Приложение 2
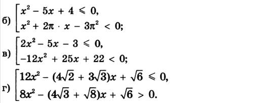
Решите совокупность неравенств:

Критерии оценивания:
Учащийся
- правильно находит корни квадратного трехчлена;
- верно находит решение квадратного неравенства;
- верно находит объединение числовых промежутков;
- верно записывает решение совокупности неравенств.
Материалы на данной страницы взяты из открытых источников либо размещены пользователем в соответствии с договором-офертой сайта. Вы можете сообщить о нарушении.