№1. На рисунке показана фигура, площадь закрашенной части которой больше 2, но меньше 17 квадратных сантиметра. Все измерения фигуры даны в сантиметрах.
Оцените значение х.

Критерии оценивания:
Учащийся
- верно записывает площадь фигуры в виде выражения;
- верно составляет двойное неравенство, в составе которого имеются квадратные неравенства;
- верно записывает систему неравенств;
- правильно определяет корни квадратного трехчлена;
- верно записывает решение квадратного неравенства;
- правильно находит пересечение числовых промежутков;
- правильно указывает ответ к задаче, учитывая ее контекст.
№2. Найдите все целые значения х, которые не удовлетворяют системе неравенств:

Критерии оценивания:
Учащийся
- верно находит значения, которые принимает квадрат двучлена;
- анализирует знаки дробно-рациональных неравенств;
- верно решает квадратное неравенство;
- верно находит решение системы неравенств;
- верно находит все целые значения переменной, которые не удовлетворяют системе неравенств.
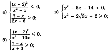
№3. Решите совокупность систем неравенств:

Критерии оценивания:
Учащийся
- правильно решает линейное или квадратное неравенство;
- верно находит решение системы неравенств;
- верно находит решение совокупности систем неравенств.
Материалы на данной страницы взяты из открытых источников либо размещены пользователем в соответствии с договором-офертой сайта. Вы можете сообщить о нарушении.