Тренажер "Алгебраические выраженияс двумя неизвестными""

  • Карточки-задания
  • Раздаточные материалы
  • docx
  • 20.12.2025
Публикация на сайте для учителей

Публикация педагогических разработок

Бесплатное участие. Свидетельство автора сразу.
Мгновенные 10 документов в портфолио.

Тренажер по алгебре 7 класс по теме "Алгебраические выражения с двумя переменными2 можно использовать для подготовки к ВПР (задание № 10) и к ОГэ по математике в 9 классе
Иконка файла материала ВПР - 7 (Зад 10) ОГЭ -9 алг.выраж. с 2-мя перем. .docx

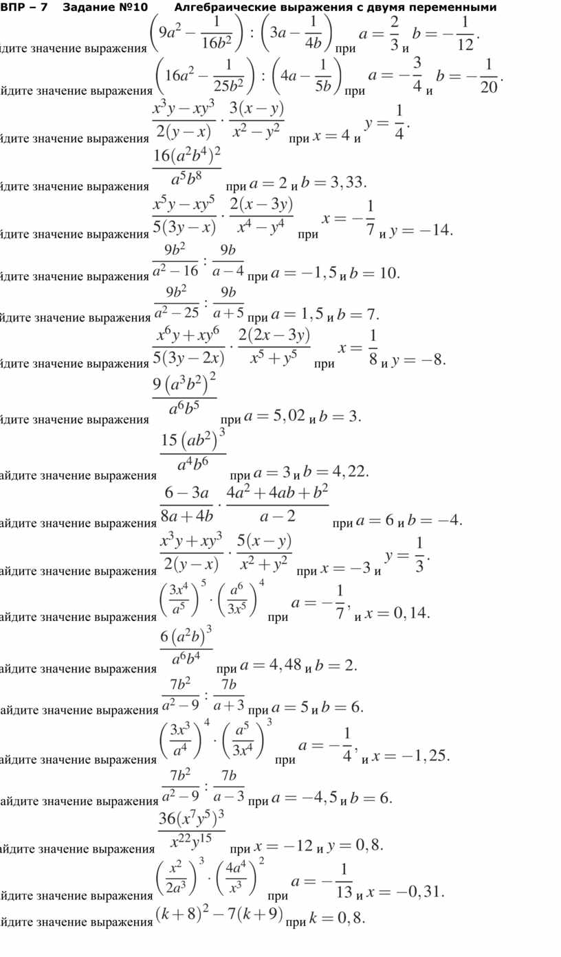
ВПР – 7    Задание №10       Алгебраические выражения с двумя переменными

1. Най­ди­те зна­че­ние вы­ра­же­ния  левая круг­лая скоб­ка 9a в квад­ра­те минус дробь: чис­ли­тель: 1, зна­ме­на­тель: 16b в квад­ра­те конец дроби пра­вая круг­лая скоб­ка : левая круг­лая скоб­ка 3a минус дробь: чис­ли­тель: 1, зна­ме­на­тель: 4b конец дроби пра­вая круг­лая скоб­ка  при  a = дробь: чис­ли­тель: 2, зна­ме­на­тель: 3 конец дроби  и  b = минус дробь: чис­ли­тель: 1, зна­ме­на­тель: 12 конец дроби .

2.   Най­ди­те зна­че­ние вы­ра­же­ния  левая круг­лая скоб­ка 16a в квад­ра­те минус дробь: чис­ли­тель: 1, зна­ме­на­тель: 25b в квад­ра­те конец дроби пра­вая круг­лая скоб­ка : левая круг­лая скоб­ка 4a минус дробь: чис­ли­тель: 1, зна­ме­на­тель: 5b конец дроби пра­вая круг­лая скоб­ка  при a= минус дробь: чис­ли­тель: 3, зна­ме­на­тель: 4 конец дроби  и b= минус дробь: чис­ли­тель: 1, зна­ме­на­тель: 20 конец дроби .

3.  Най­ди­те зна­че­ние вы­ра­же­ния  дробь: чис­ли­тель: x в кубе y минус xy в кубе , зна­ме­на­тель: 2 левая круг­лая скоб­ка y минус x пра­вая круг­лая скоб­ка конец дроби умно­жить на дробь: чис­ли­тель: 3 левая круг­лая скоб­ка x минус y пра­вая круг­лая скоб­ка , зна­ме­на­тель: x в квад­ра­те минус y в квад­ра­те конец дроби  при x=4 и y= дробь: чис­ли­тель: 1, зна­ме­на­тель: 4 конец дроби .

4.  Най­ди­те зна­че­ние вы­ра­же­ния  дробь: чис­ли­тель: 16 левая круг­лая скоб­ка a в квад­ра­те b в сте­пе­ни 4 пра­вая круг­лая скоб­ка в квад­ра­те , зна­ме­на­тель: a в сте­пе­ни 5 b в сте­пе­ни 8 конец дроби  при a=2 и b=3,33.

5.  Най­ди­те зна­че­ние вы­ра­же­ния  дробь: чис­ли­тель: x в сте­пе­ни 5 y минус xy в сте­пе­ни 5 , зна­ме­на­тель: 5 левая круг­лая скоб­ка 3y минус x пра­вая круг­лая скоб­ка конец дроби умно­жить на дробь: чис­ли­тель: 2 левая круг­лая скоб­ка x минус 3y пра­вая круг­лая скоб­ка , зна­ме­на­тель: x в сте­пе­ни 4 минус y в сте­пе­ни 4 конец дроби  при x= минус дробь: чис­ли­тель: 1, зна­ме­на­тель: 7 конец дроби  и y= минус 14.

6.  Най­ди­те зна­че­ние вы­ра­же­ния  дробь: чис­ли­тель: 9b в квад­ра­те , зна­ме­на­тель: a в квад­ра­те минус 16 конец дроби : дробь: чис­ли­тель: 9b, зна­ме­на­тель: a минус 4 конец дроби  при a= минус 1,5 и b=10.

7.  Най­ди­те зна­че­ние вы­ра­же­ния  дробь: чис­ли­тель: 9b в квад­ра­те , зна­ме­на­тель: a в квад­ра­те минус 25 конец дроби : дробь: чис­ли­тель: 9b, зна­ме­на­тель: a плюс 5 конец дроби  при a=1,5 и b=7.

8.  Най­ди­те зна­че­ние вы­ра­же­ния  дробь: чис­ли­тель: x в сте­пе­ни 6 y плюс xy в сте­пе­ни 6 , зна­ме­на­тель: 5 левая круг­лая скоб­ка 3y минус 2x пра­вая круг­лая скоб­ка конец дроби умно­жить на дробь: чис­ли­тель: 2 левая круг­лая скоб­ка 2x минус 3y пра­вая круг­лая скоб­ка , зна­ме­на­тель: x в сте­пе­ни 5 плюс y в сте­пе­ни 5 конец дроби  при x= дробь: чис­ли­тель: 1, зна­ме­на­тель: 8 конец дроби  и y= минус 8.

9.  Най­ди­те зна­че­ние вы­ра­же­ния  дробь: чис­ли­тель: 9 левая круг­лая скоб­ка a в кубе b в квад­ра­те пра­вая круг­лая скоб­ка в квад­ра­те , зна­ме­на­тель: a в сте­пе­ни 6 b в сте­пе­ни 5 конец дроби  при a=5,02 и b=3.

10.  Най­ди­те зна­че­ние вы­ра­же­ния  дробь: чис­ли­тель: 15 левая круг­лая скоб­ка ab в квад­ра­те пра­вая круг­лая скоб­ка в кубе , зна­ме­на­тель: a в сте­пе­ни 4 b в сте­пе­ни 6 конец дроби  при a=3 и b=4,22.

11.  Най­ди­те зна­че­ние вы­ра­же­ния  дробь: чис­ли­тель: 6 минус 3a, зна­ме­на­тель: 8a плюс 4b конец дроби умно­жить на дробь: чис­ли­тель: 4a в квад­ра­те плюс 4ab плюс b в квад­ра­те , зна­ме­на­тель: a минус 2 конец дроби  при a=6 и b= минус 4.

12.  Най­ди­те зна­че­ние вы­ра­же­ния  дробь: чис­ли­тель: x в кубе y плюс xy в кубе , зна­ме­на­тель: 2 левая круг­лая скоб­ка y минус x пра­вая круг­лая скоб­ка конец дроби умно­жить на дробь: чис­ли­тель: 5 левая круг­лая скоб­ка x минус y пра­вая круг­лая скоб­ка , зна­ме­на­тель: x в квад­ра­те плюс y в квад­ра­те конец дроби  при x= минус 3 и y= дробь: чис­ли­тель: 1, зна­ме­на­тель: 3 конец дроби .

13.  Най­ди­те зна­че­ние вы­ра­же­ния  левая круг­лая скоб­ка дробь: чис­ли­тель: 3x в сте­пе­ни 4 , зна­ме­на­тель: a в сте­пе­ни 5 конец дроби пра­вая круг­лая скоб­ка в сте­пе­ни 5 умно­жить на левая круг­лая скоб­ка дробь: чис­ли­тель: a в сте­пе­ни 6 , зна­ме­на­тель: 3x в сте­пе­ни 5 конец дроби пра­вая круг­лая скоб­ка в сте­пе­ни 4  при a= минус дробь: чис­ли­тель: 1, зна­ме­на­тель: 7 конец дроби ,  и x=0,14.

14.  Най­ди­те зна­че­ние вы­ра­же­ния  дробь: чис­ли­тель: 6 левая круг­лая скоб­ка a в квад­ра­те b пра­вая круг­лая скоб­ка в кубе , зна­ме­на­тель: a в сте­пе­ни 6 b в сте­пе­ни 4 конец дроби  при a=4,48 и b=2.

15.  Най­ди­те зна­че­ние вы­ра­же­ния  дробь: чис­ли­тель: 7b в квад­ра­те , зна­ме­на­тель: a в квад­ра­те минус 9 конец дроби : дробь: чис­ли­тель: 7b, зна­ме­на­тель: a плюс 3 конец дроби  при a=5 и b=6.

16.  Най­ди­те зна­че­ние вы­ра­же­ния  левая круг­лая скоб­ка дробь: чис­ли­тель: 3x в кубе , зна­ме­на­тель: a в сте­пе­ни 4 конец дроби пра­вая круг­лая скоб­ка в сте­пе­ни 4 умно­жить на левая круг­лая скоб­ка дробь: чис­ли­тель: a в сте­пе­ни 5 , зна­ме­на­тель: 3x в сте­пе­ни 4 конец дроби пра­вая круг­лая скоб­ка в кубе  при a= минус дробь: чис­ли­тель: 1, зна­ме­на­тель: 4 конец дроби ,  и x= минус 1,25.

17.  Най­ди­те зна­че­ние вы­ра­же­ния  дробь: чис­ли­тель: 7b в квад­ра­те , зна­ме­на­тель: a в квад­ра­те минус 9 конец дроби : дробь: чис­ли­тель: 7b, зна­ме­на­тель: a минус 3 конец дроби  при a= минус 4,5 и b=6.

18. Най­ди­те зна­че­ние вы­ра­же­ния  дробь: чис­ли­тель: 36 левая круг­лая скоб­ка x в сте­пе­ни 7 y в сте­пе­ни 5 пра­вая круг­лая скоб­ка в кубе , зна­ме­на­тель: x в сте­пе­ни левая круг­лая скоб­ка 22 пра­вая круг­лая скоб­ка y в сте­пе­ни левая круг­лая скоб­ка 15 пра­вая круг­лая скоб­ка конец дроби  при x= минус 12 и y=0,8.

19.Най­ди­те зна­че­ние вы­ра­же­ния  левая круг­лая скоб­ка дробь: чис­ли­тель: x в квад­ра­те , зна­ме­на­тель: 2a в кубе конец дроби пра­вая круг­лая скоб­ка в кубе умно­жить на левая круг­лая скоб­ка дробь: чис­ли­тель: 4a в сте­пе­ни 4 , зна­ме­на­тель: x в кубе конец дроби пра­вая круг­лая скоб­ка в квад­ра­те  при  a= минус дробь: чис­ли­тель: 1, зна­ме­на­тель: 13 конец дроби  и  x = минус 0,31.

20.Най­ди­те зна­че­ние вы­ра­же­ния  левая круг­лая скоб­ка k плюс 8 пра­вая круг­лая скоб­ка в квад­ра­те минус 7 левая круг­лая скоб­ка k плюс 9 пра­вая круг­лая скоб­ка  при  k = 0,8.

 

 

ВПР – 7 -  Зад. №10 “Алгебр.

выраж.с двумя переменными”

№ п/п

№ задания

Ответ

1

11131

-1

2

11133

-7

3

11134

-1,5

4

11136

8

5

11137

-0,8

6

11138

4

7

11139

-2

8

11141

0,4

9

11142

3

10

11143

5

11

11145

-6

12

11147

2,5

13

11148

-21

14

11149

3

15

11151

3

16

11152

-12

17

11153

-4

18

11154

-3

19

11155

-26

20

12033

8,84

 


 

Скачано с www.znanio.ru

Скачивание материала доступно только для авторизованных пользователей.