Методические рекомендации к уроку №2 темы/подраздела
«Преобразования выражений, содержащих квадратные корни»
раздела 8.1А: Квадратные корни и иррациональные выражения
Тема урока: Вынесение множителя из-под знака корня и внесение множителя под знак корня
Цель обучения:
8.1.2.3
выносить множитель из-под знака корня и вносить множитель под знак корня
На данном уроке будут рассмотрены операции вынесение множителя из-под знака корня и внесение множителя под знак корня в выражениях, содержащих переменные.
Теоретический материал
1. Вынесение множителя за знак корня.
Под знак
корня можно вносить только неотрицательный множитель. Например,
выражение
можно
преобразовать, внося под знак корня множитель 5:
![]()
Выражение
,
где а < 0, можно преобразовать, внося под корень положительный
множитель – а:
![]()
Методические рекомендации по организации урока и рекомендации по формативному оцениванию
Учитель организует беседу с классом для обсуждения вопроса о порядке действий в тех случаях перед знаком корня стоит отрицательное число. Сначала рассматривается пример, когда множитель перед знаком корня числовой, а затем – буквенный. Также следует обсудить, как вынести буквенный множитель из-под знака корня. Далее учащиеся в парах работают над выполнением подобных заданий, важно, чтобы они проговаривали свои действия. Также учащимся предлагается индивидуальная работа по выполнению заданий на преобразование выражений, содержащих квадратных корней. Учитель проверит работы учащихся и сделает вывод о том, кто из учащихся достиг цели обучения, кому из учащихся нужна консультация.
Дополнительные задания
1. Упростите выражение:
а)
; б) ![]()
2. Выполните действия и соотнесите с верным ответом:
|
|
-1 |
|
|
6
- |
|
|
|
|
|
|
Ответы и решения
Индивидуальная работа
Уровень А
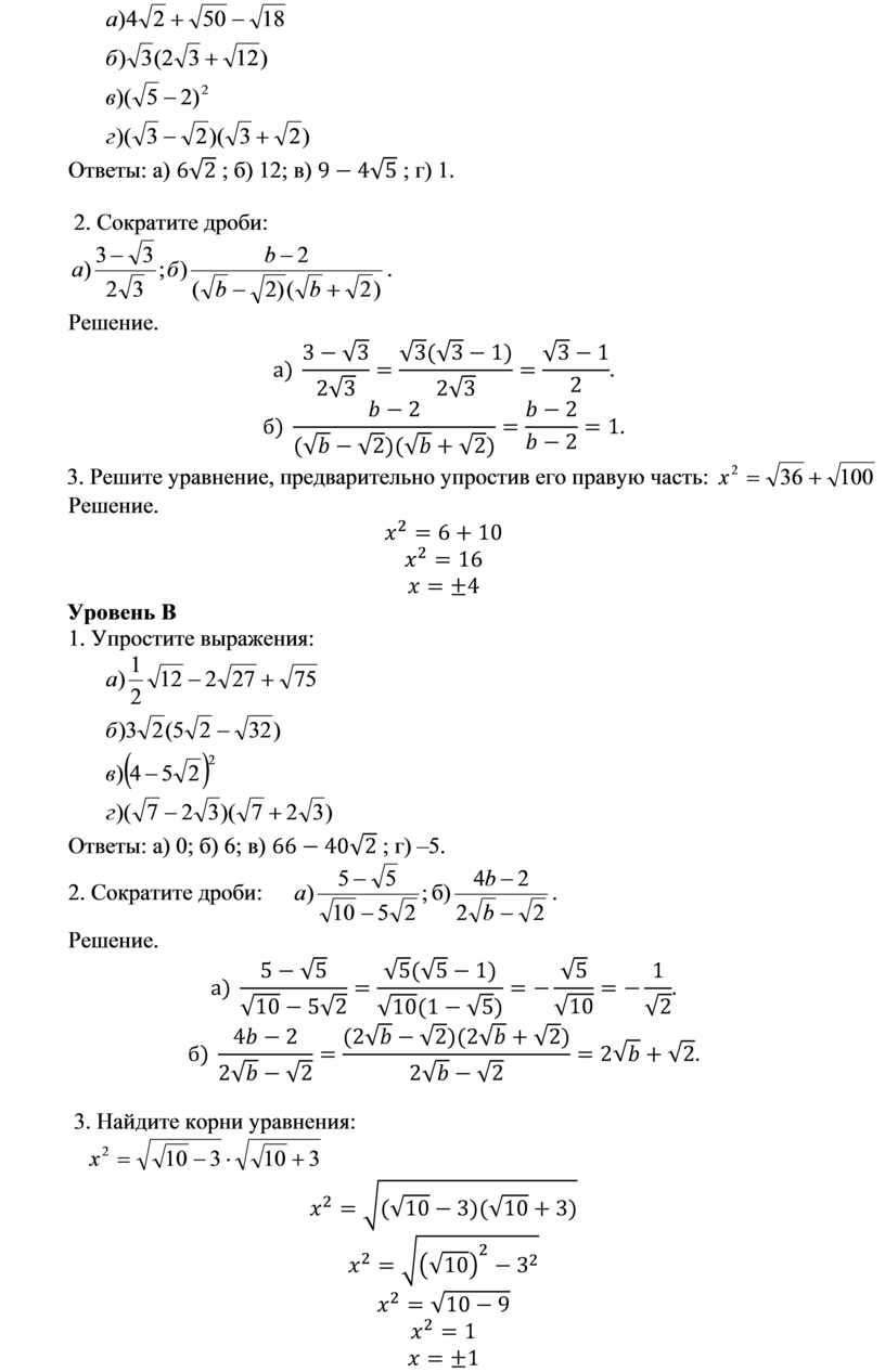
1. Упростите выражения:

Ответы: а)
;
б) 12; в)
;
г) 1.
2. Сократите дроби:
.
Решение.
![]()
![]()
3. Решите
уравнение, предварительно упростив его правую часть: ![]()
Решение.
![]()
![]()
![]()
Уровень В
1. Упростите выражения:

Ответы: а) 0; б) 6; в)
;
г) –5.
2. Сократите дроби:
б)
.
Решение.
![]()
![]()
3. Найдите корни уравнения:
![]()
![]()
![]()
![]()
![]()
![]()
Список полезных ссылок и литературы
1. Макарычев Ю.Н., Миндюк Н.Г., Нешков К.И., Феоктистов И.Е. Алгебра. 8 класс : учеб. для учащихся общеобразоват. учреждений – М. : Мнемозина, 2010. – 384 с. : ил.
2. Макарычев Ю.Н., Миндюк Н.Г. Алгебра. Дидактические материалы. 8 класс: пособие для шк. с углубл. изучением математики – М. : Мнемозина, 2010. – 157 с. : ил.
3. Галицкий М.Л., Гольдман А.М., Звавич Л.И. Сборник задач по алгебре, 8-9 классы. – М.: Просвещение, 2009
4. Феоктистов И.Е. Алгебра. 8 класс. Дидактические материалы. Методические рекомендации. – М.: Мнемозина, 2012. – 173 с. : ил.
Скачано с www.znanio.ru
Материалы на данной страницы взяты из открытых источников либо размещены пользователем в соответствии с договором-офертой сайта. Вы можете сообщить о нарушении.