Тест.
Вариант-1
1.В
каком случае совершается работа?
А. Шарик катится по гладкому горизонтальному столу.
Б. Кирпич лежит на столе.
В. Автопогрузчик поднимает груз.
2.Шарик
с некоторой высоты падает на песок и застревает в нем. Какие превращения
энергии здесь происходят?
А. Потенциальная энергия шарика превращается в кинетическую энергию, а
кинетическая – во внутреннюю.
Б. Внутренняя энергия шарика превращается в кинетическую, а кинетическая – в
потенциальную.
В. Кинетическая энергия шарика превращается во внутреннюю энергию.
3.
Какое выражение определяет импульс тела ?
А.
Б.
В.
Г. ![]()
4. Какой механической энергией обладает растянутая или сжатая пружина?
A. Кинетической. Б. Потенциальной. B. Не обладает механической энергией.
5. Какая из перечисленных единиц является единицей работы?
А. Джоуль. Б. Ватт. В. Ньютон. Г. Паскаль. Д. Килограмм.
6.
Какие из перечисленных ниже величин являются векторными величинами?
1. работа 2. энергия 3. масса 4. ускорение
А. Только 1 Б. Только 2 В. 1,2,3 Г. Только 4
Вариант-2
1. В каком из
перечисленных случаев совершается работа?
А. Роса лежит на траве.
Б. Мячик катится по гладкому полу.
В. Спортсмен поднимает штангу.
2. Какие из перечисленных
ниже величин являются векторными величинами?
1. скорость 2. время 3. масса 4. импульс
А. Только 1 Б. Только 2 В. Только 3 Г. 1 и 4
3. Какие превращения
энергии происходят при падении метеорита?
А. Потенциальная энергия метеорита превращается в кинетическую, а
кинетическая – во внутреннюю.
Б. Кинетическая энергия – во внутреннюю.
В. Внутренняя энергия превращается в кинетическую, а кинетическая – в
потенциальную.
4. От чего зависит кинетическая энергия тела?
A. От массы и скорости движения тела.
Б. От скорости движения тела.
В. От высоты над поверхностью Земли и массы тела.
5. Какая из перечисленных единиц является единицей энергии?
А. Джоуль. Б. Ватт. В. Ньютон. Г. Паскаль. Д. Килограмм.
6. С помощью какого выражения можно рассчитать мощность тела?
А. Р = m.g Б. А = F.S B. p = m.υ Г. N = F.υ Д. Е = m.g.h
Ответы: в-1: 1.В 2.А 3. Б 4. А 5. А 6. Г
в-2: 1.2 2.Г 3. А 4. А 5. А 6. Г
I. Решение задач. Парная работа. Взаимопроверка между парами.
1. Два шара, массы которых m1 = 0,5 кг и m2 = 0,2 кг, движутся по гладкой горизонтальной поверхности навстречу друг другу со скоростями υ1 = 1 м/с и υ2 = 4 м/с. Определите их скорость v после центрального абсолютно неупругого столкновения.(0,4 м/с)
2. Компоненты топлива в двигатель ракеты подаются со скоростью υ1 = 200 м/с, а горючий газ выходит из сопла со скоростью υ2 = 500 м/с.(Ответ: 9000 Н)
3. Два шара массами 1 кг и 2 кг движутся навстречу друг другу. Скорость первого шара 2 м/с. После соударения они движутся как одно целое со скоростью 3 м/с.
4. Определить начальную скорость второго шара.(5,5 м/с)
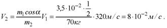
Охотник стреляет с лёгкой надувной лодки. Определите скорость лодки после выстрела, если масса охотника 70 кг, масса дроби 35 г и средняя начальная скорость дробинок равна 320 м/с. Ствол ружья во время выстрела образует с горизонтом угол 60°.

Материалы на данной страницы взяты из открытых источников либо размещены пользователем в соответствии с договором-офертой сайта. Вы можете сообщить о нарушении.