Логотип «Знанио»
Логотип «Знанио»
  • Иконка профиля Войти в кабинет
  • Иконка медиатека Медиатека Иконка добавления материала
  • Иконка курсы Курсы
  • Иконка сертификация Сертификация
  • Иконка мероприятия Мероприятия
  • Иконка конкурсы Конкурсы
  • Иконка собрания Собрания
  • Иконка классные часы Классные часы
  • Иконка новости Новости
  • Иконка членства Ваше членство
Логотип «Знанио»
  • Иконка профиля Войти в кабинет
  • Иконка медиатека Медиатека Иконка публикации на сайте
  • Иконка курсы Курсы
  • Иконка сертификация Сертификация
  • Иконка мероприятия Мероприятия
  • Иконка конкурсы Конкурсы
  • Иконка собрания Собрания
  • Иконка классные часы Классные часы
  • Иконка новости Новости
  • Иконка членства Ваше членство
Добавить материал

и получить 10 документов
и свидетельство автора

Аватар пользователя

Шумская Лариса Анатольевна

Публикации
Опубликовано
Обложка для материала Билет № 14 1. Информационные  ресурсы  общества. Основы информационной безопасности, этики и права.
Билет № 14 1. Информационные ресурсы общества. Основы информационной безопасности, этики и права.
  • docx
  • 17.11.2021
Аватар пользователя
Опубликовано
Обложка для материала Билет № 13 Практическое задание Создание базы данных «Компьютерная школа». Организация поиска информации в базах данных. Создание запросов разной сложности.
Билет № 13 Практическое задание Создание базы данных «Компьютерная школа». Организация поиска информации в базах данных. Создание запросов разной сложности.
  • docx
  • 17.11.2021
Аватар пользователя
Опубликовано
Обложка для материала Билет № 13 1. Понятие файла и файловой системы организации данных (папка, иерархическая структура, имя файла, тип файла, параметры файла). Основные операции с файлами и папками, выполняемые пользователем. Понятие об архивировании и защите от вирусов.
Билет № 13 1. Понятие файла и файловой системы организации данных (папка, иерархическая структура, имя файла, тип файла, параметры файла). Основные операции с файлами и папками, выполняемые пользователем. Понятие об архивировании и защите от вирусов.
  • docx
  • 17.11.2021
Аватар пользователя
Опубликовано
Обложка для материала Билет № 12 2. Практическое задание Создание мультимедийной презентации ответа на первый вопрос. Выбор типа разметки слайда, применение шаблона оформления, цветовых схем и эффектов анимации. Демонстрация слайдов с использованием управляющих кнопок.
Билет № 12 2. Практическое задание Создание мультимедийной презентации ответа на первый вопрос. Выбор типа разметки слайда, применение шаблона оформления, цветовых схем и эффектов анимации. Демонстрация слайдов с использованием управляющих кнопок.
  • docx
  • 17.11.2021
Аватар пользователя
Опубликовано
Обложка для материала Билет № 12 1. Программное обеспечение компьютера, состав и структура. Назначение операционной системы. Командное взаимодействие пользователя с компьютером. Графический пользовательский интерфейс.
Билет № 12 1. Программное обеспечение компьютера, состав и структура. Назначение операционной системы. Командное взаимодействие пользователя с компьютером. Графический пользовательский интерфейс.
  • docx
  • 17.11.2021
Аватар пользователя
Опубликовано
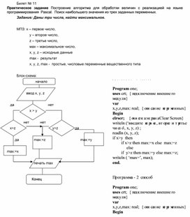
Обложка для материала Билет № 11 Практическое задание Построение алгоритма для обработки величин с реализацией на языке программирования  Pascal.  Поиск наибольшего значения из трех заданных переменных.
Билет № 11 Практическое задание Построение алгоритма для обработки величин с реализацией на языке программирования Pascal. Поиск наибольшего значения из трех заданных переменных.
  • docx
  • 17.11.2021
Аватар пользователя
Опубликовано
Обложка для материала Билет № 11 1. Основные компоненты компьютера, их функциональное назначение и принципы работы. Программный принцип работы компьютера
Билет № 11 1. Основные компоненты компьютера, их функциональное назначение и принципы работы. Программный принцип работы компьютера
  • docx
  • 17.11.2021
Аватар пользователя
Опубликовано
Обложка для материала Билет № 10  Практическое задание Работа с архиваторами winrar, zip. Создание архива папки, разархивирование. Антивирусные программы. Использование и настройка  антивирусных программ.
Билет № 10 Практическое задание Работа с архиваторами winrar, zip. Создание архива папки, разархивирование. Антивирусные программы. Использование и настройка антивирусных программ.
  • docx
  • 17.11.2021
Аватар пользователя
Опубликовано
Обложка для материала Билет № 10 1. Представление о программировании: язык программирования Pascal; примеры несложных программ с линейной, ветвящейся и циклической структурой.
Билет № 10 1. Представление о программировании: язык программирования Pascal; примеры несложных программ с линейной, ветвящейся и циклической структурой.
  • docx
  • 17.11.2021
Аватар пользователя
Опубликовано
Обложка для материала Билет № 9 Практическое задание Форматирование текстового документа. Установка параметров страницы, вставка номеров страниц, колонтитулов, гиперссылок, изменение параметров шрифта и абзаца.
Билет № 9 Практическое задание Форматирование текстового документа. Установка параметров страницы, вставка номеров страниц, колонтитулов, гиперссылок, изменение параметров шрифта и абзаца.
  • docx
  • 17.11.2021
Аватар пользователя
Опубликовано
Обложка для материала Билет № 9 1.	Логические величины, операции, выражения. Логические выражения в качестве условий в ветвящихся и циклических алгоритмах.
Билет № 9 1. Логические величины, операции, выражения. Логические выражения в качестве условий в ветвящихся и циклических алгоритмах.
  • docx
  • 17.11.2021
Аватар пользователя
Опубликовано
Обложка для материала Билет № 8 Практическое задание Поиск информации в Интернете с применением языка запросов. Поисковые системы
Билет № 8 Практическое задание Поиск информации в Интернете с применением языка запросов. Поисковые системы
  • docx
  • 17.11.2021
Аватар пользователя
Предыдущая
Следующая
Показать еще
  • 1
  • 536
  • 537
  • 538
  • 539
  • 540
  • 541
  • 542
  • 1359
© ООО «Знанио»

С вами с 2009 года. Изображение возрастные ограничения 12+

О портале

  • Сведения об организации
  • Пользовательское
    соглашение
  • Политика конфиденциальности
  • Политика персональных данных
  • Проверка документов
  • Обратная связь
  • Рекламодателям
  • Сообщить о нарушении
  • Центр поддержки

Мы в соцсетях

  • Вконтакте
  • Одноклассники
  • Youtube
  • Изображение образовательная лицензия Образовательная лицензия №5257 от 09.09.2020 (Л035-01253-67/00192487)
  • Изображение свидетельство правообладателя товарного знака Свидетельство правообладателя товарного знака 11.01.2017
Мы используем Cookies

Продолжая использовать наш сайт, вы соглашаетесь с политикой использования Cookies. Это файлы в браузере, которые помогают нам сделать ваш опыт взаимодействия с сайтом удобнее.