Методические рекомендации к уроку №4
темы/подраздела «Рациональное неравенство»
раздела «Неравенства»
Тема урока: Решение дробно-рациональных неравенств
Цель обучения:
8.2.2.9 решать рациональные неравенства
Данный урок направлен на дальнейшее развитие у учащихся навыка решения дробно-рациональных неравенств.
Методические рекомендации по организации урока. Рекомендации по формативному оцениванию
В начале урока проводится проверка домашней работы учащихся. Деятельность учащихся организована таким образом, чтобы создать возможность для обсуждения решений в различных парах: учащиеся смогут поработать с четырьмя партнерами. Это поможет учащимся устранить возможные проблемы, трудности в применении метода интервалов для решения дробно-рациональных неравенств, также будет способствовать развитию коммуникативных навыков.
Далее будет рассмотрен подход к решению
более сложных дробно-рациональных
неравенств, который основан на сведении их к виду
(знак неравенства не важен) и применении
метода интервалов.
Для первичного закрепления материала учащиеся будут работать в парах, оп очереди комментируя решение друг другу. Тогда учащиеся смогут своевременно обнаруживать и исправлять ошибки. К тому же эта работа будет способствовать достижению языковых целей урока. По окончании работы, учащиеся получат образцы решений, чтобы формативно оценить свою работу в соответствии с дескрипторами.
Дополнительные разноуровневые вопросы
являются открытыми, можно придумать множество уравнений для каждого из случаев.
Например, к пункту а) подойдут такие дробно-рациональное неравенств, как
,
,
,
,
.
Дополнительные разноуровневые задания
Уровень С
Творческое задание
По геометрической иллюстрации составьте дробно-рациональное неравенство и укажите множество его решений.
|
а) |
|
б) |
|
|
в) |
|
г) |
|
Ответы и решения
Работа в парах
Решите неравенства:
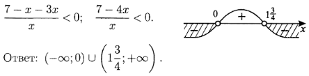
![]()
Решение.
![]()
![]()

Ответ: ![]()
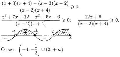
![]()
Решение.
![]()
![]()
![]()
![]()
![]()
Корень х = 2 двойной кратности.

Ответ: ![]()
Индивидуальная работа
Решите по крайней мере два из данных неравенств:
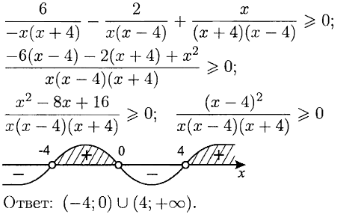
![]()
Решение.

![]()
Решение.

![]()
Решение.

Список полезных ссылок и литературы
1. Макарычев Ю.Н., Миндюк Н.Г., Нешков К.И., Феоктистов И.Е. Алгебра. 9 класс : учеб. для учащихся общеобразоват. учреждений. – М.: Мнемозина, 2010. – 417 с. : ил.
2. Шахмейстер А.Х. Дробно-рациональные неравенства. – М.: МЦНМО, 2008. – 248 с. : ил.
3. https://fileskachat.com/view/30004_e60b379631adfc70dcbe7dd7010f961b.html
4. Скачано с www.znanio.ru
Материалы на данной страницы взяты из открытых источников либо размещены пользователем в соответствии с договором-офертой сайта. Вы можете сообщить о нарушении.