Рабочий лист по подготовке к ОГЭ (математика)
Дидактическое средство организации самостоятельной учебной деятельности ученика.
Задание 8 Вычисления и преобразования. Степени и корни
Класс: 9
УМК: А.Г. Мерзляк и др.
Разработано: учителем математики МБОУ «СШ №1 имени А.В. Войналовича» ХМАО-Югра г. Нижневартовск Якоби З.Ф.
Эффективный инструмент современного урока на сегодняшний день - Рабочий лист (РЛ). Применение РЛ на уроках математики позволяет организовать самостоятельную работу обучающихся по изучению новой темы и закрепить практические знания по данной теме.
Представленный цикл РЛ содержит типовые задачи ОГЭ (математика) по заявленной теме.
Структура РЛ:
подробный разбор решения;
практическая работа;
домашнее задание – отработка практических навыков на сайте ФИПИ. Каждый ученик имеет возможность провести самооценку и коррекцию своей образовательной деятельности.
Урок1
|
Этапы урока |
деятельность обучающихся |
|
Запиши в тетрадь! |
Задание 8 Вычисления и преобразования. Степени и корни Задание 8.1-8.2
|
|
Мозговой штурм! |
С помощью таблицы квадратов найди значение выражения:
|
|
Научись решать! |
|
|
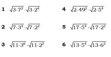
Реши сам! |
|
|
Повтори решение дома! |
ФИПИ (Алгебраические выражения) стр.30, Открытый банк заданий ОГЭ (fipi.ru) Стр. 32 Открытый банк заданий ОГЭ (fipi.ru)
|
Урок2
|
Этапы урока |
деятельность обучающихся |
|
Запиши в тетрадь! |
Задание 8 Вычисления и преобразования. Степени и корни Задание 8.3-8.4
|
|
Мозговой штурм! |
Вспомни свойство квадратного корня:
|
|
Научись решать! |
|
|
Реши сам! |
|
|
Повтори решение дома! |
ФИПИ (Алгебраические выражения) стр.2, Открытый банк заданий ОГЭ (fipi.ru) стр.29 Открытый банк заданий ОГЭ (fipi.ru) |
Урок3
|
Этапы урока |
деятельность обучающихся |
|
Запиши в тетрадь! |
Задание 8 Вычисления и преобразования. Степени и корни Задание 8.5-8.6
|
|
Мозговой штурм! |
Вспомни свойство квадратного корня:
|
|
Научись решать! |
|
|
Реши сам! |
|
|
Повтори решение дома! |
ФИПИ (Алгебраические выражения) стр.3, Открытый банк заданий ОГЭ (fipi.ru) стр.31 Открытый банк заданий ОГЭ (fipi.ru)
|
Рабочий лист 4 по подготовке к ОГЭ (математика)
Задание 8.7-8.8

Практика:


Домашнее задание: ФИПИ (Алгебраические выражения)
стр.33 Открытый банк заданий ОГЭ (fipi.ru),
стр.34 Открытый банк заданий ОГЭ (fipi.ru),
стр.11 Открытый банк заданий ОГЭ (fipi.ru),
стр.12 Открытый банк заданий ОГЭ (fipi.ru)
Рабочий лист 5 по подготовке к ОГЭ (математика)
Задание 8.9-8.10

Практика:

Домашнее задание: ФИПИ (Алгебраические выражения)
стр.8 Открытый банк заданий ОГЭ (fipi.ru)
Рабочий лист 6 по подготовке к ОГЭ (математика)
Задание 8.11-8.13

Практика:


Домашнее задание: ФИПИ (Алгебраические выражения)
стр.6 Открытый банк заданий ОГЭ (fipi.ru),
стр.7 Открытый банк заданий ОГЭ (fipi.ru)
Рабочий лист 7 по подготовке к ОГЭ (математика)
Задание 8.14-8.17

Практика:


Домашнее задание: ФИПИ (Алгебраические выражения)
стр.1 Открытый банк заданий ОГЭ (fipi.ru)
Рабочий лист 8 по подготовке к ОГЭ (математика)
Задание 8.18-8.19

Практика:

Домашнее задание: ФИПИ (Алгебраические выражения)
стр.4 Открытый банк заданий ОГЭ (fipi.ru),
стр.5 Открытый банк заданий ОГЭ (fipi.ru)
Рабочий лист 9 по подготовке к ОГЭ (математика)
Задание 8.20-8.21

Практика:

Домашнее задание: ФИПИ (Алгебраические выражения)
стр.9 Открытый банк заданий ОГЭ (fipi.ru),
стр.10 Открытый банк заданий ОГЭ (fipi.ru)
Рабочий лист 10 по подготовке к ОГЭ (математика)
Задание 8.22-8.24

Практика:

Домашнее задание: ФИПИ (Алгебраические выражения)
стр.16 Открытый банк заданий ОГЭ (fipi.ru),
стр.25 Открытый банк заданий ОГЭ (fipi.ru),
стр.13 Открытый банк заданий ОГЭ (fipi.ru),
стр.23 Открытый банк заданий ОГЭ (fipi.ru)
Рабочий лист 11 по подготовке к ОГЭ (математика)
Задание 8.25-8.28

Практика:

Домашнее задание: ФИПИ (Алгебраические выражения)
стр.22 Открытый банк заданий ОГЭ (fipi.ru),
стр.24 Открытый банк заданий ОГЭ (fipi.ru),
стр.26 Открытый банк заданий ОГЭ (fipi.ru)
Рабочий лист 12 по подготовке к ОГЭ (математика)
Задание 8.29-8.31

Практика:


Домашнее задание: ФИПИ (Алгебраические выражения)
стр.20 Открытый банк заданий ОГЭ (fipi.ru),
стр.27 Открытый банк заданий ОГЭ (fipi.ru),
стр.28 Открытый банк заданий ОГЭ (fipi.ru)
Рабочий лист 13 по подготовке к ОГЭ (математика)
Задание 8.32-8.34

Практика:


Домашнее задание: ФИПИ (Алгебраические выражения)
стр.16 Открытый банк заданий ОГЭ (fipi.ru),
стр.18 Открытый банк заданий ОГЭ (fipi.ru)
Рабочий лист 14 по подготовке к ОГЭ (математика)
Задание 8.35-8.37

Практика:


Домашнее задание: ФИПИ (Алгебраические выражения)
стр.15 Открытый банк заданий ОГЭ (fipi.ru),
стр.17 Открытый банк заданий ОГЭ (fipi.ru)
Рабочий лист 15 по подготовке к ОГЭ (математика)
Задание 8.38-8.40

Практика:

Домашнее задание: ФИПИ (Алгебраические выражения)
стр.13 Открытый банк заданий ОГЭ (fipi.ru),
стр.14 Открытый банк заданий ОГЭ (fipi.ru),
стр.21 Открытый банк заданий ОГЭ (fipi.ru)
Скачано с www.znanio.ru
Материалы на данной страницы взяты из открытых источников либо размещены пользователем в соответствии с договором-офертой сайта. Вы можете сообщить о нарушении.