Логотип «Знанио»
Логотип «Знанио»
  • Иконка профиля Войти в кабинет
  • Иконка медиатека Медиатека Иконка добавления материала
  • Иконка курсы Курсы
  • Иконка сертификация Сертификация
  • Иконка мероприятия Мероприятия
  • Иконка конкурсы Конкурсы
  • Иконка собрания Собрания
  • Иконка классные часы Классные часы
  • Иконка новости Новости
  • Иконка членства Ваше членство
Логотип «Знанио»
  • Иконка профиля Войти в кабинет
  • Иконка медиатека Медиатека Иконка публикации на сайте
  • Иконка курсы Курсы
  • Иконка сертификация Сертификация
  • Иконка мероприятия Мероприятия
  • Иконка конкурсы Конкурсы
  • Иконка собрания Собрания
  • Иконка классные часы Классные часы
  • Иконка новости Новости
  • Иконка членства Ваше членство
Добавить материал

и получить 10 документов
и свидетельство автора

Аватар пользователя

Хмелев Сергей Геннадьевич

Публикации
Опубликовано
Обложка для материала задачи по алгебре для подогтовки к ОГЭ_логарифмические выражения_10
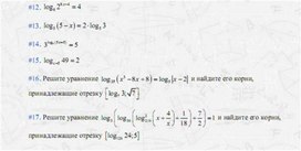
задачи по алгебре для подогтовки к ОГЭ_логарифмические выражения_10
  • docx
  • 28.12.2021
Аватар пользователя
Опубликовано
Обложка для материала задачи по алгебре для подогтовки к ОГЭ_логарифмические выражения_10
задачи по алгебре для подогтовки к ОГЭ_логарифмические выражения_10
  • docx
  • 28.12.2021
Аватар пользователя
Опубликовано
Обложка для материала задачи по алгебре для подогтовки к ОГЭ_логарифмические выражения_7
задачи по алгебре для подогтовки к ОГЭ_логарифмические выражения_7
  • docx
  • 28.12.2021
Аватар пользователя
Опубликовано
Обложка для материала задачи по алгебре для подогтовки к ОГЭ_логарифмические выражения_6
задачи по алгебре для подогтовки к ОГЭ_логарифмические выражения_6
  • docx
  • 28.12.2021
Аватар пользователя
Опубликовано
Обложка для материала задачи по алгебре для подогтовки к ОГЭ_логарифмические выражения_5
задачи по алгебре для подогтовки к ОГЭ_логарифмические выражения_5
  • docx
  • 28.12.2021
Аватар пользователя
Опубликовано
Обложка для материала задачи по алгебре для подогтовки к ОГЭ_логарифмические выражения_4
задачи по алгебре для подогтовки к ОГЭ_логарифмические выражения_4
  • docx
  • 28.12.2021
Аватар пользователя
Опубликовано
Обложка для материала задачи по алгебре для подогтовки к ОГЭ_логарифмические выражения_3
задачи по алгебре для подогтовки к ОГЭ_логарифмические выражения_3
  • docx
  • 28.12.2021
Аватар пользователя
Опубликовано
Обложка для материала задачи по алгебре для подогтовки к ОГЭ_логарифмические выражения_22
задачи по алгебре для подогтовки к ОГЭ_логарифмические выражения_22
  • docx
  • 28.12.2021
Аватар пользователя
Опубликовано
Обложка для материала задачи по алгебре для подогтовки к ОГЭ_логарифмические выражения_1
задачи по алгебре для подогтовки к ОГЭ_логарифмические выражения_1
  • docx
  • 28.12.2021
Аватар пользователя
Опубликовано
Обложка для материала задачи по алгебре для подогтовки к ОГЭ_линейные уравнения
задачи по алгебре для подогтовки к ОГЭ_линейные уравнения
  • docx
  • 28.12.2021
Аватар пользователя
Опубликовано
Обложка для материала задачи по алгебре для подогтовки к ОГЭ_линейные неравенства
задачи по алгебре для подогтовки к ОГЭ_линейные неравенства
  • docx
  • 28.12.2021
Аватар пользователя
Опубликовано
Обложка для материала задачи по алгебре для подогтовки к ОГЭ_квадратные  уравнения17
задачи по алгебре для подогтовки к ОГЭ_квадратные уравнения17
  • docx
  • 28.12.2021
Аватар пользователя
Предыдущая
Следующая
Показать еще
  • 1
  • 209
  • 210
  • 211
  • 212
  • 213
  • 214
  • 215
  • 1394
© ООО «Знанио»

С вами с 2009 года. Изображение возрастные ограничения 12+

О портале

  • Сведения об организации
  • Пользовательское
    соглашение
  • Политика конфиденциальности
  • Политика персональных данных
  • Проверка документов
  • Обратная связь
  • Рекламодателям
  • Сообщить о нарушении
  • Центр поддержки

Мы в соцсетях

  • Вконтакте
  • Одноклассники
  • Youtube
  • Изображение образовательная лицензия Образовательная лицензия №5257 от 09.09.2020 (Л035-01253-67/00192487)
  • Изображение свидетельство правообладателя товарного знака Свидетельство правообладателя товарного знака 11.01.2017
Мы используем Cookies

Продолжая использовать наш сайт, вы соглашаетесь с политикой использования Cookies. Это файлы в браузере, которые помогают нам сделать ваш опыт взаимодействия с сайтом удобнее.