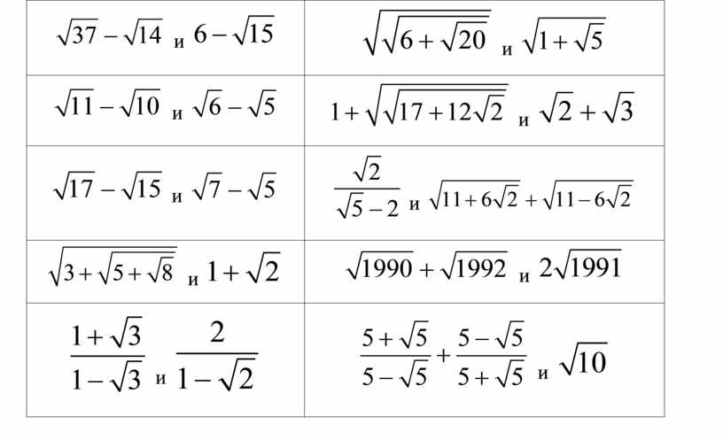
Урок_7_Приложение 1_Задания на сравнение чисел.docx
и
и
и
и
и
и
и
и
и
и
Материалы на данной страницы взяты из открытых источников либо размещены пользователем в соответствии с
договором-офертой сайта. Вы можете
сообщить о нарушении.
Продолжая использовать наш сайт, вы соглашаетесь с политикой использования Cookies. Это файлы в браузере, которые помогают нам сделать ваш опыт взаимодействия с сайтом удобнее.