Рациональные неравенства ФО

  • docx
  • 30.04.2020
Публикация на сайте для учителей

Публикация педагогических разработок

Бесплатное участие. Свидетельство автора сразу.
Мгновенные 10 документов в портфолио.

Иконка файла материала Рациональные неравенства ФО.docx

ФИ ____________________________

Предмет: математика

Класс: 8  «     »

Раздел: 8.4А Неравенства

8.2.2.9 решать рациональные неравенства;

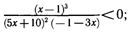
№1. Решите неравенства:

 

 

 

 

 

 

 

 

 

 

 

 

 

 

 

 

 

 

 

 

 

 

 

 

 

 

 

 

 

 

 

 

 

Дескрипторы: Учащийся:

Находит ОДЗ

Применяет метод интервалов для решения неравенств

Правильно находит промежутки, удовлетворяющие условие неравенства ри каких значениях переменной имеет смысл выражение: