Самостоятельная работа
Вариант 1
1. Выполните действия:

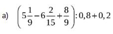
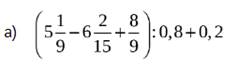
2. Выполните действия:



Самостоятельная работа
Вариант 2
1. Выполните действия:

2. Выполните действия:



Самостоятельная работа
Вариант 1
1. Выполните действия:

2. Выполните действия:



Самостоятельная работа
Вариант 2
1. Выполните действия:

2. Выполните действия:



Материалы на данной страницы взяты из открытых источников либо размещены пользователем в соответствии с договором-офертой сайта. Вы можете сообщить о нарушении.