Урок_8_Приложение 3_Карточки для самостоятельной работы

  • docx
  • 30.04.2020
Публикация на сайте для учителей

Публикация педагогических разработок

Бесплатное участие. Свидетельство автора сразу.
Мгновенные 10 документов в портфолио.

Иконка файла материала Урок_8_Приложение 3_Карточки для самостоятельной работы.docx

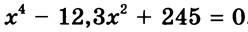
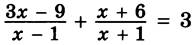
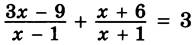
№1

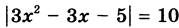
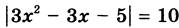
№2

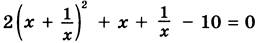
№3

№4

№5

№6

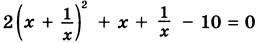
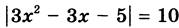
№1

№2

№3

№4

№5

№6

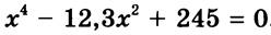
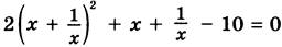
№1

№2

№3

№4

№5

№6

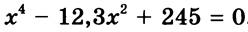
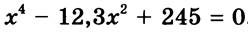
№1

№2

№3

№4

№5

№6

№1

№2

№3

№4

№5

№6

№1

№2

№3

№4

№5

№6