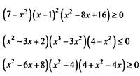
Карточка №1
Деление на группы:

Решите
неравенства:
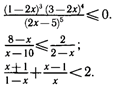
Карточка №2
Выполнив задание, им предстоит узнать фамилию первого казахстанского космонавта. (7 минут)
|
Неравенство |
Буква |
|
|
О |
|
|
К |
|
|
Т |
|
|
И |
|
|
А |
|
|
Р |
|
|
В |
|
|
У |
|
|
Б |
Таблица расшифровки.
ИМЯ: ФАМИЛИЯ:


Для справки. «Первый казахский космонавт, Герой Советского Союза Тохтар Аубакиров 2 октября 1991г. открыл космическую страницу суверенного и независимого Казахстана. Тохтар Онгарбаевич Аубакиров – первый казахский космонавт, родился 27 июля 1946 года в колхозе имени 1 Мая Каркаралинского района Карагандинской области. Отец – колхозный кузнец. Тохтар с юных лет хотел стать летчиком. Трудовую деятельность будущий космонавт начинал токарем на Темиртауском литейно–механическом заводе. В 1969 году он окончил Армавирское высшее военное авиационное училище летчиков противовоздушной обороны. Служил в ВВС (Военно–воздушных силах) СССР».
Карточка №3
Домашнее задание
Решите неравенства:

Материалы на данной страницы взяты из открытых источников либо размещены пользователем в соответствии с договором-офертой сайта. Вы можете сообщить о нарушении.