
Технологическая карта урока
1. Ф. И. О. Носикова Снежанна Евгеньевна.
2. Класс: 2 Предмет: математика.
3. Тема «Составление и чтения числового выражения со скобками».
4. Тип урока: открытие новых знаний.
5. Цель: знакомство с порядком выполнения действий в скобках.
|
6. Задачи
|
7. Планируемые результаты (ПР)
|
||
|
ДЗ |
Формировать умения различать треугольники по длине их сторон. |
Пр1 |
|
|
|
|
П1 |
|
|
РЗ |
Развивать логическое мышление. |
П2 |
|
|
|
Развивать математическую речь. |
К1 |
|
|
|
Развивать память. |
Р1 |
|
|
ВЗ |
Воспитывать любознательность. |
Л1 |
|
|
|
|
|
|
8. Средства обучения: Учебник: Математика 1 класс. Учеб. для общеобразоват. организаций. В 2 ч. Ч. 1 / М. И. Моро, С. И. Волкова, С. В. Степанова. – 6-е изд. – М: Просвещение, 2015. – 128 с. : ил. – (Школа России).
|
Структура урока Дидактические средства (ДС) |
Задача этапа урока |
Деятельность учителя |
Деятельность ученика |
ФОУД |
ПР |
|
|
Оргмомент. |
Проверить готовность к уроку (психологический настрой). |
-Здравствуйте, ребята! -Встало солнышко давно, -Проверьте свою готовность к уроку, на столах у вас должны лежать учебник, тетрадь и пенал. |
-Приветствуют учителя, слушают стихотворение, проверяют готовность к уроку. |
|
|
|
|
Актуализация знаний. |
Мотивационный этап. ДС: |
Показать необходимость/значимость изучения материала (спланировать деятельность). |
-Ребята, обратите внимание на слайд, на нём представлена цитата одного математика Айвена Нивена. «Математику нельзя изучать, наблюдая, как это делает сосед!» -Кто хочет её прочитать? -Как вы думаете, о чём она? -А вообще, математика важна в нашей жизни? -Где она нам может пригодиться? -Верно, именно поэтому мы сегодня с вами продолжим изучение математики, ведь каждая новая изученная тема пополняет ваш багаж знаний. |
-Работают с цитатой, отвечают на вопросы. |
|
|
|
Подготовка обуч-ся к учебной деятельности на уроке. ДС: |
Повторить материал, необходимый для «ОНЗ». |
-Ребята, а сейчас я предлагаю поиграть вам в игру и накормить котят. -У нас есть 6 котят и 6 мисок с молоком. У каждого котенка есть своя миска, и чтобы определить где чья, вам нужно найти значение числовых выражений.
-Кто хочет выйти к доске? -Я вижу, что вы отлично решаете простые числовые выражения, а это значит, что мы мыжем продолжить дальше изучать числовые выражения, усложняя себе задачу. |
-Играют в игру «Накорми котенка».
|
|
|
|
|
Открытие новых знаний. |
Постановка учебной задачи. ДС: |
Сформулировать тему урока, поставить цель, (спланировать деятельность). |
-Обратите внимание на доску, Маше и Пете дали два абсолютно одинаковых равенства, но у них почему-то получились разные ответы. 18-4+6 = 8 и 18-4+6 = 20 -Ребята, как вы думаете, почему у них так получилось? -А вы знаете, как можно исправить первое равенство, чтобы ответ получился верным? -Сегодня мы с вами это и узнаем. -Давным-давно математики ввели специальные символы, которые называются скобками, они их ввели для того, чтобы можно было по-разному решать числовые выражения. -Для того, чтобы определить тему нашего сегодняшнего урока, я предлагаю вам ее собрать. -Посмотрите на слайд, слова из темы разбросаны, составьте их в правильном порядке. -Кто догадался? -Верно, тема нашего сегодняшнего урока «Составление и чтение числовых выражений со скобками». -А какую цель мы с вами поставим? -Верно, сегодня мы с вами научимся находить значения выражения в скобках. |
-Потому что разный порядок действий. -Нет.
-«Составление и чтение числовых выражений со скобками». -Будем учиться находить значения выражения в скобках. |
|
|
|
Учебное действие. ДС: |
Познакомить новым материалом (произведением/определением, правилом, понятием, свойством, …). |
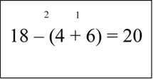
-Давайте еще раз вернёмся к числовым равенствам, которые решали Маша и Петя. -Сначала рассмотрим равенство Пети, в этом случае все действия выполняются по порядку. -Давайте проверим. -Сначала от 18 отнимаем 4, сколько получится? -Верно, 14, а теперь к 14 прибавьте 6, сколько получается? -Да, получается 20, значит значение равенства найдено верно.
-Ребята, порядок действий нужно обязательно прописывать. -А теперь обратите внимание на равенство Маши. -В данном равенстве нужно поставить скобки и выделить ими сумму чисел 4 и 6. -Получается, что из числа 18 нужно вычесть сумму чисел 4 и 6. -А теперь попробуем решить. -Первое действие выполняем в скобках, чему будет равна сумма числе 4 и 6? -Верно, 10, а теперь от 18 отнимите 10, сколько получается? -Да, получается 8, теперь равенство решено верно?
-Отлично, вот мы и разобрались. -Ребята, а теперь откройте учебник на странице 38, обратите на новый материал, что вы видите? -Сначала мы с вами рассмотрим примеры, обратите внимание на первый пример. -Из числа 10 вычесть сумму чисел 6 и 3. -Первое действие выполняется где? -Верно, в скобках, что получается? -Что делаем дальше? -Получился ответ? -А теперь кто хочет попробовать объяснить следующее числовое выражение – к числу 9 прибавить разность чисел 8 и 5? -Ребята, вы согласны? Если согласны, хлопните один раз. -А теперь давайте прочитаем правило -Кто хочет прочитать? -А теперь кто повторит прочитанное правило? -Для того, чтобы проверить поняли ли вы правило, давайте выполним номер 1. -Выражения первой строчки мы решим вместе с вами у доски, а вторую строчку вы сделаете самостоятельно у себя в тетрадях. -Откройте тетради, запишите число и классная работа. -Кто хочет попробовать решить первое выражение? -Выходя к доске, сначала правильно читайте выражение, как было показано в примере и объясняйте, как вы выполняете действия вслух. -Ребята, если вы согласны с ответом, хлопните один раз. -Кто хочет решить второе выражение из первой строчки? -Ребята, если вы согласны с ответом, хлопните один раз. -Кто решит третье выражение? -Ребята, если вы согласны с ответом, хлопните один раз. -Вторую строчку вы решаете самостоятельно в тетрадях. -1 ряд решает первое выражение, второй ряд – второе, а третий ряд – третье. -На выполнение задания вам 2 минуты. Кто выполнит, сядьте правильно. -Теперь предлагаю вам самостоятельно проверить свои ответы. -Посмотрите на слайд, если ответ совпадает, поставьте рядом с ним плюс. -Поднимите руку, кто не справился с заданием. -Я вижу, что большинство справились. |
-Числовые выражения и правило.
-В скобках. -9. -Вычитаем из 10 6. -Да.
-Работают с заданием из учебника. |
|
|
|
|
Применение знаний. |
Действия контроля. ДС: |
Выявить уровень первичного усвоения учебного материала. Форма контроля: |
-А теперь обратите внимание на страницу 39 номер 6. -Как вы думаете, что мы будем делать? -Верно, сейчас мы будем решать задачу. -Давайте прочитаем её. -Про кого говорится в задаче? -Верно, в задаче говорится про Митю. -Сколько Митя проходит от школы до угла переулка? -Сколько он еще проходит по улице? -Всё верно, а теперь посмотрите на слайд, что вы видите? -Верно, это схемы к задаче. -Но одна из этих схем неправильная и не подходит к задачи, найдите ту, которая нам подходит.
-А почему ты решил, что именно эта схема правильная? -Верно, ребята, хлопните один раз, если вы согласны. -Каков главный вопрос в задаче? -Какие два числа нужно знать, чтобы найти сколько всего метров проходит Митя? -Каким действием мы найдем сколько метров проходит Митя? -Запишите решение задачи в рабочих тетрадях. 20+50=70(м) – всего прошёл Митя. -Кто запишет решение у доски? -Кто согласен, хлопните один раз. -Вы отлично справились с решением задачи. |
-Работают над задачей. |
|
|
|
Действие самоконтроля. ДС: |
Развивать способности к оценочным действиям. Форма самоконтроля: |
-А теперь для закрепления полученных знание, я предлагаю вам выполнить задание из рубрики «Проверим себя» на странице 39. -Кто хочет прочитать задание? -А теперь, кто хочет повторить? -Предлагаю вам обсудить это задания в парах, а затем каждый запишите в своей тетради то, что вы выбрали. -На выполнение задания вам две минуты. -Ваше время вышло, какая пара хочет поделиться своим ответом? -Ребята, если вы согласны и у вас такие же ответы, хлопните один раз. -Вот мы и закрепили ваши полученные знания на сегодняшнем уроке. |
-Работают с рубрикой «Проверим себя». |
|
|
|
|
Рефлексия познавательная. |
Действия оценки. ДС: |
Дать качественную оценку работы класса и отдельных обуч-ся. |
-Ребята, какая у нас была тема? -А какую цель мы с вами ставили? -Как вы думаете, мы ее достигли? - Что нового вы сегодня узнали на уроке?
|
-Отвечают на вопросы. |
|
|
|
Рефлексия личностная. |
Действия самооценки. ДС: |
Формировать умение оценивать результаты своей деятельности. |
-Ребята, у вас на столах лежат смайлики, оцените свою работу на уроке.
-Я вижу, что большинство из вас довольны своей работай на уроке. -Спасибо за урок! |
-Оценивают себя. |
|
|
Скачано с www.znanio.ru
Материалы на данной страницы взяты из открытых источников либо размещены пользователем в соответствии с договором-офертой сайта. Вы можете сообщить о нарушении.