Урок 24. Объекты алгоритмов
Планируемые образовательные результаты:
предметные
– представление о величинах, с
которыми работают алгоритмы; знание правил записи выражений на
алгоритмическом языке; понимание сущности операции присваивания;
метапредметные – понимание сущности понятия «величина»; понимание
границ применимости величин того или иного типа;
личностные – алгоритмическое мышление, необходимое для
профессиональной деятельности в современном обществе.
Решаемые учебные задачи:
1) ввести понятие величины и еѐ характеристик (имя, тип, значение); рассмотреть особенности величин разных типов;
2) рассмотреть правила записи выражений;
3) рассмотреть сущность операции присваивания;
4) познакомиться с табличными величинами.
Основные понятия, рассматриваемые на уроке:
![]()
алгоритм;
величина;
![]()
константа;
![]()
переменная;
тип;
![]()
имя;
присваивание;
![]()
выражение;
таблица.
Используемые на уроке средства ИКТ:
персональный компьютер (ПК) учителя, мультимедийный
проектор, экран;
ПК учащихся.
Электронные образовательные ресурсы
презентация
«Объекты алгоритмов» из электронного приложения к учебнику;
демонстрация к лекции
«Понятие величины, типы величин» (sc.edu.ru).
Особенности изложения содержания темы урока
При изложении нового материала презентацию можно усилить ресурсом «Понятие величины, типы величин». По ходу изложения нового материала решается множество задач в рабочей тетради или из учебника.
Ответы и решения к заданиям в РТ
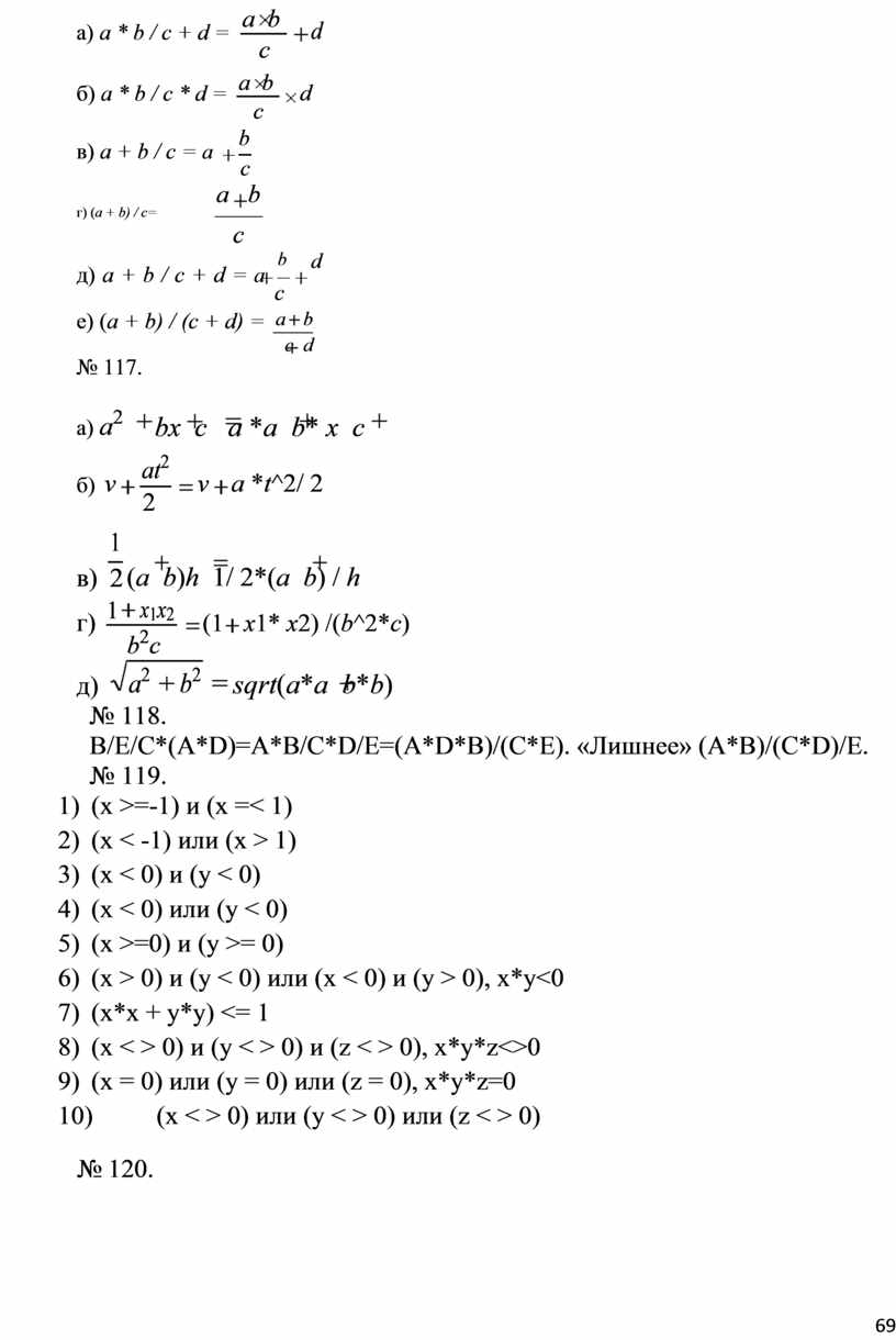
№ 116.
68
|
а) a * b / c + d = |
|
|
a b |
d |
|
||
|
|
|
|
c |
|
|||
|
|
|
|
|
|
|
||
|
б) a * b / c * d = |
|
a b |
d |
|
|||
|
|
|
|
c |
|
|
||
|
|
|
|
|
|
|
||
|
в) a + b / c = a |
|
b |
|
|
|||
|
|
|
|
|
|
|
|
|
|
|
c |
|
|
||||
|
|
|
|
|
||||
![]()
![]()
![]()
![]()
![]()
a b
г) (a + b) / c=
c
д) a + b / c + d = a е) (a + b) / (c + d) = № 117.
![]()
b d
c
![]()
![]()
a b c d
![]()
![]()
![]()
|
а) a2 |
bx c a *a b* x c |
|
||||||||||
|
б) |
v |
|
at2 |
|
v |
a *t^2/ 2 |
|
|||||
|
2 |
|
|
||||||||||
|
|
|
|
|
|
|
|
|
|
|
|||
|
в) |
1 |
|
(a b)h 1/ 2*(a b) / h |
|
||||||||
|
|
|
|
|
|
||||||||
|
2 |
|
|||||||||||
|
г) |
1 |
|
|
x1x2 |
(1 |
x1* x2) /(b^2*c) |
|
|||||
|
|
|
|
|
b2c |
|
|||||||
|
|
|
|
|
|
|
|
|
|
||||
|
д) |
|
|
|
|
a2 |
|
|
b2 |
sqrt(a*a b*b) |
|
||
![]()
![]()
![]()
![]()
![]()
![]()
![]()
![]()
![]()
№ 118.
B/E/C*(A*D)=A*B/C*D/E=(A*D*B)/(C*E). «Лишнее» (A*B)/(C*D)/E.
№ 119.
1) (x >=-1) и (x =< 1)
2) (x < -1) или (x > 1)
3) (x < 0) и (y < 0)
4) (x < 0) или (y < 0)
5) (x >=0) и (y >= 0)
6) (x > 0) и (y < 0) или (x < 0) и (y > 0), x*y<0
7) (x*x + y*y) <= 1
8) (x < > 0) и (y < > 0) и (z < > 0), x*y*z<>0
9) (x = 0) или (y = 0) или (z = 0), x*y*z=0
10) (x < > 0) или (y < > 0) или (z < > 0)
№ 120.
69

а) б)

в) г)
№ 121. а) t := x >= 0
б) t := (x = y) или (y = z) или (x = z)
в) t := b*b – 4*a*c < 0
Ответы и решения к заданиям в учебнике.
№5. а) 36,5 и 50; б) 100 и 500; в) 547030 и -50; г) суббота и январь.
№7. Только А:=В.
№8. Возможный вариант:
А:=А-В
В:=В+А
А:=В-А
№9. Тип переменных не указан. Следовательно, он не обязательно числовой. Потребуется 1 промежуточная переменная:
М:=А
А:=В
В:=С
С:=М
№10. Значение переменной y не изменялось; следовательно, оно было и осталось равным 5. Прибавив к значению переменной x пять мы получили 3: x+5=3, x=-2. Ответ: -2, 5.
№ 16. а) (x>=0) и (x<=2) и (y>=0) и (y<=1); б) (x*x+y*y<=4) и (x*x+y*y>=1).
№ 17. а) t := x > 0
б) t := x*y*z=0
в) t := (x = y) и (y = z)
в) t := b*b – 4*a*c = 0
70
№ 18. Список учеников класса, рост учеников класса, оценки учеников за контрольную работу по информатике, длины сторон нескольких треугольников, названия дней недели, названия дней месяца, имена девочек, периметры нескольких прямоугольников, самые жаркие дни лета.
Домашнее задание. §3.3; вопросы и задания 1–18 к параграфу.
Материалы на данной страницы взяты из открытых источников либо размещены пользователем в соответствии с договором-офертой сайта. Вы можете сообщить о нарушении.