Билет № 11 Практическое задание Построение алгоритма для обработки величин с реализацией на языке программирования Pascal. Поиск наибольшего значения из трех заданных переменных.

  • docx
  • 17.11.2021
Публикация на сайте для учителей

Публикация педагогических разработок

Бесплатное участие. Свидетельство автора сразу.
Мгновенные 10 документов в портфолио.

Иконка файла материала Л2-001737.docx

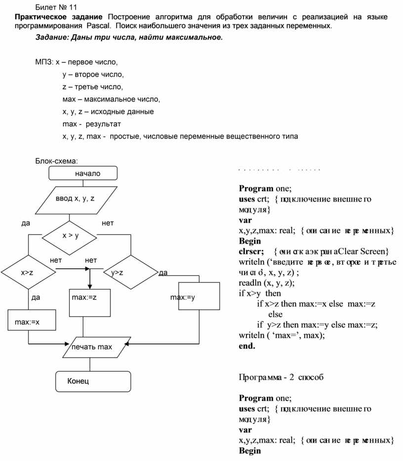
Билет № 11

Практическое задание Построение алгоритма для обработки величин с реализацией на языке программирования  Pascal.  Поиск наибольшего значения из трех заданных переменных.

Задание: Даны три числа, найти максимальное.

 

МПЗ: х – первое число,

у – второе число,

z – третье число,

мах – максимальное число,

x, y, z – исходные данные

max -  результат

x, y, z, max -  простые, числовые переменные вещественного типа

 

Программа - 1 способ

Program one;
uses crt;  {подключение внешнего модуля}
var 
x,y,z,max: real;  {описание переменных}
Begin
clrscr;    {очистка экрана Clear Screen}
writeln (‘введите первое, второе и третье число’, x, y, z) ;
readln (x, y, z);
if x>y  then  
        if x>z then max:=x else  max:=z
             else 
        if  y>z then max:=y else max:=z;
writeln ( ‘max=’, max);
end.


Программа - 2 способ

Program one;
uses crt;  {подключение внешнего модуля}
var 
x,y,z,max: real;  {описание переменных}
Begin
clrscr;    {очистка экрана Clear Screen}
writeln (‘введите первое, второе и третье число’, x, y, z) ;
readln (x, y, z);
if  (x>y) and (x>z)   then max:=x     else
      if  (y>x) and (y>z) then   max:=y else max:=z;
writeln ( ‘max=’, max);
end.

Блок-схема:

      начало

 

ввод x, y, z

 

да                                  нет

x > y

 

       нет           нет

   x>z                                     y>z                 да

                                                

        да               max:=z                                   max:=y                                  

                        

max:=x

 

                           печать max

 

 

                         Конец