|
1 вариант |
2 вариант |
||
|
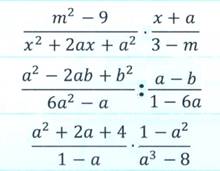
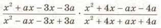
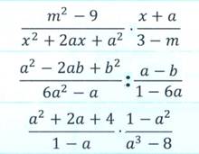
Выполните умножение и деление дробей |
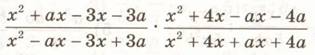
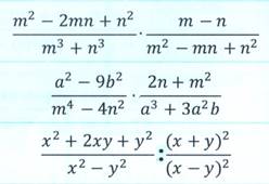
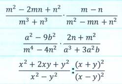
Выполните умножение и деление дробей |
||
|
1 |
|
1 |
|
|
2 |
2 |
||
|
3 |
3 |
||
|
4 |
4 |
||
|
5 |
5 |
||
|
6 |
6 |
||
|
1 вариант |
2 вариант |
||
|
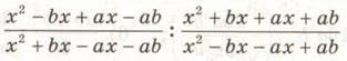
Выполните умножение и деление дробей |
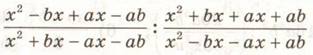
Выполните умножение и деление дробей |
||
|
1 |
|
1 |
|
|
2 |
2 |
||
|
3 |
3 |
||
|
4 |
4 |
||
|
5 |
5 |
||
|
6 |
6 |
||
Материалы на данной страницы взяты из открытых источников либо размещены пользователем в соответствии с договором-офертой сайта. Вы можете сообщить о нарушении.