Урок_7_Приложение 2_Образцы решений

  • docx
  • 30.04.2020
Публикация на сайте для учителей

Публикация педагогических разработок

Бесплатное участие. Свидетельство автора сразу.
Мгновенные 10 документов в портфолио.

Иконка файла материала Урок_7_Приложение 2_Образцы решений.docx

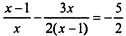
Решение.

Пусть , тогда

 

 

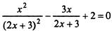
Решение.

Пусть , тогда

 

 

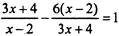
Решение.

Пусть , тогда

 

 

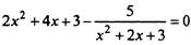
Решение.

Пусть , тогда

 

 

 

Решение.

Пусть , тогда