СЦЕНАРИЙ УРОКА ИНФОРМАТИКИ ПО ТЕМЕ «ИСПОЛЬЗОВАНИЕ СТАНДАРТНЫХ ФУНКЦИЙ»

  • doc
  • 06.05.2020
Публикация на сайте для учителей

Публикация педагогических разработок

Бесплатное участие. Свидетельство автора сразу.
Мгновенные 10 документов в портфолио.

Иконка файла материала 10. СЦЕНАРИЙ УРОКА ИНФОРМАТИКИ ПО ТЕМЕ «ИСПОЛЬЗОВАНИЕ СТАНДАРТНЫХ ФУНКЦИЙ».doc

 

СЦЕНАРИЙ УРОКА ИНФОРМАТИКИ ПО ТЕМЕ «ИСПОЛЬЗОВАНИЕ СТАНДАРТНЫХ ФУНКЦИЙ»

Раздел «Обработка информации в электронных таблицах».

Номер урока в разделе: 7.

Цель: обеспечить знакомство со стандартными функциями MS Excel и научить применять их для решения различных задач.

Задачи:

·         познакомить учащихся с некоторыми стандартными функциями в табличном процессоре Excel, особенностями их применения; создать условия для формирования умения использовать стандартные функции для решения задач; способствовать закреплению имеющихся знаний и умений из раздела «Обработка информации в электронных таблицах»;

·         содействовать развитию внимания, памяти, речи, аналитического, логического и пространственного мышления учащихся;

·         способствовать формированию научного мировоззрения, информационой культуры; воспитанию социально-активной, мобильной личности.

Ожидаемые результаты:

после этого урока ученики смогут пользоваться стандартными функциями для вычисления квадратного корня, суммы, среднего значения, решения задач по темам учебных предметов.

Тип урока: комбинированный урок.

Обеспечение урока

  • опорные конспекты и чистые листы бумаги формата А5 по числу учащихся, карточки с заданиями «Структура электронной таблицы», «Ввод формул в электронную таблицу», карточки с различными видами форматирования;
  • техническое: персональные компьютеры, мультимедиа-проектор;
  • программное: табличный процессор Excel.

 

Ход урока

I.     . Мотивационно-целевой этап (7 мин)

Деятельность учителя

Деятельность учащихся

Приветствие. Проверка готовности учащихся к уроку.

Создание психологического настроя.

- Какие эмоции ждут нас сегодня на уроке? Попробуйте продолжить фразы.

- Радость познания; удовольствие от работы (от оценок); триумф победителя; чувство гордости, удовлетворения…

 

Прежде, чем перейти к открытию  новых знаний, давайте вспомним основные понятия, с которыми познакомились на предыдущих уроках.

(фронтальная  беседа)

Вопросы:

1.     Что такое ЭТ?

2.     Что называют строкой, столбцом, ячейкой ЭТ?  Активной ячейкой?

3.     С какими данными работает Excel?

4.     Как ввести формулу?

5.     Что может содержать формула?

6.     В чем отличие абсолютной ссылки от относительной?

7.     Что такое смешанная ссылка?

Как вы думаете, ребята, нам достаточно изученных знаний, чтобы решать разнообразные задачи?

 

 

 

 

 

Учащиеся отвечают на вопросы

 

 

 

 

 

 

 

 

 

 

 

Видимо, нет!

 

- Недавно, ребята,  я прочитал поразительные факты о звезде. Солнце имеет колоссальную мощность – 38·1025 Вт. За то время, пока мы с вами будем работать на уроке, Земля получит от солнечного излучения столько же энергии, сколько на всей нашей планете потребляют в течение года.

Учащиеся слушают учителя

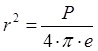
- Предлагаю вам решить с помощью программы Excel следующую задачу: Найдите расстояние () от Земли до Солнца из формулы , если известны мощность Солнца Р=3,8*1026 Вт, солнечная постоянная е=1367 Вт/м2.

Учащиеся выводят из данной формулы сначала квадрат расстояния    и вводят формулу =B2/(4*3,14*B3)  в свободную ячейку электронной таблицы**. Затем выводят формулу зависимости расстояния от мощности и солнечной постоянной.

Как записать эту формулу в электронной таблице? (Указать на формулу , записанную на доске)

- Вычислять квадратный корень и многие другие функции мы сможем, изучив новую тему – «Использование стандартных функций».

Проблемная ситуация: учащимся пока неизвестно, как в электронной таблице вычислить квадратный корень из числа.

 

Учащиеся записывают тему урока  в тетради.

- Какую цель мы перед собой поставим? (после ответа учащихся предложить свою формулировку, прийти к общему мнению).

- Как вы думаете, для чего можно использовать стандартные функции в электронной таблице?

- Когда вы сможете сказать, что тема урока вами усвоена?

 

- Я предлагаю вам три ключевых вопроса, ответив на которые, вы сможете с уверенностью сказать, что усвоили тему «Использование стандартных функций». (Открыть записи на доске и зачитать ключевые вопросы: На доске заранее сделана запись

«Надо знать:

1. Какие стандартные функции есть в MS Excel? (7-10 примеров)

2. Как вставить функцию в ячейку?

3. Как узнать об использовании других (пока незнакомых) функций?»).

Мы будем возвращаться к этим вопросам в течение урока.

 

- Узнать, какие есть стандартные функции, как ими пользоваться.

 

 

- Для вычислений, для решения задач.

 

- Когда мы сможем делать вычисления и решать задачи, используя стандартные функции.

II. Операционно – познавательный этап  (25 мин)

 

Деятельность учителя

Деятельность учащихся

 

 

- В табличном процессоре Excel большая библиотека стандартных функций. Каждая функция имеет свое имя, после которого в скобках указывается аргумент функции. Рассмотрите схему в ваших конспектах. Назовите имя функции; аргумент.

Начинают работать с опорными конспектами, которые с начала урока лежали у каждого на парте обратной стороной вверх.

Рассматривают схему:

=КОРЕНЬ (25)

 


________             ________

- Имя функции – «корень», аргумент – 25.

Заполняют пропуски.

- Имена многих функций «говорящие». Что говорит вам имя функции «СУММ»? «СрЗнач»? «МАКС»? «МИН»? Некоторые функции называются так же, как и в математике, например, SIN(A5), COS(A5).

- Как вы думаете, что еще (кроме чисел) может быть аргументом функции?

- Сумма нескольких чисел, среднее значение, максимальное и минимальное значение.

 

 

 

- Ссылки на ячейки, диапазоны ячеек, текст.

Записывают примеры функций и аргументов в опорный конспект.

- Кто из вас может ответить на первый ключевой вопрос темы? Какие стандартные функции есть в MS Excel?   (Учебник, стр. 96)

- Корень, сумма, среднее значение, минимум, максимум, синус, косинус.

Анализируют таблицу в учебнике, стр.96

- Вернемся к нашей задаче. Давайте в ячейке В4 вычислим расстояние от Земли до Солнца.

-  Как видите, при выборе какой-либо функции Мастер функций дает краткое описание функции. Зачем же нужна гиперссылка «Справка по этой функции»?

- Кто из вас сейчас может ответить на второй ключевой вопрос темы? третий вопрос?

- Как вы думаете, в каких областях вам могут пригодиться знания по новой теме?

Один из учащихся работает за компьютером, подключенном к мультимедиа-проектору, остальные учащиеся следят за ходом работы на большом экране. Учащийся выбирает один из способов, вызывает окно Мастера функций и вводит в ячейку В4 функцию =КОРЕНЬ(В5)

 

 

 

- При изучении математики, физики, химии.

 

Физкультпауза. Гимнастика для глаз (до 1 мин)

Операционно – познавательный этап   (продолжение)

Работа за компьютером.  Учащиеся садятся за компьютеры)

Деятельность учителя

Деятельность учащихся

Как вставить функцию в ячейку?

 

 

 

 

Как узнать об использовании других (пока незнакомых) функций?

Рассматривают и перечисляют 3 способа вставки функции в ячейку.

1.     Σ (автосуммма);

2.     Мастер функций fx;

3.     Ручной способ ввода.

Использовать справку мастера функций.

- Вспомните, какую цель мы ставили в начале урока?

Можно ли сказать, что мы достигли цели? Как вы можете доказать, что вы усвоили тему?

- Что осталось сделать для достижения цели?

За двадцать дней Земля получает в виде солнечного излучения столько же энергии, сколько хранится во всех запасах ископаемого топлива на планете. В качестве эпиграфа к следующему этапу нашей работы я хочу привести слова И.Д. Менделеева: «Сжигать нефть – все равно, что топить печку ассигнациями».

Узнать о стандартных функциях, научиться применять их для решения задач.

Мы можем ответить на ключевые вопросы.

Научиться применять знания на практике).

- Какие выводы вы можете сделать из этой информации?

- А какие могут быть пути решения этой проблемы? Вспомните факты, которые я приводил в начале урока.

Существует много разновидностей альтернативной энергетики. Солнечная энергетика – одна из них. Солнечные батареи, превращают силу солнечного излучения в электричество. Пока их вклад в мировую энергетику мал, однако перспективы солнечной энергетики весьма масштабны.  Может быть, в будущем кто-то из вас внесет свой вклад в развитие энергетики нашей страны.

Можно использовать энергию Солнца.

 

 

 

4.      

Давайте проведем мини-исследование «Мировые запасы нефти».

Откройте файл «Мировые запасы нефти»  в папке «10 класс». Вам нужно заполнить ячейки бирюзового цвета и ответить на вопросы, расположенные ниже таблицы. Не забудьте о правилах безопасного поведения при работе за компьютером.

 

Открывают файл, содержащий исходные данные (страны мира, запасы нефти в каждой стране, объем ежедневной добычи нефти) и пошаговую инструкцию по заполнению недостающих данных (запасы нефти во всем мире, доахчаиймул в электронную таблицу"ля запасов каждой страны, ежедневная добыча нефти в мире, доля ежедневной добычи каждой страны, на сколько лет хватит нефти каждой стране).

- Как вычислить процентную долю запасов нефти каждой страны?

 

А как найти, какие запасы нефти во всем мире?

Какую функцию будем использовать?

- Количество нефти в одной стране разделить на количество нефти во всем мире.

Найти сумму всех значений в столбце «Запасы».

СУММ.

Учитель контролирует выполнение задания учащимися, при необходимости  оказывая помощь.

Учащиеся выполняют задания, пользуясь пошаговой инструкцией.

Гимнастика для глаз.

- В каких странах самые большие запасы нефти?

Каким странам нефти хватит дольше всего?

Какие страны раньше всего исчерпают запасы нефти?

 

- Саудовская Аравия, Иран.

 

- Ирак, Венесуэла.

 

- Китай, США

- Ископаемого топлива очень мало, его надо расходовать экономно.

 

Этап 3. Контрольно - коррекционный (8 минут)

Деятельность учителя

Деятельность учащихся

Предлагает выполнить индивидуальное задание в форме теста 

Самостоятельно выполняют предложенный тест, осуществляют самоконтроль и самооценку

 

Этап 4. Рефлексивно - оценочный (4 минуты)

Деятельность учителя

Деятельность учащихся

-Можно ли сказать, что мы достигли целей урока? Можете ли вы ответить на ключевые вопросы?

Прошу поднять руки тех, кому удалось ответить на все три ключевых вопроса.

Где вам пригодятся полученные знания и умения? Где вы сможете их использовать?

Да.

 

 

Учащиеся поднимают руки

 

 

При решении различных задач (математических, физических, химических, житейских)

Оценка деятельности каждого учащегося, выставление отметок.

Самооценка своей деятельности.

Прием «Незаконченное предложение»

-Я узнал сегодня, что…

-Я понял, что…

-Я был удивлен следующим…

-Я сегодня достиг поставленной цели, потому что…

 

 

5. Определение и формулировка домашнего задания  (1минута)

Деятельность учителя

Деятельность учащихся

Домашнее задание:

обязательный уровень: §15, дополнительное задание: дополнить записи в опорном конспекте.

   Творческий уровень: составить для себя электронный дневник, с помощью которого можно автоматически отследить свою успеваемость.

.

Учащиеся записывают домашнее задание в дневник, при необходимости задают вопросы

 

 

 

 

 


Скачано с www.znanio.ru



 

Скачивание материала доступно только для авторизованных пользователей.