РМ Задание

  • docx
  • 01.05.2020
Публикация на сайте для учителей

Публикация педагогических разработок

Бесплатное участие. Свидетельство автора сразу.
Мгновенные 10 документов в портфолио.

Иконка файла материала РМ Задание.docx

Задания

Заполните таблицу в ходе просмотра видео

 

Космическая скорость

Формула

Значение

 скорости

Траектория

движения

Рисунок

 

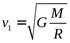
Первая

 

 

 

 

 

Больше первой и меньше второй

 

 

 

 

Вторая

 

 

 

 

 

 

Третья

 

 

 

 

 

 

Образец заполнения

 

Космическая скорость

Формула

Значение

 скорости

Траектория

движения

Рисунок

 

Первая

 

Картинки по запросу первая космическая скорость формула

 

Картинки по запросу первая космическая скорость формула

7,9 км/с

круг

 

Больше первой и меньше второй

 

9-10 км/с

эллипс

 

 

 

 

Вторая

Картинки по запросу вторая космическая скорость формула

11,2 км/с

парабола

 

 

 

 

Третья

 

 

16,7 км/с

гипербола

 

 

 

 


 

Посмотрите также