Приложение 2
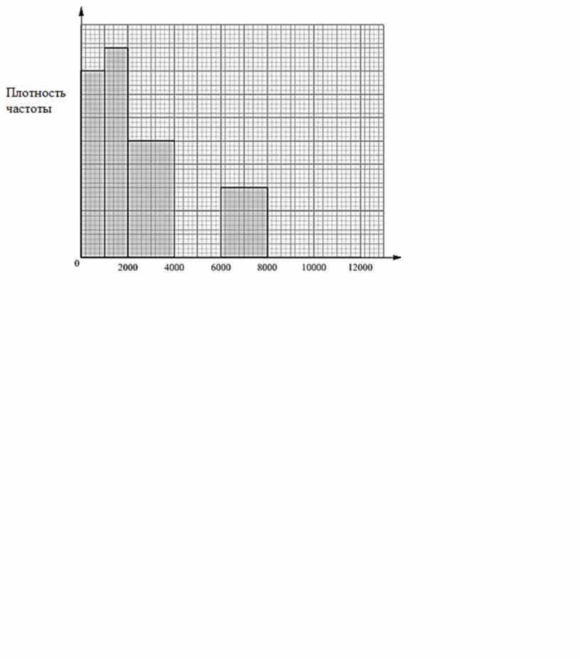
Пример 1. На гистограмме показана информация о количестве проданных книг в определенном магазине в субботний день:

Заполните таблицу, используя гистограмму:
|
Стоимость (в тысячах тенге) |
Частота |
|
0 < P |
|
|
5 < P |
|
|
10 < P |
|
|
20 < P |
|
Пример 2.
Частично заполненная таблица и частично построенная гистограмма показывают вес различных машин.
а) Используя информацию, данную на гистограмме, дополните таблицу.
|
Вес (w) кг |
Частота |
|
|
16 |
|
|
|
|
|
|
|
|
14 |
|
|
|
|
|
4 |
b) Используя информацию в таблице, достройте гистограмму.

Материалы на данной страницы взяты из открытых источников либо размещены пользователем в соответствии с договором-офертой сайта. Вы можете сообщить о нарушении.