ГЕОМЕТРИЯ
Четырехугольники
Длина
средней линии трапеции: ![]()
Площадь трапеции:

Площадь параллелограмма через сторону и высоту опущенную на неё:
![]()
Площадь параллелограмма через две стороны и угол между ними:
![]()
Площадь квадрата через длину его стороны:
![]()
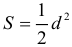
Площадь
квадрата через длину его диагонали: ![]()
Площадь ромба (первая формула - через две диагонали, вторая - через длину стороны и угол между сторонами):
![]()
Площадь
прямоугольника через две смежные стороны: ![]()
Площадь произвольного выпуклого четырёхугольника через две диагонали и угол между ними:
![]()
Связь площади произвольной фигуры, её полупериметра и радиуса вписанной окружности (очевидно, что формула выполняется только для фигур в которые можно вписать окружность, т.е. в том числе для любых треугольников):

Скачано с www.znanio.ru
Материалы на данной страницы взяты из открытых источников либо размещены пользователем в соответствии с договором-офертой сайта. Вы можете сообщить о нарушении.