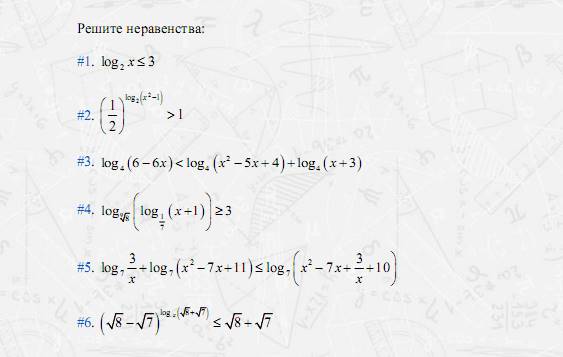
задачи по алгебре для подогтовки к ОГЭ_логарифмические выражения_5

  • docx
  • 28.12.2021
Публикация на сайте для учителей

Публикация педагогических разработок

Бесплатное участие. Свидетельство автора сразу.
Мгновенные 10 документов в портфолио.

Иконка файла материала задачи по алгебре для подогтовки к ОГЭ_логарифмические выражения_5.docx


 

Скачивание материала доступно только для авторизованных пользователей.