Домашнее задание

  • docx
  • 30.04.2020
Публикация на сайте для учителей

Публикация педагогических разработок

Бесплатное участие. Свидетельство автора сразу.
Мгновенные 10 документов в портфолио.

Иконка файла материала Домашнее задание.docx

Домашнее задание

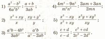
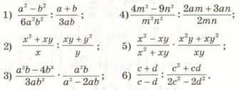
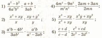
№550 Выполните действия:

 

№553 Выполните действия:

Домашнее задание

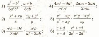
№550 Выполните действия:

 

№553 Выполните действия:

 

Домашнее задание

№550 Выполните действия:

 

№553 Выполните действия:

Домашнее задание

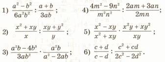
№550 Выполните действия:

 

№553 Выполните действия:

 

Домашнее задание

№550 Выполните действия:

 

№553 Выполните действия:

Домашнее задание

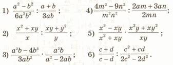
№550 Выполните действия:

 

№553 Выполните действия: