Системы уравнений до 4.12
1. Решите систему уравнений 
2. Решите систему уравнений 
3. Решите систему уравнений: 
4. Решите систему уравнений 
5. Решите систему 
6. Решите систему уравнений 
7. Решите систему уравнений 
8. Решите систему уравнений 
9. Решите систему уравнений 
10. Решите систему
уравнений 
11. Решите систему
уравнений 
12. Решите систему
уравнений 
13. Решите систему
уравнений 
14. Решите систему
неравенств 
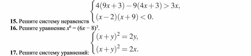
15. Решите систему
неравенств 
16. Решите уравнение x6 = (6x − 8)3.
17. Решите систему
уравнений: 
Материалы на данной страницы взяты из открытых источников либо размещены пользователем в соответствии с договором-офертой сайта. Вы можете сообщить о нарушении.