Разноуровневые карточки-задания по математике для освоения темы "Логарифм и его свойства"

  • docx
  • 22.12.2021
Публикация на сайте для учителей

Публикация педагогических разработок

Бесплатное участие. Свидетельство автора сразу.
Мгновенные 10 документов в портфолио.

Иконка файла материала карточки.docx

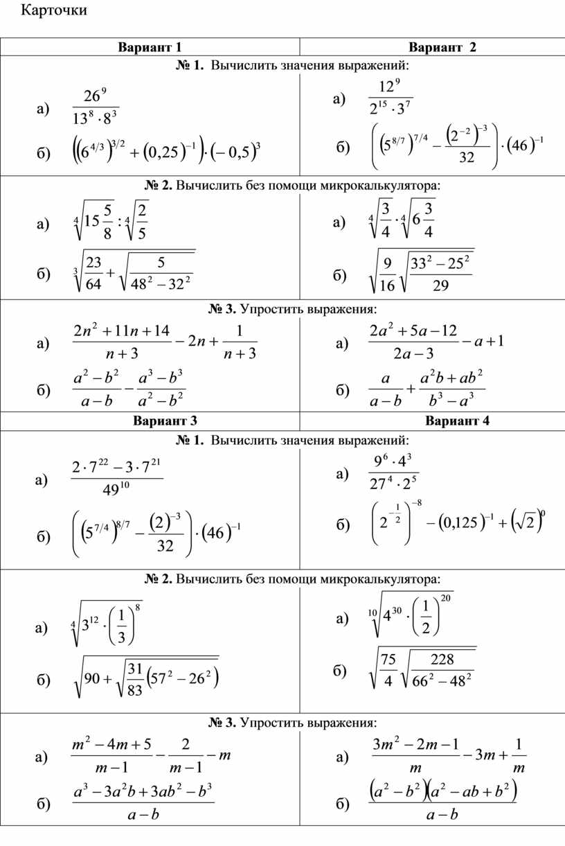
Карточки

 

Вариант 1

Вариант  2

№ 1.  Вычислить значения выражений:

а)           

б)          

а)           

б)          

№ 2. Вычислить без помощи микрокалькулятора:

а)            

б)           

а)           

б)          

№ 3. Упростить выражения:

а)           

б)          

а)         

б)        

Вариант 3

Вариант 4

№ 1.  Вычислить значения выражений:

а)           

б)          

а)         

б)          

№ 2. Вычислить без помощи микрокалькулятора:

а)           

б)           

а)         

б)          

№ 3. Упростить выражения:

а)           

б)          

а)           

б)        

 

 

 

 

 

 


 

Скачивание материала доступно только для авторизованных пользователей.

Посмотрите также