зарядов

 1  

 

 

 

Библиотека ЦОК

https://m.edsoo.ru/ff0a90cc

36

Электрический ток, условия его существования. Источники электрического тока

 1  

 

 

 

Библиотека ЦОК

https://m.edsoo.ru/ff0a95a4

37

Действия электрического тока

 1  

 

 

 

Библиотека ЦОК

https://m.edsoo.ru/ff0a96b2

38

Урок-исследование "Действие электрического поля на проводники и диэлектрики"

 1  

 

 1  

 

 

39

Электрический ток в металлах, жидкостях и газах

 1  

 

 

 

Библиотека ЦОК

https://m.edsoo.ru/ff0a9838

40

Электрическая цепь и её составные части. М. "Ш.У.": День российской

 1  

 

 

 

 

 

 

науки.

 

 

 

 

 

41

Сила тока. Лабораторная работа

"Измерение и регулирование силы тока"

 1  

 

 0.5  

 

Библиотека ЦОК

https://m.edsoo.ru/ff0a8bd6

42

Электрическое напряжение.

Вольтметр. Лабораторная работа "Измерение и регулирование напряжения"

 1  

 

 0.5  

 

Библиотека ЦОК

https://m.edsoo.ru/ff0a9e14

43

Сопротивление проводника.

Удельное сопротивление вещества

 1  

 

 

 

Библиотека ЦОК

https://m.edsoo.ru/ff0aa738

44

Лабораторная работа "Зависимость электрического сопротивления проводника от его длины, площади поперечного сечения и материала"

 1  

 

 1  

 

Библиотека ЦОК

https://m.edsoo.ru/ff0aa738

45

Зависимость силы тока от напряжения. Закон Ома для участка цепи

 1  

 

 

 

Библиотека ЦОК

https://m.edsoo.ru/ff0aa44a

46

Лабораторная работа

"Исследование зависимости силы тока, идущего через резистор, от сопротивления резистора и напряжения на резисторе"

 1  

 

 1  

 

Библиотека ЦОК

https://m.edsoo.ru/ff0aa04e

47

Последовательное и параллельное соединения проводников. М. "Ш.У.": Всемирный день инженерии

 1  

 

 

 

 

48

Лабораторная работа "Проверка правила сложения напряжений при

 1  

 

 1  

 

Библиотека ЦОК

https://m.edsoo.ru/ff0aaa58

 

 

последовательном соединении двух резисторов"

 

 

 

 

 

49

Лабораторная работа "Проверка правила для силы тока при параллельном соединении резисторов"

 1  

 

 1  

 

Библиотека ЦОК

https://m.edsoo.ru/ff0aad1e

50

Решение задач на применение закона Ома для различного соединения проводников

 1  

 

 

 

Библиотека ЦОК

https://m.edsoo.ru/ff0aaf8a

51

Работа и мощность электрического тока. Закон Джоуля-Ленца

 1  

 

 

 

Библиотека ЦОК

https://m.edsoo.ru/ff0ab124

52

Лабораторная работа "Определение работы и мощности электрического тока"

 1  

 

 1  

 

Библиотека ЦОК

https://m.edsoo.ru/ff0ab3e0

53

Электрические цепи и потребители электрической энергии в быту.

Короткое замыкание

 1  

 

 

 

Библиотека ЦОК

https://m.edsoo.ru/ff0ab660

54

Постоянные магниты, их взаимодействие

 1  

 

 

 

 

55

Урок-исследование "Изучение полей постоянных магнитов"

 1  

 

 1  

 

Библиотека ЦОК

https://m.edsoo.ru/ff0ac3d0

56

Магнитное поле. Магнитное поле

Земли и его значение для жизни на

Земле

 1  

 

 

 

Библиотека ЦОК

https://m.edsoo.ru/ff0ac0ba

57

Подготовка к контрольной работе по теме "Электрические заряды. Заряженные тела и их взаимодействия. Постоянный

 1  

 

 

 

Библиотека ЦОК

https://m.edsoo.ru/ff0abd2c

 

 

электрический ток"

 

 

 

 

 

58

Контрольная работа по теме "Электрические заряды. Заряженные тела и их взаимодействия. Постоянный электрический ток" / Всероссийская проверочная работа

 1  

 1  

 

 

Библиотека ЦОК

https://m.edsoo.ru/ff0abea8

59

Резервный урок. Работа с текстами по теме "Постоянный

электрический ток" / Всероссийская проверочная работа

 1  

 1  

 

 

Библиотека ЦОК

https://m.edsoo.ru/ff0acdc6

60

Опыт Эрстеда. Магнитное поле электрического тока Магнитное поле катушки с током. М. "Ш.У.":

День космонавтики

 1  

 

 

 

Библиотека ЦОК

https://m.edsoo.ru/ff0ac1d2

61

Применение электромагнитов в технике. Лабораторная работа "Изучение действия магнитного поля на проводник с током"

 1  

 

 0.5  

 

Библиотека ЦОК

https://m.edsoo.ru/ff0ac74a

62

Электродвигатель постоянного тока. Использование электродвигателей̆ в технических устройствах и на транспорте. Лабораторная работа

"Конструирование и изучение работы электродвигателя"

 1  

 

 

 

Библиотека ЦОК

https://m.edsoo.ru/ff0ac86c

63

Опыты Фарадея. Закон электромагнитной индукции. Правило Ленца. М. "Ш.У.": День

 1  

 

 

 

 

 

радио

 

 

 

 

 

64

Электрогенератор. Способы получения электрической̆ энергии. Электростанции на возобновляемых источниках энергии

 1  

 

 

 

 

65

Подготовка к контрольной работе по теме "Электрические и магнитные явления"

 1  

 

 

 

 

66

Контрольная работа по теме "Электрические и магнитные явления"

 1  

 1  

 

 

Библиотека ЦОК

https://m.edsoo.ru/ff0acb14

67

Резервный урок. Работа с текстами по теме "Тепловые явления"

 1  

 

 

 

Библиотека ЦОК

https://m.edsoo.ru/ff0acc5e

68

Резервный урок. Работа с текстами по теме "Магнитные явления"

 1  

 

 

 

 

ОБЩЕЕ КОЛИЧЕСТВО ЧАСОВ ПО

ПРОГРАММЕ

 68  

 4  

 14.5  

 

 

Виды и формы деятельности, реализующие воспитательный потенциал урока:

-    установление доверительных отношений между педагогическим работником и его обучающимися, способствующих позитивному восприятию обучающимися требований и просьб педагогического работника, привлечению их внимания к обсуждаемой на уроке информации, активизации их познавательной деятельности;

-    побуждение обучающихся соблюдать на уроке общепринятые нормы поведения, правила общения со старшими (педагогическими работниками) и сверстниками (обучающимися), принципы учебной дисциплины и самоорганизации; 

-    привлечение внимания обучающихся к ценностному аспекту изучаемых 

-    на уроках явлений, организация их работы с получаемой на уроке социально значимой информацией – инициирование ее обсуждения, высказывания обучающимися своего мнения по ее поводу, выработки своего к ней отношения; 

-    использование воспитательных возможностей содержания учебного предмета через демонстрацию обучающимся примеров ответственного, гражданского поведения, проявления человеколюбия и добросердечности, через подбор соответствующих текстов для чтения, задач для решения, проблемных ситуаций для обсуждения в классе;

-    применение на уроке интерактивных форм работы с обучающимися: интеллектуальных игр, стимулирующих познавательную мотивацию обучающихся; дидактического театра, где полученные на уроке знания обыгрываются 

-    в театральных постановках; дискуссий, которые дают обучающимся возможность приобрести опыт ведения конструктивного диалога; групповой работы или работы 

-    в парах, которые учат обучающихся командной работе и взаимодействию с другими обучающимися;  

-    включение в урок игровых процедур, которые помогают поддержать мотивацию обучающихся к получению знаний, налаживанию позитивных межличностных отношений в классе, помогают установлению доброжелательной атмосферы во время урока; 

-    организация шефства мотивированных и эрудированных обучающихся 

-    над их неуспевающими одноклассниками, дающего обучающимся социально значимый опыт сотрудничества и взаимной помощи;

-    инициирование и поддержка исследовательской деятельности обучающихся в рамках реализации ими индивидуальных и групповых исследовательских проектов, что даст обучающимся возможность приобрести навык самостоятельного решения теоретической проблемы, навык генерирования и оформления собственных идей, навык уважительного отношения к чужим идеям, оформленным в работах других исследователей, навык публичного выступления перед аудиторией, аргументирования и отстаивания своей точки зрения.

В реализации этих видов и форм деятельности педагогическим работникам важно ориентироваться на целевые приоритеты, связанные с возрастными особенностями обучающихся.

 

Модуль «Школьный урок»:

п/п

урока

Тема урока

 

Тема модуля  «Школьный урок»:

1

17

Энергия топлива. Удельная теплота сгорания

Международный день энергосбережения 

2

26

Закон сохранения и превращения энергии в тепловых процессах 

День Конституции РФ

3

40

Электрическая цепь и её составные части

День российской науки.

4

47

Последовательное и параллельное соединения проводников. 

Всемирный день инженерии   

5

60

Опыт Эрстеда. Магнитное поле электрического тока. Магнитное поле катушки с током.

День космонавтики

6

63

Опыты Фарадея. Закон электромагнитной индукции. Правило Ленца.

День радио

 

 

 9 КЛАСС  

п/п  

 

Тема урока  

 

Количество часов

Дата

изучения  

 

Электронные цифровые образовательные

ресурсы  

 

Всего  

 

Контрольные

работы  

 

Практические

работы  

 

1

Механическое движение.

Материальная точка

 1  

 

 

 

 

2

Система отсчета. Относительность механического движения

 1  

 

 

 

Библиотека ЦОК

https://m.edsoo.ru/ff0ad474

3

Равномерное прямолинейное движение

 1  

 

 

 

Библиотека ЦОК

https://m.edsoo.ru/ff0ad19a

4

Неравномерное прямолинейное движение. Средняя и мгновенная скорость

 1  

 

 

 

 

5

Прямолинейное равноускоренное движение. Ускорение

 1  

 

 

 

Библиотека ЦОК

https://m.edsoo.ru/ff0ad8d4

6

Скорость прямолинейного равноускоренного движения.

График скорости

 1  

 

 

 

 

7

Лабораторная работа "Определение ускорения тела при равноускоренном движении по наклонной плоскости"

 1  

 

 1  

 

Библиотека ЦОК

https://m.edsoo.ru/ff0adb18

8

Свободное падение тел. Опыты

Галилея

 1  

 

 

 

 

9

Равномерное движение по окружности. Период и частота

 1  

 

 

 

Библиотека ЦОК

https://m.edsoo.ru/ff0ae176

 

 

обращения. Линейная и угловая скорости

 

 

 

 

 

10

Центростремительное ускорение

 1  

 

 

 

 

11

Первый закон Ньютона. Вектор силы

 1  

 

 

 

Библиотека ЦОК

https://m.edsoo.ru/ff0ae612

12

Второй закон Ньютона.

Равнодействующая сила. М. "Ш.У.": День работника атомной промышленности

 1  

 

 

 

Библиотека ЦОК

https://m.edsoo.ru/ff0ae72a

13

Третий закон Ньютона.

Суперпозиция сил

 1  

 

 

 

Библиотека ЦОК

https://m.edsoo.ru/ff0ae982

14

Решение задач на применение законов Ньютона

 1  

 

 

 

Библиотека ЦОК

https://m.edsoo.ru/ff0aeb6c

15

Сила упругости. Закон Гука

 1  

 

 

 

Библиотека ЦОК

https://m.edsoo.ru/ff0aeca2

16

Решение задач по теме «Сила упругости»

 1  

 

 

 

 

17

Лабораторная работа «Определение жесткости пружины»

 1  

 

 1  

 

Библиотека ЦОК

https://m.edsoo.ru/ff0aee28

18

Сила трения

 1  

 

 

 

Библиотека ЦОК

https://m.edsoo.ru/ff0af738

19

Решение задач по теме «Сила трения»

 1  

 

 

 

Библиотека ЦОК

https://m.edsoo.ru/ff0afa26

20

Лабораторная работа "Определение коэффициента трения скольжения"

 1  

 

 1  

 

Библиотека ЦОК

https://m.edsoo.ru/ff0af8be

21

Решение задач по теме "Законы Ньютона. Сила упругости. Сила трения"

 1  

 

 

 

Библиотека ЦОК

https://m.edsoo.ru/ff0afb8e

 

22

Сила тяжести и закон всемирного тяготения. Ускорение свободного падения. М. "Ш.У.": День ракетных войск и артиллерии.

 1  

 

 

 

Библиотека ЦОК

https://m.edsoo.ru/ff0af044

23

Урок-конференция "Движение тел вокруг гравитационного центра (Солнечная система). Галактики"

 1  

 

 1  

 

 

24

Решение задач по теме "Сила тяжести и закон всемирного тяготения"

 1  

 

 

 

Библиотека ЦОК

https://m.edsoo.ru/ff0af5f8

25

Первая космическая скорость.

Невесомость и перегрузки

 1  

 

 

 

Библиотека ЦОК

https://m.edsoo.ru/ff0af33c

26

Равновесие материальной̆ точки. Абсолютно твёрдое тело. Равновесие твёрдого тела с закреплённой̆ осью вращения. Момент силы. Центр тяжести

 1  

 

 

 

Библиотека ЦОК

https://m.edsoo.ru/ff0afe36

27

Равновесие материальной̆ точки. Абсолютно твёрдое тело. Равновесие твёрдого тела с закреплённой̆ осью вращения. Момент силы. Центр тяжести

 1  

 

 

 

 

28

Решение задач по теме "Момент силы. Центр тяжести"

 1  

 

 

 

Библиотека ЦОК

https://m.edsoo.ru/ff0b02b4

29

Подготовка к контрольной работе по теме "Механическое движение.

Взаимодействие тел"

 1  

 

 

 

Библиотека ЦОК

https://m.edsoo.ru/ff0b0408

30

Контрольная работа по теме

 1  

 1  

 

 

Библиотека ЦОК

https://m.edsoo.ru/ff0b06ec

 

 

"Механическое движение.

Взаимодействие тел"

 

 

 

 

 

31

Импульс тела. Импульс силы. Закон сохранения импульса. Упругое и неупругое взаимодействие

 1  

 

 

 

Библиотека ЦОК

https://m.edsoo.ru/ff0b07fa

32

Решение задач по теме "Закон сохранения импульса"

 1  

 

 

 

Библиотека ЦОК

https://m.edsoo.ru/ff0b096c

33

Урок-конференция "Реактивное движение в природе и технике"

 1  

 

 1  

 

 

34

Механическая работа и мощность

 1  

 

 

 

Библиотека ЦОК

https://m.edsoo.ru/ff0b0a84

35

Работа силы тяжести, силы упругости и силы трения

 1  

 

 

 

Библиотека ЦОК

https://m.edsoo.ru/ff0b0db8

36

Лабораторная работа «Определение работы силы трения при равномерном движении тела по горизонтальной поверхности»

 1  

 

 1  

 

 

37

Связь энергии и работы.

Потенциальная энергия

 1  

 

 

 

 

38

Кинетическая энергия. Теорема о кинетической энергии

 1  

 

 

 

Библиотека ЦОК

https://m.edsoo.ru/ff0b0c32

39

Закон сохранения энергии в механике

 1  

 

 

 

 

40

Лабораторная работа «Изучение закона сохранения энергии»

 1  

 

 1  

 

Библиотека ЦОК

https://m.edsoo.ru/ff0b12fe

41

Колебательное движение и его характеристики

 1  

 

 

 

Библиотека ЦОК

https://m.edsoo.ru/ff0b1858

42

Затухающие колебания.

 1  

 

 

 

Библиотека ЦОК

 

 

Вынужденные колебания. Резонанс

 

 

 

 

https://m.edsoo.ru/ff0b20f0

43

Математический и пружинный маятники

 1  

 

 

 

 

44

Урок-исследование «Зависимость периода колебаний от жесткости пружины и массы груза»

 1  

 

 1  

 

Библиотека ЦОК

https://m.edsoo.ru/ff0b197a

45

Превращение энергии при механических колебаниях

 1  

 

 

 

 

46

Лабораторная работа «Определение частоты и периода колебаний пружинного маятника»

 1  

 

 1  

 

Библиотека ЦОК

https://m.edsoo.ru/ff0b1aec

47

Лабораторная работа «Проверка независимости периода колебаний груза, подвешенного к нити, от массы груза»

 1  

 

 1  

 

Библиотека ЦОК

https://m.edsoo.ru/ff0b197a

48

Механические волны. Свойства механических волн. Продольные и поперечные волны

 1  

 

 

 

Библиотека ЦОК

https://m.edsoo.ru/ff0b21fe

49

Урок-конференция "Механические волны в твёрдом теле. Сейсмические волны"

 1  

 

 1  

 

 

50

Звук. Распространение и отражение звука

 1  

 

 

 

 

51

Урок-исследование "Наблюдение зависимости высоты звука от частоты"

 1  

 

 1  

 

 

52

Громкость звука и высота тона.

Акустический резонанс

 1  

 

 

 

 

 

53

Урок-конференция "Ультразвук и инфразвук в природе и технике"

 1  

 

 1  

 

Библиотека ЦОК

https://m.edsoo.ru/ff0b23ca

54

Подготовка к контрольной работе по теме "Законы сохранения.

Механические колебания и волны"

 1  

 

 

 

Библиотека ЦОК

https://m.edsoo.ru/ff0b25f0

55

Контрольная работа по теме "Законы сохранения. Механические колебания и волны"

 1  

 1  

 

 

 

56

Электромагнитное поле.

Электромагнитные волны

 1  

 

 

 

Библиотека ЦОК

https://m.edsoo.ru/ff0b2abe

57

Свойства электромагнитных волн

 1  

 

 

 

 

58

Урок-конференция "Шкала электромагнитных волн.

Использование электромагнитных волн для сотовой связи"

 1  

 

 1  

 

Библиотека ЦОК

https://m.edsoo.ru/ff0b2fe6

59

Урок-исследование "Изучение свойств электромагнитных волн с помощью мобильного телефона"

 1  

 

 1  

 

Библиотека ЦОК

https://m.edsoo.ru/ff0b2c6c

60

Решение задач на определение частоты и длины электромагнитной волны

 1  

 

 

 

 

61

Электромагнитная природа света. Скорость света. Волновые свойства света. М. "Ш.У.": День российской науки

 1  

 

 

 

Библиотека ЦОК

https://m.edsoo.ru/ff0b31d0

62

Источники света. Прямолинейное распространение света. Затмения

Солнца и Луны

 1  

 

 

 

Библиотека ЦОК

https://m.edsoo.ru/ff0b3658

 

63

Закон отражения света. Зеркала. Решение задач на применение закона отражения света

 1  

 

 

 

Библиотека ЦОК

https://m.edsoo.ru/ff0b38c4

64

Преломление света. Закон преломления света

 1  

 

 

 

Библиотека ЦОК

https://m.edsoo.ru/ff0b3aea

65

Полное внутреннее отражение света. Использование полного внутреннего отражения в оптических световодах

 1  

 

 

 

Библиотека ЦОК

https://m.edsoo.ru/ff0b3c5c

66

Лабораторная работа "Исследование зависимости угла преломления светового луча от угла падения на границе "воздух-стекло""

 1  

 

 1  

 

 

67

Урок-конференция "Использование полного внутреннего отражения:

световоды, оптиковолоконная связь"

 1  

 

 1  

 

 

68

Линзы. Оптическая сила линзы

 1  

 

 

 

Библиотека ЦОК

https://m.edsoo.ru/ff0b3f2c

69

Построение изображений в линзах. М. "Ш.У.":Всемирный день инженерии

 1  

 

 

 

Библиотека ЦОК

https://m.edsoo.ru/ff0b444a

70

Лабораторная работа "Определение фокусного расстояния и оптической силы собирающей линзы"

 1  

 

 1  

 

Библиотека ЦОК

https://m.edsoo.ru/ff0b4206

71

Урок-конференция "Оптические линзовые приборы"

 1  

 

 1  

 

Библиотека ЦОК

https://m.edsoo.ru/ff0c0a7e

72

Глаз как оптическая система. Зрение

 1  

 

 

 

Библиотека ЦОК

https://m.edsoo.ru/ff0b4684

73

Урок-конференция "Дефекты

 1  

 

 1  

 

 

 

 

зрения. Как сохранить зрение"

 

 

 

 

 

74

Разложение белого света в спектр. Опыты Ньютона. Сложение спектральных цветов. Дисперсия света

 1  

 

 

 

Библиотека ЦОК

https://m.edsoo.ru/ff0c0f4c

75

Лабораторная работа "Опыты по разложению белого света в спектр и восприятию цвета предметов при их наблюдении через цветовые фильтры"

 1  

 

 1  

 

Библиотека ЦОК

https://m.edsoo.ru/ff0c0e2a

76

Урок-практикум "Волновые свойства света: дисперсия, интерференция и дифракция"

 1  

 

 1  

 

 

77

Опыты Резерфорда и планетарная модель атома

 1  

 

 

 

Библиотека ЦОК

https://m.edsoo.ru/ff0c12a8

78

Постулаты Бора. Модель атома Бора. М. "Ш.У.": День космонавтики

 1  

 

 

 

 

79

Испускание и поглощение света атомом. Кванты. Линейчатые спектры

 1  

 

 

 

Библиотека ЦОК

https://m.edsoo.ru/ff0c144c

80

Урок-практикум "Наблюдение спектров испускания"

 1  

 

 1  

 

Библиотека ЦОК

https://m.edsoo.ru/ff0c1550

81

Радиоактивность и её виды

 1  

 

 

 

Библиотека ЦОК

https://m.edsoo.ru/ff0c1672

82

Строение атомного ядра. Нуклонная модель

 1  

 

 

 

Библиотека ЦОК

https://m.edsoo.ru/ff0c18ac

83

Радиоактивные превращения.

 1  

 

 

 

Библиотека ЦОК

 

 

Изотопы

 

 

 

 

https://m.edsoo.ru/ff0c1a14

84

Решение задач по теме:

"Радиоактивные превращения"

 1  

 

 

 

Библиотека ЦОК

https://m.edsoo.ru/ff0c1b4a

85

Период полураспада. М. "Ш.У.": День участников ликвидации последствий радиационных аварий и катастроф

 1  

 

 

 

 

86

Урок-конференция "Радиоактивные излучения в природе, медицине, технике"

 1  

 

 1  

 

Библиотека ЦОК

https://m.edsoo.ru/ff0c2126

87

Ядерные реакции. Законы сохранения зарядового и массового чисел

 1  

 

 

 

Библиотека ЦОК

https://m.edsoo.ru/ff0c1c58

88

Энергия связи атомных ядер. Связь массы и энергии

 1  

 

 

 

Библиотека ЦОК

https://m.edsoo.ru/ff0c1d7a

89

Решение задач по теме "Ядерные реакции"

 1  

 

 

 

 

90

Реакции синтеза и деления ядер.

Источники энергии Солнца и звёзд

 1  

 

 

 

Библиотека ЦОК

https://m.edsoo.ru/ff0c1e88

91

Урок-конференция "Ядерная энергетика. Действия

радиоактивных излучений на живые организмы"

 1  

 

 1  

 

 

92

Подготовка к контрольной работе по теме "Электромагнитное поле.

Электромагнитные волны.

Квантовые явления"

 1  

 

 

 

Библиотека ЦОК

https://m.edsoo.ru/ff0c223e

93

Контрольная работа по теме

 1  

 1  

 

 

 

 

 

"Электромагнитное поле.

Электромагнитные волны.

Квантовые явления"

 

 

 

 

 

94

Повторение, обобщение.

Лабораторные работы по курсу

"Взаимодействие тел"

 1  

 

 1  

 

Библиотека ЦОК

https://m.edsoo.ru/ff0c245a

95

Повторение, обобщение. Решение расчетных и качественных задач по теме "Тепловые процессы"

 1  

 

 

 

Библиотека ЦОК

https://m.edsoo.ru/ff0c2572

96

Повторение, обобщение. Решение расчетных и качественных задач по теме "КПД тепловых двигателей"

 1  

 

 

 

Библиотека ЦОК

https://m.edsoo.ru/ff0c2a22

97

Повторение, обобщение. Решение расчетных и качественных задач по теме "КПД электроустановок"

 1  

 

 

 

Библиотека ЦОК

https://m.edsoo.ru/ff0c2b30

98

Повторение, обобщение.

Лабораторные работы по курсу

"Световые явления"

 1  

 

 1  

 

Библиотека ЦОК

https://m.edsoo.ru/ff0c2c52

99

Повторение, обобщение. Работа с текстами по теме "Законы сохранения в механике"

 1  

 

 

 

Библиотека ЦОК

https://m.edsoo.ru/ff0c2d6a

100

Повторение, обобщение. Работа с текстами по теме "Колебания и волны"

 1  

 

 

 

Библиотека ЦОК

https://m.edsoo.ru/ff0c2e82

101

Повторение, обобщение. Работа с текстами по теме "Световые явления"

 1  

 

 

 

Библиотека ЦОК

https://m.edsoo.ru/ff0c3044

102

Повторение, обобщение. Работа с

 1  

 

 

 

 

 

текстами по теме "Квантовая и ядерная физика"

 

 

 

 

 

ОБЩЕЕ КОЛИЧЕСТВО ЧАСОВ ПО

ПРОГРАММЕ

 102  

 3  

 27  

 

 

Виды и формы деятельности, реализующие воспитательный потенциал урока:

-    установление доверительных отношений между педагогическим работником и его обучающимися, способствующих позитивному восприятию обучающимися требований и просьб педагогического работника, привлечению их внимания к обсуждаемой на уроке информации, активизации их познавательной деятельности;

-    побуждение обучающихся соблюдать на уроке общепринятые нормы поведения, правила общения со старшими (педагогическими работниками) и сверстниками (обучающимися), принципы учебной дисциплины и самоорганизации; 

-    привлечение внимания обучающихся к ценностному аспекту изучаемых 

-    на уроках явлений, организация их работы с получаемой на уроке социально значимой информацией – инициирование ее обсуждения, высказывания обучающимися своего мнения по ее поводу, выработки своего к ней отношения; 

-    использование воспитательных возможностей содержания учебного предмета через демонстрацию обучающимся примеров ответственного, гражданского поведения, проявления человеколюбия и добросердечности, через подбор соответствующих текстов для чтения, задач для решения, проблемных ситуаций для обсуждения в классе;

-    применение на уроке интерактивных форм работы с обучающимися: интеллектуальных игр, стимулирующих познавательную мотивацию обучающихся; дидактического театра, где полученные на уроке знания обыгрываются 

-    в театральных постановках; дискуссий, которые дают обучающимся возможность приобрести опыт ведения конструктивного диалога; групповой работы или работы 

-    в парах, которые учат обучающихся командной работе и взаимодействию с другими обучающимися;  

-    включение в урок игровых процедур, которые помогают поддержать мотивацию обучающихся к получению знаний, налаживанию позитивных межличностных отношений в классе, помогают установлению доброжелательной атмосферы во время урока; 

-    организация шефства мотивированных и эрудированных обучающихся 

-    над их неуспевающими одноклассниками, дающего обучающимся социально значимый опыт сотрудничества и взаимной помощи;

-    инициирование и поддержка исследовательской деятельности обучающихся в рамках реализации ими индивидуальных и групповых исследовательских проектов, что даст обучающимся возможность приобрести навык самостоятельного решения теоретической проблемы, навык генерирования и оформления собственных идей, навык уважительного отношения к чужим идеям, оформленным в работах других исследователей, навык публичного выступления перед аудиторией, аргументирования и отстаивания своей точки зрения.

В реализации этих видов и форм деятельности педагогическим работникам важно ориентироваться на целевые приоритеты, связанные с возрастными особенностями обучающихся. 

Модуль «Школьный урок»:

№ п/п

урока

Тема урока

 

Тема модуля  «Школьный урок»:

1

12

Второй закон Ньютона. Равнодействующая сила.

День работника атомной промышленности

2

22

Сила тяжести и закон всемирного тяготения. Ускорение свободного падения.

День ракетных войск и артиллерии

3

61

Электромагнитная природа света. Скорость света. Волновые свойства света.

День российской науки.

4

69

Построение изображений в линзах.

Всемирный день инженерии   

5

78

Постулаты Бора. Модель атома Бора .

День космонавтики

6

85

Период полураспада

День участников ликвидации последствий радиационных аварий и катастроф  


ПРОВЕРЯЕМЫЕ ПРЕДМЕТНЫЕ РЕЗУЛЬТАТЫ ОСВОЕНИЯ

ОСНОВНОЙ ОБРАЗОВАТЕЛЬНОЙ ПРОГРАММЫ ОСНОВНОГО

ОБЩЕГО ОБРАЗОВАНИЯ

 

7   КЛАСС

 

 Код проверяемого результата  

 Проверяемые предметные результаты освоения основной образовательной программы основного общего образования  

1.1

использовать изученные понятия

1.2

различать явления по описанию их характерных свойств и на основе опытов, демонстрирующих данное физическое явление

1.3

распознавать проявление изученных физических явлений в окружающем мире, в том числе физические явления в природе, при этом переводить практическую задачу в учебную, выделять существенные свойства (признаки) физических явлений

1.4

описывать изученные свойства тел и физические явления, используя физические величины, при описании правильно трактовать физический смысл используемых величин, их обозначения и единицы физических величин, находить формулы, связывающие данную физическую величину с другими величинами, строить графики изученных зависимостей физических величин

1.5

характеризовать свойства тел, физические явления и процессы, используя изученные законы, при этом давать словесную формулировку закона и записывать его математическое выражение

1.6

объяснять физические явления, процессы и свойства тел, в том числе и в контексте ситуаций практико-ориентированного характера: выявлять причинно-следственные связи, строить объяснение из 1 – 2 логических шагов с опорой на 1 – 2 изученных свойства физических явлений, физических закона или закономерности

1.7

решать расчётные задачи в 1 – 2 действия, используя законы и

 

 

формулы, связывающие физические величины: на основе анализа условия задачи записывать краткое условие, подставлять физические величины в формулы и проводить расчёты, находить справочные данные, необходимые для решения задач, оценивать реалистичность полученной физической величины

1.8

распознавать проблемы, которые можно решить при помощи физических методов, в описании исследования выделять проверяемое предположение (гипотезу), различать и интерпретировать полученный результат, находить ошибки в ходе опыта, делать выводы по его результатам

1.9

проводить опыты по наблюдению физических явлений или физических свойств тел: формулировать проверяемые предположения, собирать установку из предложенного оборудования, записывать ход опыта и формулировать выводы

1.10

выполнять прямые измерения с использованием аналоговых и цифровых приборов, записывать показания приборов с учётом заданной абсолютной погрешности измерений

1.11

проводить исследование зависимости одной физической величины от другой с использованием прямых измерений, участвовать в планировании учебного исследования, собирать установку и выполнять измерения, следуя предложенному плану, фиксировать результаты полученной зависимости физических величин в виде предложенных таблиц и графиков, делать выводы по результатам исследования

1.12

проводить косвенные измерения физических величин, следуя предложенной инструкции: при выполнении измерений собирать экспериментальную установку и вычислять значение искомой величины

1.13

соблюдать правила техники безопасности при работе с лабораторным оборудованием

1.14

указывать принципы действия приборов и технических устройств, характеризовать принципы действия изученных приборов и технических устройств с помощью их описания, используя знания о свойствах физических явлений и

необходимые физические законы и закономерности

1.15

приводить примеры (находить информацию о примерах) практического использования физических знаний в повседневной жизни для обеспечения безопасности при обращении с приборами и техническими устройствами, сохранения здоровья и соблюдения норм экологического поведения в окружающей среде

1.16

осуществлять отбор источников информации в сети Интернет в соответствии с заданным поисковым запросом, на основе имеющихся знаний и путём сравнения различных источников выделять информацию, которая является противоречивой или может быть недостоверной

1.17

использовать при выполнении учебных заданий научнопопулярную литературу физического содержания, справочные материалы, ресурсы сети Интернет, владеть приёмами конспектирования текста, преобразования информации из одной знаковой системы в другую

1.18

создавать собственные краткие письменные и устные сообщения на основе 2 – 3 источников информации физического содержания, в том числе публично делать краткие сообщения о результатах проектов или учебных исследований, при этом грамотно использовать изученный понятийный аппарат курса

физики, сопровождать выступление презентацией

1.19

при выполнении учебных проектов и исследований распределять обязанности в группе в соответствии с поставленными задачами, следить за выполнением плана действий, адекватно оценивать собственный вклад в деятельность группы, выстраивать коммуникативное взаимодействие, учитывая мнение окружающих

 

8   КЛАСС

 

 Код проверяемого результата  

 Проверяемые предметные результаты освоения основной образовательной программы основного общего образования  

1.1

использовать понятия

1.2

различать явления по описанию их характерных свойств и на

 

 

основе опытов, демонстрирующих данное физическое явление

1.3

распознавать проявление изученных физических явлений в окружающем мире, в том числе физические явления в природе, при этом переводить практическую задачу в учебную, выделять существенные свойства (признаки) физических явлений

1.4

описывать изученные свойства тел и физические явления, используя физические величины, при описании правильно трактовать физический смысл используемых величин, обозначения и единицы физических величин, находить формулы, связывающие данную физическую величину с другими величинами, строить графики изученных зависимостей физических величин

1.5

характеризовать свойства тел, физические явления и процессы, используя изученные законы, при этом давать словесную формулировку закона и записывать его математическое выражение

1.6

объяснять физические процессы и свойства тел, в том числе и в контексте ситуаций практико-ориентированного характера: выявлять причинно-следственные связи, строить объяснение из 1 – 2 логических шагов с помощью 1 – 2 изученных свойства физических явлений, физических закона или закономерности

1.7

решать расчётные задачи в 2 – 3 действия, используя законы и формулы, связывающие физические величины: на основе анализа условия задачи записывать краткое условие, выявлять недостаток данных для решения задачи, выбирать законы и формулы, необходимые для её решения, проводить расчёты и сравнивать полученное значение физической величины с известными данными

1.8

распознавать проблемы, которые можно решить при помощи физических методов, используя описание исследования, выделять проверяемое предположение, оценивать правильность порядка

проведения исследования, делать выводы

1.9

проводить опыты по наблюдению физических явлений или физических свойств тел: формулировать проверяемые предположения, собирать установку из предложенного

 

 

оборудования, описывать ход опыта и формулировать выводы

1.10

выполнять прямые измерения с использованием аналоговых приборов и датчиков физических величин, сравнивать результаты измерений с учётом заданной абсолютной погрешности

1.11

проводить исследование зависимости одной физической величины от другой с использованием прямых измерений: планировать исследование, собирать установку и выполнять измерения, следуя предложенному плану, фиксировать результаты полученной зависимости в виде таблиц и графиков, делать выводы по результатам исследования

1.12

проводить косвенные измерения физических величин: планировать измерения, собирать экспериментальную установку, следуя предложенной инструкции, и вычислять значение величины

1.13

соблюдать правила техники безопасности при работе с лабораторным оборудованием

1.14

характеризовать принципы действия изученных приборов и технических устройств с опорой на их описания, используя знания о свойствах физических явлений и необходимые физические закономерности

1.15

распознавать простые технические устройства и измерительные приборы по схемам и схематичным рисункам, составлять схемы электрических цепей с последовательным и параллельным соединением элементов, различая условные обозначения элементов электрических цепей

1.16

приводить примеры (находить информацию о примерах) практического использования физических знаний в повседневной жизни для обеспечения безопасности при обращении с приборами и техническими устройствами, сохранения здоровья и соблюдения норм экологического поведения в окружающей среде

1.17

осуществлять поиск информации физического содержания в сети Интернет, на основе имеющихся знаний и путём сравнения дополнительных источников выделять информацию, которая является противоречивой или может быть недостоверной

1.18

использовать    при     выполнении     учебных    заданий    научно-

 

популярную литературу физического содержания, справочные материалы, ресурсы сети Интернет; владеть приёмами конспектирования текста, преобразования информации из одной знаковой системы в другую

1.19

создавать собственные письменные и краткие устные сообщения, обобщая информацию из нескольких источников физического содержания, в том числе публично представлять результаты проектной или исследовательской деятельности, при этом грамотно использовать изученный понятийный аппарат курса

физики, сопровождать выступление презентацией

1.20

при выполнении учебных проектов и исследований физических процессов распределять обязанности в группе в соответствии с поставленными задачами, следить за выполнением плана действий и корректировать его, адекватно оценивать собственный вклад в деятельность группы, выстраивать коммуникативное взаимодействие, проявляя готовность разрешать конфликты

 

9   КЛАСС

 

 Код проверяемого результата  

 Проверяемые предметные результаты освоения основной образовательной программы основного общего образования  

1.1

использовать изученные понятия

1.2

различать явления по описанию их характерных свойств и на основе опытов, демонстрирующих данное физическое явление

1.3

распознавать проявление изученных физических явлений в окружающем мире, в том числе физические явления в природе, при этом переводить практическую задачу в учебную, выделять существенные свойства (признаки) физических явлений

1.4

описывать изученные свойства тел и физические явления, используя физические величины, при описании правильно трактовать физический смысл используемых величин, обозначения и единицы физических величин, находить формулы, связывающие данную физическую величину с другими

 

 

величинами, строить           графики         изученных             зависимостей физических величин

1.5

характеризовать свойства тел, физические явления и процессы, используя изученные законы, при этом давать словесную формулировку закона и записывать его математическое выражение

1.6

объяснять физические процессы и свойства тел, в том числе и в контексте ситуаций практико-ориентированного характера: выявлять причинно-следственные связи, строить объяснение из 2 – 3 логических шагов с помощью 2 – 3 изученных свойства физических явлений, физических закона или закономерности

1.7

решать расчётные задачи (опирающиеся на систему из 2 – 3 уравнений), используя законы и формулы, связывающие физические величины: на основе анализа условия задачи записывать краткое условие, выявлять недостающие или избыточные данные, выбирать законы и формулы, необходимые для решения, проводить расчёты и оценивать реалистичность полученного значения физической величины

1.8

распознавать проблемы, которые можно решить при помощи физических методов, используя описание исследования, выделять проверяемое предположение, оценивать правильность порядка проведения исследования, делать выводы, интерпретировать результаты наблюдений и опытов

1.9

проводить опыты по наблюдению физических явлений или физических свойств тел: самостоятельно собирать установку из избыточного набора оборудования, описывать ход опыта и его результаты, формулировать выводы

1.10

проводить при необходимости серию прямых измерений, определяя среднее значение измеряемой величины (фокусное расстояние собирающей линзы), обосновывать выбор способа измерения (измерительного прибора)

1.11

проводить исследование зависимостей физических величин с использованием прямых измерений: планировать исследование, самостоятельно собирать установку, фиксировать результаты полученной зависимости физических величин в виде таблици

 

 

графиков, делать выводы по результатам исследования

1.12

проводить косвенные измерения физических величин: планировать измерения, собирать экспериментальную установку и выполнять измерения, следуя предложенной инструкции, вычислять значение величины и анализировать полученные результаты с учётом заданной погрешности измерений

1.13

соблюдать правила техники безопасности при работе с лабораторным оборудованием

1.14

различать основные признаки изученных физических моделей: материальная точка, абсолютно твёрдое тело, точечный источник света, луч, тонкая линза, планетарная модель атома, нуклонная модель атомного ядра

1.15

характеризовать принципы действия изученных приборов и технических устройств с опорой на их описания, используя знания о свойствах физических явлений и необходимые физические закономерности

1.16

использовать схемы и схематичные рисунки изученных технических устройств, измерительных приборов и технологических процессов при решении учебно-практических задач, оптические схемы для построения изображений в плоском зеркале и собирающей линзе

1.17

приводить примеры (находить информацию о примерах) практического использования физических знаний в повседневной жизни для обеспечения безопасности при обращении с приборами и техническими устройствами, сохранения здоровья и соблюдения норм экологического поведения в окружающей среде

1.18

осуществлять поиск информации физического содержания в сети Интернет, самостоятельно формулируя поисковый запрос, находить пути определения достоверности полученной информации на основе имеющихся знаний и дополнительных источников

1.19

использовать при выполнении учебных заданий научнопопулярную литературу физического содержания, справочные материалы, ресурсы сети Интернет; владеть приёмами конспектирования текста, преобразования информации из одной

 

знаковой системы в другую

1.20

создавать собственные письменные и устные сообщения на основе информации из нескольких источников физического содержания, публично представлять результаты проектной или исследовательской деятельности, при этом грамотно использовать изученный понятийный аппарат изучаемого раздела физики и сопровождать выступление презентацией с учётом особенностей аудитории сверстников

1.21

при выполнении учебных проектов и исследований физических процессов распределять обязанности в группе в соответствии с поставленными задачами, следить за выполнением плана действий и корректировать его, адекватно оценивать собственный вклад в деятельность группы, выстраивать коммуникативное взаимодействие, проявляя готовность разрешать конфликты

 

ПРОВЕРЯЕМЫЕ ЭЛЕМЕНТЫ СОДЕРЖАНИЯ

 

7   КЛАСС

 

 Код раздела  

 Код элемента  

 Проверяемые элементы содержания  

1

ФИЗИКА И ЕЁ РОЛЬ В ПОЗНАНИИ ОКРУЖАЮЩЕГО МИРА

1.1

Физика – наука о природе. Явления природы. Физические явления: механические, тепловые, электрические, магнитные, световые, звуковые

1.2

Физические величины. Измерение физических величин. Физические приборы. Погрешность

измерений. Международная система единиц

1.3

Естественнонаучный метод познания: наблюдение, постановка научного вопроса, выдвижение гипотез, эксперимент по проверке гипотез, объяснение наблюдаемого явления

1.4

Описание физических явлений с помощью моделей

1.5

Практические работы:  

###Par###Измерение расстояний.  

###Par###Измерение объёма жидкости и твёрдого тела.  

###Par###Определение размеров малых тел.  

###Par###Измерение температуры при помощи жидкостного термометра и датчика температуры

2

ПЕРВОНАЧАЛЬНЫЕ СВЕДЕНИЯ О СТРОЕНИИ ВЕЩЕСТВА

2.1

###Par###Строение вещества: атомы и молекулы, их размеры. Опыты, доказывающие дискретное строение вещества

2.2

###Par###Движение частиц вещества. Связь скорости движения частиц с температурой.

Броуновское движение, диффузия

2.3

Взаимодействие частиц вещества: притяжение и отталкивание

 

 

2.4

###Par###Агрегатные состояния вещества: строение газов, жидкостей и твёрдых (кристаллических) тел. Взаимосвязь между свойствами веществ в разных агрегатных состояниях и их атомно-молекулярным строением

2.5

Особенности агрегатных состояний воды

2.6

Практические работы:  

###Par###Оценка диаметра атома методом рядов (с использованием фотографий).  

###Par###Опыты      по        наблюдению теплового расширения газов.  

###Par###Опыты по обнаружению действия сил молекулярного притяжения

3

ДВИЖЕНИЕ И ВЗАИМОДЕЙСТВИЕ ТЕЛ

3.1

Механическое         движение.        Равномерное         и

неравномерное движение

3.2

###Par###Скорость. Средняя скорость при неравномерном движении. Расчёт пути и времени движения

3.3

Явление инерции. Закон инерции. Взаимодействие тел как причина изменения скорости движения тел.

Масса как мера инертности тела

3.4

###Par###Плотность вещества. Связь плотности с количеством молекул в единице объёма вещества

3.5

Сила как характеристика взаимодействия тел

3.6

Сила упругости и закон Гука. Измерение силы с помощью динамометра

3.7

###Par###Явление тяготения и сила тяжести. Сила тяжести на других планетах. Вес тела. Невесомость

3.8

Сила трения. Трение скольжения и трение покоя.

Трение в природе и технике

3.9

###Par###Сложение сил, направленных по одной прямой. Равнодействующая сил

3.10

Практические работы:  

 

 

 

Определение скорости равномерного движения (шарика в жидкости, модели электрического автомобиля и так далее). Определение средней скорости скольжения бруска или шарика по наклонной плоскости. Определение плотности твёрдого тела. Опыты, демонстрирующие зависимость растяжения (деформации) пружины от приложенной силы. Опыты, демонстрирующие зависимость силы трения скольжения от веса тела и характера соприкасающихся поверхностей

3.11

Физические явления в природе: примеры движения с различными скоростями в живой и неживой природе, действие силы трения в природе и технике

3.12

Технические устройства: динамометр, подшипники

4

ДАВЛЕНИЕ ТВЁРДЫХ ТЕЛ, ЖИДКОСТЕЙ И ГАЗОВ

4.1

Давление твёрдого тела. Способы уменьшения и увеличения давления

4.2

Давление газа. Зависимость давления газа от объёма, температуры

4.3

Передача давления твёрдыми телами, жидкостями и газами. Закон Паскаля. Пневматические машины

4.4

Зависимость давления жидкости от глубины. Гидростатический парадокс. Сообщающиеся сосуды.

Гидравлические механизмы

4.5

Атмосфера Земли и атмосферное давление. Причины существования воздушной оболочки Земли. Опыт Торричелли. Зависимость атмосферного давления от высоты над уровнем моря

4.6

Измерение атмосферного давления. Приборы для измерения атмосферного давления

4.7

Действие жидкости и газа на погружённое в них тело. Выталкивающая (архимедова) сила. Закон

Архимеда

4.8

Плавание тел. Воздухоплавание

 

 

4.9

Практические работы:  

Исследование зависимости веса тела в воде от объёма погружённой в жидкость части тела. Определение выталкивающей силы, действующей на тело, погружённое в жидкость. Проверка независимости выталкивающей силы, действующей на тело в жидкости, от массы тела. Опыты, демонстрирующие зависимость выталкивающей силы, действующей на тело в жидкости, от объёма погружённой в жидкость части тела и от плотности жидкости. Конструирование ареометра или конструирование лодки и определение её грузоподъёмности

4.10

Физические   явления          в          природе:             влияние атмосферного давления на живой организм, плавание рыб

4.11

Технические устройства: сообщающиеся сосуды, устройство водопровода, гидравлический пресс, манометр, барометр, высотомер, поршневой насос, ареометр

5

РАБОТА, МОЩНОСТЬ, ЭНЕРГИЯ

5.1

Механическая работа

5.2

Механическая мощность

5.3

Простые механизмы: рычаг, блок, наклонная плоскость. Правило равновесия рычага

5.4

Применение правила равновесия рычага к блоку

5.5

«Золотое правило» механики. Коэффициент полезного действия механизмов. Простые

механизмы в быту и технике

5.6

Потенциальная энергии тела, поднятого над Землёй

5.7

Кинетическая энергия

5.8

Полная механическая энергия. Закон изменения и сохранения механической энергии

5.9

Практические работы:  

 

 

###Par###Определение работы силы трения при равномерном движении тела по горизонтальной поверхности. Исследование условий равновесия рычага. Измерение КПД наклонной плоскости.

Изучение закона сохранения механической энергии

5.10

Физические явления в природе: рычаги в теле человека

5.11

Технические устройства: рычаг, подвижный и неподвижный блоки, наклонная плоскость, простые механизмы в быту

 

8   КЛАСС

 

 Код раздела  

 Код элемента  

 Проверяемые элементы содержания  

6

ТЕПЛОВЫЕ ЯВЛЕНИЯ

6.1

Основные положения молекулярно-кинетической теории строения вещества. Масса и размеры молекул. Опыты, подтверждающие основные положения молекулярнокинетической теории

6.2

Модели         твёрдого,        жидкого         и           газообразного состояний вещества. Кристаллические и аморфные тела

6.3

Объяснение свойств газов, жидкостей и твёрдых тел на основе положений молекулярнокинетической теории

6.4

Смачивание и капиллярные явления

6.5

Тепловое расширение и сжатие

6.6

Температура. Связь температуры со скоростью теплового движения частиц

6.7

Внутренняя энергия. Способы изменения внутренней энергии: теплопередача и совершение работы

6.8

Виды теплопередачи: теплопроводность, конвекция,

 

 

 

излучение

6.9

Количество    теплоты.         Удельная             теплоёмкость вещества

6.10

Теплообмен и тепловое равновесие. Уравнение теплового баланса

6.11

Плавление и отвердевание кристаллических веществ.

Удельная теплота плавления

6.12

Парообразование и конденсация. Испарение. Кипение. Удельная теплота парообразования. Зависимость температуры кипения от атмосферного давления

6.13

Влажность воздуха

6.14

Энергия топлива. Удельная теплота сгорания

6.15

Принципы работы тепловых двигателей КПД теплового двигателя. Тепловые двигатели и защита окружающей среды

6.16

Закон сохранения и превращения энергии в тепловых процессах

6.17

Практические работы:  

###Par###Опыты по обнаружению действия сил молекулярного притяжения.

###Par###Опыты по выращиванию кристаллов поваренной соли или сахара.

###Par###Опыты по наблюдению теплового расширения газов, жидкостей и твёрдых тел.  

###Par###Определение давления воздуха в баллоне шприца.  

###Par###Опыты, демонстрирующие зависимость давления воздуха от его объёма и нагревания или охлаждения.  

###Par###Проверка гипотезы линейной зависимости длины столбика жидкости в термометрической

 

 

 

трубке от температуры.  

###Par###Наблюдение        изменения        внутренней

энергии тела в результате теплопередачи и работы внешних сил.  

###Par###Исследование явления теплообмена при смешивании холодной и горячей воды.  

###Par###Определение        количества     теплоты, полученного водой при теплообмене с нагретым металлическим цилиндром.  

###Par###Определение        удельной             теплоёмкости вещества.  

###Par###Исследование процесса испарения.  

###Par###Определение        относительной             влажности воздуха.  

###Par###Определение удельной теплоты плавления льда.

6.18

Физические явления в природе: поверхностное натяжение и капиллярные явления в природе, кристаллы в природе, излучение Солнца, замерзание водоёмов, морские бризы; образование росы, тумана, инея, снега.

6.19

Технические устройства: капилляры, примеры использования кристаллов, жидкостный термометр, датчик температуры, термос, система отопления домов, гигрометры, психрометр, паровая турбина, двигатель внутреннего сгорания.

7

ЭЛЕКТРИЧЕСКИЕ И МАГНИТНЫЕ ЯВЛЕНИЯ

7.1

Электризация тел. Два рода электрических зарядов

7.2

Взаимодействие заряженных тел. Закон Кулона (зависимость силы взаимодействия заряженных тел от величины зарядов и расстояния между телами)

7.3

Электрическое поле. Напряжённость электрического поля. Принцип суперпозиции электрических полей

 

 

 

(на качественном уровне)

7.4

Носители электрических зарядов. Элементарный электрический заряд. Строение атома. Проводники и диэлектрики

7.5

Закон сохранения электрического заряда

7.6

Электрический ток. Условия существования электрического тока. Источники постоянного тока

7.7

Действия электрического тока (тепловое, химическое, магнитное). Электрический ток в жидкостях и газах

7.8

Электрическая цепь. Сила тока. Электрическое напряжение

7.9

Сопротивление         проводника. Удельное сопротивление вещества

7.10

Закон Ома для участка цепи

7.11

Последовательное    и          параллельное             соединение проводников

7.12

Работа и мощность электрического тока. Закон

Джоуля – Ленца

7.13

Электрические цепи и потребители электрической энергии в быту. Короткое замыкание

7.14

Постоянные магниты. Взаимодействие постоянных магнитов

7.15

Магнитное поле. Магнитное поле Земли и его значение для жизни на Земле

7.16

Опыт Эрстеда. Магнитное поле электрического тока.

Применение электромагнитов в технике

7.17

Действие магнитного поля на проводник с током. Электродвигатель постоянного тока. Использование электродвигателей в технических устройствах и на транспорте

7.18

Опыты      Фарадея.      Явление      электромагнитной

 

 

 

индукции. Правило Ленца

7.19

Электрогенератор. Способы получения электрической энергии. Электростанции на

возобновляемых источниках энергии

7.20

Практические работы:  

Опыты по наблюдению электризации тел индукцией и при соприкосновении.  

Исследование действия электрического поля на проводники и диэлектрики.  

Сборка и проверка работы электрической цепи постоянного тока.  

Измерение и регулирование силы тока.  

Измерение и регулирование напряжения.  

Исследование зависимости силы тока, идущего через резистор, от сопротивления резистора и напряжения на резисторе.  

Опыты, демонстрирующие зависимость электрического сопротивления проводника от его длины, площади поперечного сечения и материала.  Проверка правила сложения напряжений при последовательном соединении двух резисторов. Проверка правила для силы тока при параллельном соединении резисторов. Определение работы электрического тока, идущего через резистор. Определение мощности электрического тока, выделяемой на резисторе. Исследование зависимости силы тока, идущего через лампочку, от напряжения на ней. Определение КПД нагревателя. Исследование магнитного взаимодействия постоянных магнитов. Изучение магнитного поля постоянных магнитов при их объединении и разделении. Исследование действия электрического тока на магнитную стрелку. Опыты, демонстрирующие зависимость силы

 

 

взаимодействия катушки с током и магнита от силы тока и направления тока в катушке. Изучение действия магнитного поля на проводник с током.

Конструирование и изучение работы электродвигателя. Измерение КПД электродвигательной установки. Опыты по исследованию явления электромагнитной индукции: исследование изменений значения и направления индукционного тока

7.21

Физические явления в природе: электрические явления в атмосфере, электричество живых организмов, магнитное поле Земли, дрейф полюсов, роль магнитного поля для жизни на Земле, полярное сияние

7.22

Технические устройства: электроскоп, амперметр, вольтметр, реостат, счётчик электрической энергии, электроосветительные приборы, нагревательные электроприборы (примеры), электрические предохранители, электромагнит, электродвигатель постоянного тока, генератор постоянного тока

 

9   КЛАСС

 

Код раздела

Код элемента

Проверяемые элементы содержания  

8

МЕХАНИЧЕСКИЕ ЯВЛЕНИЯ

8.1

Механическое     движение.     Материальная      точка.

Система отсчёта

8.2

Относительность механического движения

8.3

Равномерное прямолинейное движение

8.4

###Par###Неравномерное прямолинейное движение. Средняя и мгновенная скорость тела при

неравномерном движении

 

 

8.5

Ускорение.    Равноускоренное      прямолинейное движение

8.6

###Par###Свободное падение. Опыты Галилея

8.7

###Par###Равномерное движение по окружности. Период и частота обращения. Линейная и угловая скорости. Центростремительное ускорение

8.8

Первый закон Ньютона

8.9

Второй закон Ньютона

8.10

Третий закон Ньютона

8.11

###Par###Принцип суперпозиции сил

8.12

Сила упругости. Закон Гука

8.13

###Par###Сила трения: сила трения скольжения, сила трения покоя, другие виды трения

8.14

###Par###Сила тяжести и закон всемирного тяготения. Ускорение свободного падения

8.15

Движение      планет      вокруг      Солнца.       Первая

космическая скорость. Невесомость и перегрузки

8.16

Равновесие материальной точки. Абсолютно твёрдое тело

8.17

###Par###Равновесие твёрдого тела с закреплённой осью вращения. Момент силы. Центр тяжести

8.18

Импульс тела. Изменение импульса. Импульс силы

8.19

Закон сохранения импульса

8.20

###Par###Реактивное движение

8.21

Механическая работа и мощность

8.22

Работа сил тяжести, упругости, трения. Связь энергии и работы

8.23

Потенциальная         энергия          тела,    поднятого             над поверхностью Земли

8.24

Потенциальная энергия сжатой пружины

8.25

###Par###Кинетическая энергия. Теорема о кинетической энергии

8.26

###Par###Закон сохранения механической энергии

 

 

8.27

Практические работы:  

Определение средней скорости скольжения бруска или движения шарика по наклонной плоскости. Определение ускорения тела при равноускоренном движении по наклонной плоскости.

Исследование зависимости пути от времени при равноускоренном движении без начальной скорости.  Проверка гипотезы: если при равноускоренном движении без начальной скорости пути относятся как ряд нечётных чисел, то соответствующие промежутки времени одинаковы.  

Исследование зависимости силы трения скольжения от силы нормального давления. Определение коэффициента трения скольжения. Определение жёсткости пружины. Определение работы силы трения при равномерном движении тела по горизонтальной поверхности. Определение работы силы упругости при подъёме груза с использованием неподвижного и подвижного блоков

8.28

Физические явления в природе: приливы и отливы, движение планет Солнечной системы, реактивное движение живых организмов

8.29

Технические устройства: спидометр, датчики положения, расстояния и ускорения, ракеты

9

МЕХАНИЧЕСКИЕ КОЛЕБАНИЯ И ВОЛНЫ

9.1

Колебательное движение. Основные характеристики колебаний: период, частота, амплитуда

9.2

Математический        и        пружинный        маятники.

Превращение энергии при колебательном движении

9.3

Затухающие колебания. Вынужденные колебания.

Резонанс

9.4

Механические волны. Свойства механических волн. Продольные и поперечные волны. Длина волны и скорость её распространения. Механические волны в

 

 

 

твёрдом теле, сейсмические волны

9.5

Звук. Громкость и высота звука. Отражение звука

9.6

Инфразвук и ультразвук

 

9.7

Практические работы:  

Определение частоты и периода колебаний математического маятника.  

Определение частоты и периода колебаний пружинного маятника  

Исследование зависимости периода колебаний подвешенного к нити груза от длины нити. Исследование зависимости периода колебаний пружинного маятника от массы груза. Проверка независимости периода колебаний груза, подвешенного к нити, от массы груза и жёсткости пружины. Измерение ускорения свободного падения

9.8

Физические явления в природе: восприятие звуков животными, землетрясение, сейсмические волны, цунами, эхо

9.9

Технические устройства: эхолот, использование ультразвука в быту и технике

10

ЭЛЕКТРОМАГНИТНОЕ ПОЛЕ И ЭЛЕКТРОМАГНИТНЫЕ ВОЛНЫ

10.1

Электромагнитное поле. Электромагнитные волны.

Свойства электромагнитных волн

10.2

Шкала электромагнитных волн

10.3

Электромагнитная природа света. Скорость света.

Волновые свойства света

10.4

Практические работы:  

Изучение       свойств           электромагнитных   волн             с помощью мобильного телефона

10.5

Физические явления в природе: биологическое действие видимого, ультрафиолетового и

рентгеновского излучений

10.6

Технические            устройства:            использование

электромагнитных волн для сотовой связи

 

11

СВЕТОВЫЕ ЯВЛЕНИЯ

11.1

Лучевая модель света. Источники света

11.2

Прямолинейное распространение света

11.3

Отражение света. Плоское зеркало. Закон отражения света

11.4

Преломление света. Закон преломления света.

Полное внутреннее отражение света

11.5

Линза. Ход лучей в линзе

11.6

Оптическая система фотоаппарата, микроскопа и телескопа

11.7

Глаз как оптическая система. Близорукость и дальнозоркость

11.8

Разложение белого света в спектр. Опыты Ньютона.

Сложение спектральных цветов. Дисперсия света

11.9

Практические работы:  

###Par###Исследование зависимости угла отражения светового луча от угла падения.

###Par###Изучение характеристик изображения предмета в плоском зеркале.

###Par###Исследование      зависимости угла преломления светового луча от угла падения на границе «воздух – стекло».

###Par###Получение изображений с помощью собирающей линзы.

###Par###Определение фокусного расстояния и оптической силы собирающей линзы.

###Par###Опыты по разложению белого света в спектр.

###Par###Опыты по восприятию цвета предметов при их наблюдении через цветовые фильтры

11.10

Физические явления в природе: затмения Солнца и

Луны, цвета тел, оптические явления в атмосфере

(цвет неба, рефракция, радуга, мираж)

11.11

Технические        устройства:        очки,        перископ,

 

 

фотоаппарат, оптические световоды

12

КВАНТОВЫЕ ЯВЛЕНИЯ

12.1

Опыты Резерфорда и планетарная модель атома.

Модель атома Бора

12.2

Испускание и поглощение света атомом. Кванты.

Линейчатые спектры

12.3

Радиоактивность. Альфа, бета- и гамма-излучения

12.4

Строение атомного ядра. Нуклонная модель атомного ядра. Изотопы

12.5

Радиоактивные превращения. Период полураспада атомных ядер

12.6

Ядерные реакции. Законы сохранения зарядового и массового чисел

12.7

Энергия связи атомных ядер. Связь массы и энергии

12.8

Реакции синтеза и деления ядер. Источники энергии

Солнца и звёзд

12.9

Ядерная энергетика. Действие радиоактивных излучений на живые организмы

12.10

Практические работы:  

Наблюдение сплошных и линейчатых спектров излучения.

Исследование треков: измерение энергии частицы по тормозному пути (по фотографиям).

Измерение радиоактивного фона

12.11

Физические явления в природе: естественный радиоактивный фон, космические лучи, радиоактивное излучение природных минералов, действие радиоактивных излучений на организм человека

12.12

Технические              устройства:              спектроскоп,

индивидуальный дозиметр, камера Вильсона

 

 

ПРОВЕРЯЕМЫЕ НА ОГЭ ПО ФИЗИКЕ ТРЕБОВАНИЯ К

РЕЗУЛЬТАТАМ ОСВОЕНИЯ ОСНОВНОЙ ОБРАЗОВАТЕЛЬНОЙ

ПРОГРАММЫ ОСНОВНОГО ОБЩЕГО ОБРАЗОВАНИЯ

 

 Код проверяемого требования  

 Проверяемые требования к предметным результатам базового уровня освоения основной образовательной программы основного общего образования на основе ФГОС  

1

Понимание роли физики в научной картине мира; сформированность базовых представлений о закономерной связи и познаваемости явлений природы, о роли эксперимента в физике, о системообразующей роли физики в развитии естественных наук, техники и технологий, об эволюции физических знаний и их роли в целостной естественнонаучной картине мира, о вкладе российских и зарубежных учёныхфизиков в развитие науки, объяснение процессов окружающего мира, развитие техники и технологий

2

Знания о видах материи (вещество и поле), о движении как способе существования материи, об атомно-молекулярной теории строения вещества, о физической сущности явлений природы (механических, тепловых, электромагнитных и квантовых); умение различать явления по описанию их характерных свойств и на основе опытов, демонстрирующих данное физическое явление; умение распознавать проявление изученных физических явлений в окружающем мире, выделяя их существенные свойства

(признаки)

3

Владение основами понятийного аппарата и символического языка физики и использование их для решения учебных задач; умение характеризовать свойства тел, физические явления и процессы, используя фундаментальные и эмпирические законы

4

Умение описывать изученные свойства тел и физические явления, используя физические величины

5

Владение основами методов научного познания с учётом соблюдения правил безопасного труда: наблюдение физических явлений:

умение самостоятельно собирать экспериментальную установку

 

 

из данного набора оборудования по инструкции, описывать ход опыта и записывать его результаты, формулировать выводы; проведение прямых и косвенных измерений физических величин: умение планировать измерения, самостоятельно собирать экспериментальную установку по инструкции, вычислять значение величины и анализировать полученные результаты с учётом заданной погрешности результатов измерений; проведение несложных экспериментальных исследований; самостоятельно собирать экспериментальную установку и проводить исследование по инструкции, представлять полученные зависимости физических величин в виде таблиц и графиков, учитывать погрешности, делать выводы по результатам исследования

6

Понимание      характерных      свойств      физических       моделей

(материальная точка, абсолютно твёрдое тело, модели строения газов, жидкостей и твёрдых тел, планетарная модель атома, нуклонная модель атомного ядра) и умение применять их для объяснения физических процессов

7

Умение объяснять физические процессы и свойства тел, в том числе и в контексте ситуаций практико-ориентированного характера, в частности, выявлять причинно-следственные связи и строить объяснение с опорой на изученные свойства физических явлений, физические законы, закономерности и модели

8

Умение решать расчётные задачи (на базе 2 – 3 уравнений), используя законы и формулы, связывающие физические величины, в частности, записывать краткое условие задачи, выявлять недостающие данные, выбирать законы и формулы, необходимые для её решения, использовать справочные данные, проводить расчёты и оценивать реалистичность полученного значения физической величины; умение определять размерность физической величины, полученной при решении задачи

9

Умение характеризовать принципы действия технических устройств, в том числе бытовых приборов, и промышленных технологических процессов по их описанию, используя знания о свойствах физических явлений и необходимые физические

 

закономерности

10

Умение использовать знания о физических явлениях в повседневной жизни для обеспечения безопасности при обращении с бытовыми приборами и техническими устройствами, сохранения здоровья и соблюдения норм экологического поведения в окружающей среде; понимание необходимости применения достижений физики и технологий для рационального природопользования

11

Опыт поиска, преобразования и представления информации физического содержания с использованием информационнокоммуникативных технологий; умение оценивать достоверность полученной информации на основе имеющихся знаний и дополнительных источников; умение использовать при выполнении учебных заданий научно-популярную литературу физического содержания, справочные материалы, ресурсы сети Интернет; владение базовыми навыками преобразования информации из одной знаковой системы в другую; умение создавать собственные письменные и устные сообщения на основе информации из нескольких источников

 

ПЕРЕЧЕНЬ ЭЛЕМЕНТОВ СОДЕРЖАНИЯ, ПРОВЕРЯЕМЫХ НА ОГЭ

ПО ФИЗИКЕ

 

 Код  

 Проверяемый элемент содержания  

1

МЕХАНИЧЕСКИЕ ЯВЛЕНИЯ

1.1

Механическое       движение.     Материальная     точка.     Система      отсчёта.

Относительность движения

1.2

Равномерное и неравномерное движение. Средняя скорость. Формула для вычисления средней скорости: v = S/t  

 

1.3

Равномерное прямолинейное движение. Зависимость координаты тела от времени в случае равномерного прямолинейного движения:

     

Графики зависимости от времени для проекции скорости, проекции перемещения, пути, координаты при равномерном прямолинейном движении

1.4

Зависимость координаты тела от времени в случае равноускоренного прямолинейного движения:

     

Формулы для проекции перемещения, проекции скорости и проекции ускорения при равноускоренном прямолинейном движении:

     

Графики зависимости от времени для проекции ускорения, проекции скорости, проекции перемещения, координаты при равноускоренном прямолинейном движении

1.5

Свободное падение. Формулы, описывающие свободное падение тела по вертикали (движение тела вниз или вверх относительно поверхности Земли). Графики зависимости от времени для проекции ускорения,

 

 

проекции скорости и координаты при свободном падении тела по вертикали

1.6

Скорость равномерного движения тела по окружности. Направление скорости.

Формула для вычисления скорости через радиус окружности и период обращения:

      

Центростремительное ускорение. Направление центростремительного ускорения. Формула для вычисления ускорения:

       

 Формула, связывающая период и частоту обращения:

         

 

 

1.7

Масса. Плотность вещества. Формула для вычисления плотности:

           

 

 

1.8

Сила – векторная физическая величина. Сложение сил

1.9

Явление инерции. Первый закон Ньютона

1.10

Второй закон Ньютона:

        

Сонаправленность вектора ускорения тела и вектора силы, действующей на тело

1.11

Взаимодействие тел. Третий закон Ньютона:  

          

 

 

1.12

Трение покоя и трение скольжения. Формула для вычисления модуля силы трения скольжения:

 

 

             

 

 

1.13

Деформация тела. Упругие и неупругие деформации. Закон упругой деформации (закон Гука):

    

 

 

1.14

Всемирное тяготение. Закон всемирного тяготения:

     

Сила тяжести. Ускорение свободного падения.

Формула для вычисления силы тяжести вблизи поверхности Земли: F = mg.

 Движение планет вокруг Солнца. Первая космическая скорость.

Невесомость и перегрузки

1.15

Импульс тела – векторная физическая величина.

         

Импульс системы тел. Изменение импульса. Импульс силы

1.16

Закон сохранения импульса для замкнутой системы тел:

     

Реактивное движение

1.17

Механическая работа. Формула для вычисления работы силы:

    

Механическая мощность:

    

 

 

1.18

Кинетическая и потенциальная энергия. Формула для вычисления кинетической энергии:

    

Теорема о кинетической энергии. Формула для вычисления потенциальной

 

 

энергии тела, поднятого над Землёй:

    

 

 

1.19

Механическая энергия:

          

 Закон сохранения механической энергии. Формула для закона сохранения механической энергии в отсутствие сил трения: E = const.

Превращение механической энергии при наличии силы трения.

1.20

Простые механизмы. «Золотое правило» механики.

Рычаг. Момент силы: M - Fl.

Условие равновесия рычага:

    

Подвижный и неподвижный блоки. КПД простых механизмов,

         

 

1.21

Давление твёрдого тела.  

Формула для вычисления давления твёрдого тела:

          

 Давление газа. Атмосферное давление.

Гидростатическое давление внутри жидкости.  

Формула для вычисления давления внутри жидкости:

        

 

1.22

Закон Паскаля. Гидравлический пресс

1.23

Закон Архимеда. Формула для определения выталкивающей силы, действующей на тело, погружённое в жидкость или газ:

    

Условие плавания тела. Плавание судов и воздухоплавание

 

1.24

Механические колебания. Амплитуда, период и частота колебаний.

Формула, связывающая частоту и период колебаний:

          

1.25

Математический и пружинный маятники. Превращение энергии при колебательном движении

1.26

Затухающие колебания. Вынужденные колебания. Резонанс

1.27

Механические волны. Продольные и поперечные волны. Длина волны и скорость распространения волны:

     

 

1.28

Звук. Громкость и высота звука. Отражение звуковой волны на границе двух сред. Инфразвук и ультразвук

1.29

Практические работы  

Измерение средней плотности вещества; архимедовой силы; жёсткости пружины; коэффициента трения скольжения; работы силы трения, силы упругости; средней скорости движения бруска по наклонной плоскости; ускорения бруска при движении по наклонной плоскости; частоты и периода колебаний математического маятника; частоты и периода колебаний пружинного маятника; момента силы, действующего на рычаг; работы силы упругости при подъёме груза с помощью неподвижного блока; работы силы упругости при подъёме груза с помощью подвижного блока.

Исследование зависимости архимедовой силы от объёма погружённой части тела и от плотности жидкости; независимости выталкивающей силы от массы тела; силы трения скольжения от силы нормального давления и от рода поверхности; силы упругости, возникающей в пружине, от степени деформации пружины; ускорения бруска от угла наклона направляющей; периода (частоты) колебаний нитяного маятника от длины нити; периода колебаний пружинного маятника от массы груза и жёсткости пружины; исследование независимости периода колебаний нитяного маятника от массы груза. Проверка условия равновесия рычага

1.30

Физические явления в природе: примеры движения с различными скоростями в живой и неживой природе, действие силы трения в природе и технике, приливы и отливы, движение планет Солнечной системы,

 

 

реактивное движение живых организмов, рычаги в теле человека, влияние атмосферного давления на живой организм, плавание рыб, восприятие звуков животными, землетрясение, сейсмические волны, цунами, эхо

1.31

Технические устройства: спидометр, датчики положения, расстояния и ускорения, динамометр, подшипники, ракеты, рычаг, подвижный и неподвижный блоки, наклонная плоскость, простые механизмы в быту, сообщающиеся сосуды, устройство водопровода, гидравлический пресс, манометр, барометр, высотомер, поршневой насос, ареометр, эхолот, использование ультразвука в быту и технике

2

ТЕПЛОВЫЕ ЯВЛЕНИЯ

2.1

Основные положения молекулярно-кинетической теории строения вещества. Модели твёрдого, жидкого и газообразного состояний вещества.

Кристаллические и аморфные тела

2.2

Движение частиц вещества. Связь скорости движения частиц с температурой. Броуновское движение, диффузия

2.3

Смачивание и капиллярные явления

2.4

Тепловое расширение и сжатие

2.5

Тепловое равновесие

2.6

Внутренняя энергия. Работа и теплопередача как способы изменения внутренней энергии

2.7

Виды теплопередачи: теплопроводность, конвекция, излучение

2.8

Нагревание    и          охлаждение   тел.     Количество    теплоты.             Удельная теплоёмкость:

       

 

2.9

Закон сохранения энергии в тепловых процессах. Уравнение теплового баланса:

       

 

2.10

Испарение и конденсация. Изменение внутренней энергии в процессе испарения и конденсации. Кипение жидкости. Удельная теплота парообразования: L = Q/m

 

2.11

Влажность воздуха

 

2.12

Плавление и кристаллизация. Изменение внутренней энергии при плавлении и кристаллизации. Удельная теплота плавления:

          

 

2.13

Внутренняя энергия сгорания топлива. Удельная теплота сгорания топлива:

q = Q/m

 

2.14

Принципы работы тепловых двигателей. КПД теплового двигателя

2.15

Практические работы  

Измерение удельной теплоёмкости металлического цилиндра; количества теплоты, полученного водой комнатной температуры фиксированной массы, в которую опущен нагретый цилиндр; количества теплоты, отданного нагретым цилиндром, после опускания его в воду комнатной температуры; относительной влажности воздуха; удельной теплоты плавления льда. Исследование изменения температуры воды при различных условиях; явления теплообмена при смешивании холодной и горячей воды; процесса испарения

2.16

Физические явления в природе: поверхностное натяжение и капиллярные явления в природе, кристаллы в природе, излучение Солнца, замерзание

водоёмов, морские бризы; образование росы, тумана, инея, снега

2.17

Технические устройства: капилляры, примеры использования кристаллов, жидкостный термометр, датчик температуры, термос, система отопления домов, гигрометры, психрометр, паровая турбина, двигатель внутреннего сгорания

3

ЭЛЕКТРОМАГНИТНЫЕ ЯВЛЕНИЯ

3.1

Электризация тел. Два вида электрических зарядов

3.2

Взаимодействие заряженных тел. Закон Кулона

3.3

Закон сохранения электрического заряда

3.4

Электрическое поле. Напряжённость электрического поля. Принцип суперпозиции электрических полей (на качественном уровне)

3.5

Носители электрических зарядов. Действие электрического поля на электрические заряды. Проводники и диэлектрики

3.6

Постоянный электрический ток. Действия электрического тока. Сила тока.

 

 

Напряжение.

I = q/t , U = A/q

 

 

3.7

Электрическое сопротивление. Удельное электрическое сопротивление: R = pl/S

 

3.8

Закон Ома для участка электрической цепи: I = U/R

 

3.9

Последовательное соединение проводников:

           

Параллельное соединение проводников равного сопротивления:

            

Смешанные соединения проводников

3.10

Работа и мощность электрического тока. A = UIt, P = UI

 

3.11

Закон Джоуля – Ленца:

              

 

3.12

Опыт Эрстеда. Магнитное поле прямого проводника с током. Линии магнитной индукции  

3.13

Магнитное поле постоянного магнита. Взаимодействие постоянных магнитов  

3.14

Действие магнитного поля на проводник с током

3.15

Опыты Фарадея. Явление электромагнитной индукции. Правило Ленца

3.16

Практические работы

Измерение электрического сопротивления резистора; мощности электрического тока; работы электрического тока.

Исследование зависимости силы тока, возникающего в проводнике (резисторы, лампочка), от напряжения на концах проводника; зависимости сопротивления от длины проводника, площади его поперечного сечения и удельного сопротивления.

 

 

Проверка правила для электрического напряжения при последовательном соединении проводников; правила для силы электрического тока при параллельном соединении проводников (резисторы и лампочка)

3.17

Физические явления в природе: электрические явления в атмосфере, электричество живых организмов, магнитное поле Земли, дрейф полюсов, роль магнитного поля для жизни на Земле, полярное сияние

3.18

Технические устройства: электроскоп, амперметр, вольтметр, реостат, счётчик электрической энергии, электроосветительные приборы, нагревательные электроприборы (примеры), электрические предохранители, электромагнит, электродвигатель постоянного тока, генератор постоянного тока

3.19

Электромагнитные волны. Шкала электромагнитных волн

3.20

Лучевая модель света. Прямолинейное распространение света

3.21

Закон отражения света. Плоское зеркало

3.22

Преломление света. Закон преломления света  

3.23

Дисперсия света

3.24

Линза. Ход лучей в линзе. Фокусное расстояние линзы. Оптическая сила линзы: D = 1/F

3.25

Глаз как оптическая система. Оптические приборы

3.26

Практические работы

###Par###Измерение оптической силы собирающей линзы; фокусного расстояния собирающей линзы (по свойству равенства размеров предмета и изображения, когда предмет расположен в двойном фокусе), показателя преломления стекла.

###Par###Исследование свойства изображения, полученного с помощью собирающей линзы; изменения фокусного расстояния двух сложенных линз; зависимости угла преломления светового луча от угла падения на границе «воздух – стекло»

3.27

Физические явления в природе: затмения Солнца и Луны, цвета тел, оптические явления в атмосфере (цвет неба, рефракция, радуга, мираж)

3.28

Технические устройства: очки, перископ, фотоаппарат, оптические световоды

4

КВАНТОВЫЕ ЯВЛЕНИЯ

4.1

Радиоактивность. Альфа-, бета-, гамма-излучения. Реакции альфа-и бета-

 

распада

4.2

Опыты Резерфорда по рассеянию альфа-частиц. Планетарная модель атома

4.3

Состав атомного ядра. Изотопы

4.4

Период полураспада атомных ядер

4.5

Ядерные реакции. Законы сохранения зарядового и массового чисел

4.6

Физические явления в природе: естественный радиоактивный фон, космические лучи, радиоактивное излучение природных минералов, действие радиоактивных излучений на организм человека

4.7

Технические устройства: спектроскоп, индивидуальный дозиметр, камера

Вильсона, ядерная энергетика

 

УЧЕБНО-МЕТОДИЧЕСКОЕ ОБЕСПЕЧЕНИЕ

ОБРАЗОВАТЕЛЬНОГО ПРОЦЕССА

ОБЯЗАТЕЛЬНЫЕ УЧЕБНЫЕ МАТЕРИАЛЫ ДЛЯ УЧЕНИКА

  Физика: 7-й класс: базовый уровень: учебник; 3-е издание, переработанное

Перышкин И.М., Иванов А.И. Акционерное общество «Издательство

«Просвещение»

  Физика: 8-й класс: базовый уровень: учебник; 3-е издание, переработанное

Перышкин И.М., Иванов А.И. Акционерное общество «Издательство

«Просвещение»

  Физика: 9-й класс: базовый уровень: учебник; 3-е издание, переработанное

Перышкин И.М., Гутник Е.М., Иванов А.И. и др. Акционерное общество

«Издательство «Просвещение»

 

 

МЕТОДИЧЕСКИЕ МАТЕРИАЛЫ ДЛЯ УЧИТЕЛЯ

 Материалы сайта «Единое содержание общего образования», где представлены различные материалы, предназначенные для оказания методической поддержки учителю физики.  

 Раздел Методические материалы / Методические пособия и рекомендации.

– URL: https://edsoo.ru/mr-fizika/

                    Учебно-методическое обеспечение процессов преподавания химии, биологии, физики на уровнях основного общего и среднего общего образования с включением дополнительного инженерного компонента : методические рекомендации / Н.А. Заграничная, Л.А. Паршутина, А.А. Якута, А.С. Городенская, О.Н. Логвинова. – М. : ФГБНУ «Институт содержания и методов обучения», 2024. – 73 с.  

                    Контекстные задачи. Задания к учебному курсу «Физика» : учебное пособие / А.А. Якута, Л.И. Асанова ; под ред. Л.А. Паршутиной – М.:

ФГБНУ «Институт содержания и методов обучения», 2024. – 61 с.

                    Методический кейс. Электромагнитная индукция. (Физика. 8 класс) / Т.В. Саушкина, А.А. Якута ; под ред. Л.И. Асановой. – М. : ФГБНУ «Институт содержания и методов обучения», 2024. – 15 с.

                    Методический кейс. Гидростатическое давление (Физика. 7 класс) /Т.В. Саушкина, А.А. Якута ; под ред. Л.И. Асановой. – М. : ФГБНУ «Институт содержания и методов обучения», 2024. – 12 с.

                    Практические (лабораторные) работы по учебному предмету «Физика». Основное общее образование. Среднее общее образование : учебное пособие / Ю.В. Старокуров, А.А. Якута, Н.Г. Жданова ; под ред. Л.А. Паршутиной. – М. : ФГБНУ «Институт содержания и методов обучения»,

2024. – 28 с.  

 • Система оценки достижений планируемых предметных результатов освоения учебного предмета «Физика». Среднее общее образование : методические рекомендации / А.А. Якута, Г.Д. Корнеева, Н.А. Заграничная.

– М. : ФГБНУ «Институт содержания и методов обучения», 2024. – 113 с.  

                    Реализация профильного обучения технологической (инженерной) направленности на уровне среднего общего образования : методические рекомендации / Т.Ю. Ломакина, Н.В. Васильченко, А.Ю. Пентин ; под ред. Т.Ю. Ломакиной. – М. : ФГБНУ «Институт стратегии развития образования», 2024. – 55 с. классах : пособие для учителя / П.Н. Рябов, А.А. Якута и др. ; под ред. Л.А. Паршутиной. – М. : ФГБНУ «Институт стратегии развития образования», 2024. – 61 с.  

                    Система оценки достижений планируемых предметных результатов освоения учебного предмета «Физика» : методические рекомендации / М.Ю. Демидова, А.Ю. Пентин. – М. : ФГБНУ «Институт стратегии развития образования», 2023. – 99 с.  

 

 

ЦИФРОВЫЕ ОБРАЗОВАТЕЛЬНЫЕ РЕСУРСЫ И РЕСУРСЫ СЕТИ

ИНТЕРНЕТ

 Методические видеоуроки (в том числе по физике). – URL: https://edsoo.ru/metodicheskie_videouroki/  

 Методические интерактивные кейсы: сложные вопросы преподавания учебных предметов (в том числе по физике). – URL: https://edsoo.ru/metodicheskie_kejsy

 Методические семинары / Физика. – URL: https://edsoo.ru/metodicheskieseminary/ms-fizika/

 Виртуальные лабораторные и практические работы на углубленном уровне основного общего образования (в том числе, по физике). – URL: https://content.edsoo.ru/lab/

 Всероссийская олимпиада школьников / Физика. – URL: https://vserosolimp.edsoo.ru/physics

 Проект «Физика для всех» https://физикадлявсех.рф/.

 


 

Скачивание материала доступно только для авторизованных пользователей.