Физика. Векторлардың проекциялары. Есептер шығару. ҚБ жауаптары

  • docx
  • 01.05.2020
Публикация на сайте для учителей

Публикация педагогических разработок

Бесплатное участие. Свидетельство автора сразу.
Мгновенные 10 документов в портфолио.

Иконка файла материала Физика. Векторлардың проекциялары. Есептер шығару. ҚБ жауаптары.docx


Задание 1

Рис.1

Задание 2

a ⃗+b ⃗

a ⃗+b ⃗

a ⃗+b ⃗

a ⃗-b ⃗

a ⃗-b ⃗

a ⃗-b ⃗

Рис.2

Задание 3

a ⃗

d ⃗=a ⃗-b ⃗

b ⃗

k ⃗=b ⃗-a ⃗

b ⃗

b ⃗

a ⃗

c ⃗=a ⃗+b ⃗

a ⃗
Рис.3

 

Задание 4

         

k ⃗+d ⃗+f ⃗

Рис.4                                                                         Рис.5

0 ⃗

 

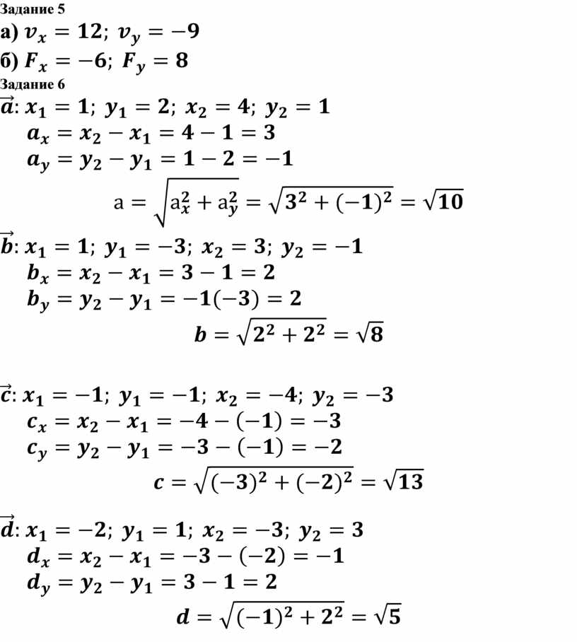
Задание 5

а)

б)

Задание 6

 

 

 


 

Посмотрите также