Решите неравенство:
1.
;
2.
;
3.
;
4.
;
5.
;
6. ![]()
7. ![]()
Решите неравенство:
1.
;
2.
;
3.
;
4.
;
5.
;
6. ![]()
7. ![]()
Решите неравенство:
1.
;
2.
;
3.
;
4.
;
5.
;
6. ![]()
7. ![]()
Решите неравенство:
1.
;
2.
;
3.
;
4.
;
5.
;
6. ![]()
7. ![]()
Решите неравенство:
1.
;
2.
;
3.
;
4.
;
5.
;
6. ![]()
7. ![]()
Решите неравенство:
1.
;
2.
;
3.
;
4.
;
5.
;
6. ![]()
7. ![]()
Решения
1.
;
Решение.
1 способ
![]()
![]()
| : (-2)
![]()

Ответ: ![]()
2 способ
Так как
при любом
х, то можно разделить обе части неравенства на сумму
, сохранив
знак неравенства:
| : ![]()

Ответ:
.
2.
;
Решение.
![]()
![]()
![]()
![]()

Ответ:
.
3.
;
Решение.
![]()
![]()
![]()
![]()

Ответ:
.
4.
;
Решение.
![]()
![]()
![]()
![]()
![]()
![]()

Ответ:
.
5.
;
Решение.
![]()
![]()
![]()
![]()

Ответ:
.
6. ![]()
Решение.
| : 3
![]()

Ответ:
.
7. ![]()
Решение.
| : 7
![]()

Ответ:
.
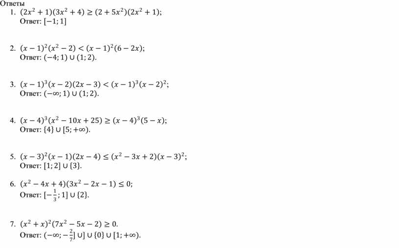
Ответы
1.
;
Ответ: ![]()
2.
;
Ответ:
.
3.
;
Ответ:
.
4.
;
Ответ:
.
5.
;
Ответ:
.
6. ![]()
Ответ:
.
7. ![]()
Ответ:
.
Материалы на данной страницы взяты из открытых источников либо размещены пользователем в соответствии с договором-офертой сайта. Вы можете сообщить о нарушении.