Күн жүйесіндегі ғаламшарлардың қозғалыс заңдары (1)

  • docx
  • 01.05.2020
Публикация на сайте для учителей

Публикация педагогических разработок

Бесплатное участие. Свидетельство автора сразу.
Мгновенные 10 документов в портфолио.

Иконка файла материала Күн жүйесіндегі ғаламшарлардың қозғалыс заңдары (1).docx

Ұзақ мерзімді жоспар бөлімі:

9.1ВАстрономиянегіздері

Мектеп:

 

Күні:

Мұғалімнің аты –жөні:

Сынып:

Қатысқандар саны:

 

Қатыспағандар саны:

Сабақ тақырыбы

Күн жүйесіндегі ғаламшарлардың қозғалыс заңдары

Осы сабақта қол жеткізілетін оқу мақсаттары (оқу бағдарламасына сілтеме)

9.7.2.7 Кеплер заңдарының негізінде аспан денелерінің қозғалысын түсіндіру

Сабақ мақсаттары

Кеплер заңдарының тұжырымдамасы және формулаларын қолдану

Жетістік критерийлері

·         Әрбір ғаламшардың Күннің орналасқан жерінен орбитасы эллипс бойынша қозғалады

·         Ғаламшарлар өздерінің орбиталарында айнымалы жылдамдықпен Күннің орталығынан уақыт аралығына планетаға дейінгі радиусы-векторы сипаттайтын аудандармен бірдей болады

·          Ғаламшарлардың кезеңдерінде квадраттарының арақатынасы олардың негізгі жарым-жартылай текшелерінің қатынасына тікелей пропорционалды.

·         Гравитациялық тартылыс күші өзара әрекеттесетін дененің массасының өніміне тікелей пропорционалды және олардың арасындағы қашықтыққа кері пропорционалды

Күтілетін нәтиже

Кеплер заңдарын біледі;

Кеплер заңдарын есеп шығаруда қолдана алады;

·         Қашықтықтықты анықтаудың тәсілдерін біледі.

Тілдік мақсаттар

Оқушылар өздерінің түсініктерін көрсететін жаңа сөздерді пайдаланулары керек. Олар терминдерді түсіну және қолдану керек.

Пәндік лексика мен терминология:

Қазақша

Орысша

Ағылшынша

Ғаламшар

Планета

Planet

Кеплердің І заңы

І закон Кеплера

Kepler's  first Law

Кеплердің ІІ заңы

ІІ закон Кеплера

Kepler's  second Law

Кеплердің ІІІ заңы

ІІІ закон Кеплера

Kepler's  third Law

Эллипс

Эллипс

ellipse

Орбита

Орбита

Orbit

Қозғалыс

Движение

Motion

Диалогқа/жазуға қажетті сөз тіркестері

Кеплердің І – ші заңы .........

Кеплердің ІІ – ші заңы .........

Кеплердің ІІІ – ші заңы ..........

Құндылықтарды дарыту

-  Оқушылар оқу үдерісінде нақтылыққа, сын тұрғысынан ойлауғаүйрету.Ойды, пәндік білім мен дағдыларды құру мен дамытуға ғана емес, сонымен қатар әлеуметтік және жеке бастың маңызды тапсырмалары контексінде ғылыми мәселелерді ойлауға қабілетті ақпараттандырылған және сындарлы ойлай білетін азаматтар  тәрбиелеу.

Пәнаралықбайланыстар

Интерактивті тақтамен жұмыс жасау кезінде информатикамен байланыс орнатылады. Қозғалыс жүру бағытын түсіндіруде математика пәнімен байланысады.

АКТ қолдану дағдылары

Бейне материалдарды АКТ көмегімен көрсету, презентация

Бастапқы білім

Күн жүйесі

Сабақ барысы

Сабақтың жоспарланған кезеңдері

Сабақтағыжоспарланғаніс-әрекет

 

Ресурстар

Сабақтың басы

15 мин

 

 

 

 

 

 

 

 

 

 

 

 

 

Ұйымдастыру

·         Сәлемдесу

·         Сынып оқушыларына жағымды ахуал туғызу

·         Түгелдеу

Оқушыларға «Ой қозғау» түрткі сұрақтар қою арқылы алдыңғы алған білімдерімен байланыстыра отырып жаңа тақырыпты ашатындай әрекеттер жасау. Мысалы,

 

Орбита дегеніміз не?

Ғаламшардың массасы мен ауырлық күші ғаламшардың орбитасына қалай әсер етеді?

Оқушылардың жауабы тыңдалып болған соңжауап видео көмегімен көрсетіледі.

 

 

 

 

 

 

 

 

 

 

 

 

 

 

 

 

W: Сабақтың тақырыбын және мақсатын хабарлау

Геоцентрлік және гелиоцентрлік жүйелердің бір – бірінен айырмашылығы қандай?

 

 

 

 

 

 

 

 

 

 

 

https://twig-bilim.kz/kz/film/what-is-an-orbit

 

 

Сабақтың ортасы

 

20 мин

 

 

 

 

 

 

 

 

 

 

 

 

 

 

 

 

 

 

 

 

 

 

 

 

 

 

 

 

 

 

 

 

 

 

 

 

 

 

 

 

 

 

 

 

 

 

 

 

 

 

 

 

 

 

 

 

 

 

 

 

 

 

 

 

 

 

 

 

 

 

 

 

 

 

 

 

 

 

 

 

 

 

 

 

 

 

 

 

 

 

 

 

 

Мұғалім әрекеті:

Кеплер заңдары

Поляк ғалымы Николай Кперник (1473-1543ж.ж) өзінің Күн жүйесінің гелиоцентрлік моделін (үлгісін) жасаған кезде өте ертеде қалыптасқан планеталардың шеңбер бойымен тұрақты жылдамдықпен қозғалады деген қағидасын сақтап қалды.

Тек XVII ғасырдың басында ғана аспан денелерінің орбиталары шын мәнінде шеңберден өзгеше екені анықталды. Бұл маңызды жаңалықты неміс астрономы Иоганн Кеплер(1571-1630 жж) ашты. И.Кеплер планеталардың Н.Коперник іліміне сәйкес алдын ала есептелеген орындары мен бақылау кезіндегі анықталған орындарының бір-бірінен айырмашылығы бар екенін байқаған болатын. Демек планеталардың Күнді айнала қозғалу траекторялары шеңбер бойымен болады деген көзқарастан бас тарту қажет болды. Планеталардың гелиоцентрлік орбиталарының түрін (пішімін) анықтау үшін ол Дания астрономы Тихо Брагеннің(1546-1601 жж) өте мұқият жасаған Марс қозғалысына қатысты бақылау жұмыстарының нәтижелерін пайдаланды. Оның көп жылғы жұмысының нәтижесі – 1609-1619 жылдары планеталар қозғалысының үш негізгі заңын ашуы болды. БұлзаңдароныңесіміменКеплерзаңдарыдепаталады.

 

 

Кеплер заңдарын тұжырымдаңдар

I.Кеплердің бірінші заңы — планета орбитасының пішінін анықтайды: Барлық планеталар Күнді эллипс бойымен айналады, оның фокустарының бірінде Күн орналасады.

Эллипстің симметриялы центрі – О, үлкен АА1=2а және ВВ1=2в екі симметрия осі бар, мұндағы а – үлкен жарты ось, в – кіші жарты ось деп аталады.

Оның екі фокусы центрден OF1=OF2=c=a2-b2 қашықтықта орналасқан эллипстің негізгі қасиеті: эллипстің кез келген нүктесінің фокустардан қашықтықтарының қосындысы үлкен ось ұзындығына тең болатын тұрақты шама:

MF1+MF2=2a

e=c/a қатынасы эллипстің эксцентриситеті деп аталады. Ол эллипстің сопақтық дәрежесін көрсетеді: е неғұрлым үлкен болса, эллипстің шеңберден айырмашылығы да соғұрлым көп болады. Егер с=0 болса (эллипстің фокустары центрімен беттеседі), онда е=0, яғни эллипс радиусы а болатын шеңберге айналады. Шолпан мен Жер орбиталарының пішіндері шеңберге өте жақын (Шолпан орбитасының эксцентиситеті — 0,0068, Жердікі – 0,0167). Өзге планеталардың көпшілігінің орбиталары әлдеқайда созылыңқы болып келеді. Орбитаның Күнге ең жақын нүктесін перигелий (грекше peri-таяу,  helios- Күн деген сөздерінен), оның ең алыс нүктесі афелий  (грекше apo- алыс деген мағынаны білдіреді) деп аталады. Эллипстің үлкен а жарты осі планетаның Күннен орташа қашықтығына пара- пар. Астрономияда Жердің Күннен орташа қашықтығы Күн жүйесінде қолданылатын қашықтық өлшеу бірлігі ретінде қабылданған.

Оластрономиялықбірлік (а.б.) депаталады:

1а.б.=149 600 000 км.

ЖердіңтабиғисерігіАйдыңжәнекезкелгенжасандысеріктердіңЖергееңтаяукелетіннүктесі перигей (грекше Гея- жер), ал еңалыснүктесі апогей депаталады.

 

II. Кеплердің  екінші заңы- аудандар заңы планета қозғалыстарының бірқалыпты емес екендігін анықтайды: планетаның радиус-векторы бірдей уақыт аралығында шамалары бірдей аудандар сызып шығады. Планеталар ең үлкен жылдамдықпен перигелийде, ал ең кіші жылдамдықпен афелий де қозғалады.

III. Кеплердің үшінші заңы- планеталардың орбиталық периодтары мен олардан Күнге дейінгі қашықтық арасындағы байланысты анықтайды: кез келген планетаның Күнді айналу периодтары жартыосьтерінің  қатынасына тең болады. Екі планетаның үлкен жартыосіне  а1 және а2 деп, ал айналу периодтары Т1 және Т2 деп белгілейтін болсақ, онда Кеплердің үшінші заңын мына түрде жазуға болады

Кеплер заңдарының қолданылуы

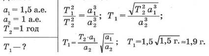
Марс орбитасының негізгі осі 1,5 а.б. Күннің айналасындағы  қозғалыс уақытының периодын есептеңіз.

image11

 

Алған білімдерін жинақтау мақсатында жаттығу есептерін шығару

reshenie-zadach-po-teme-zakony-keplera-zakon-vsemironogo-tyagoteniya.pdf

 

 

 

 

 

 

 

 

Презентация

 

 

 

 

 

 

 

 

 

 

 

 

 

 

 

 

 

 

 

 

 

 

 

 

 

 

 

 

 

 

 

 

 

 

 

 

 

 

 

 

 

 

 

 

 

 

 

 

 

 

 

 

 

 

 

 

 

 

 

 

 

 

 

 

 

 

 

 

 

 

 

 

 

 

 

 

 

 

 

 

 

Оқу мақсатына жетуге арналған тапсырмалар

Сабақтың соңы

5 мин

 

 

 

Сабақ соңында бекіту сұрағы арқылы қорытындылау.
Кеплер тағайындаған планеталардың қозғалыс заңдарын 

Тұжырымдаңдар.

 

Үй тапсырмасы:  сұрақтарға жауап жазып келу

Кеплер заңдарына мысал келтір?

Кеплер заңдарыбарлықпланеталарүшінбірдейма?

Кеплер заңдарынастрономиядақолданудыңмаңызынеде?

 

 

Оқушылар хабарламасы

 

 

«Физика 

10 сынып»

Саралау – оқушыларға қалай  көбірек қолдау көрсетуді  жоспарлайсыз? Қабілеті жоғары оқушыларға қандайміндетқоюдыжоспарлапотырсыз?

Бағалау – оқушылардың материалды меңгеру деңгейін қалай тексеруді жоспарлайсыз?

Денсаулық және қауіпсіздік техникасының сақталуы

Барлық оқушылар:

Кеплер заңдары тұжырымдай алады

Оқушылардың көпшілігі:

Оқу мақсатына байланысты тапсырмалар орындайды

Кейбір оқушылар:

Өзіндік жұмыс қосымша есептердегі тапсырмаларын орындайды

-сұрақ-жауап арқылы бағалау;

 

-сабақ барысында қолдау, қолпаштау көрсету

 

-өзара бағалау.

 - есептер шығару

Интерактивті тақтаны сабақ барысында қолдану уақытын 10 минуттан асырмау

Көз жаттығуларын орындау:

 

 

http://img1.liveinternet.ru/images/attach/c/8/100/983/100983163_A9JeQ5n0TY0.jpg

Кабинетті желдету

Кабинетте приборлармен жұмыс жасау барысында қауіпсіздік ережесін сақтау (су қолмен жұмыс жасамау, жарық көздерін уақытында өшіру)

Сабақ бойынша рефлексия

Сабақ мақсаттары/оқу мақсаттары дұрыс қойылған ба?

 Оқушылардың барлығы ОМ қол жеткізді ме?

Жеткізбесе, неліктен?

Сабақта саралау дұрыс жүргізілді ме?

Сабақтың уақыттық кезеңдері сақталды ма?

Сабақ жоспарынан қандай ауытқулар болды, неліктен?

 

 

 

 

 

Жалпы баға

 

Сабақтың жақсы өткен екі аспектісі (оқыту туралы да, оқу туралы да ойланыңыз)?

1:

2:

Сабақтыжақсартуға не ықпалетеалады (оқытутуралы да, оқутуралы да ойланыңыз)?

1:

2:

Сабақбарысындасыныптуралынемесежекелегеноқушылардыңжетістік/қиындықтарытуралыненібілдім, келесісабақтарда неге көңілбөлуқажет?

 

 

 

 

 

 

 

 

 

 

 

 

 

 

 

 

 

 

 

 

 

 

 

 

 

 

 

 

 

 

 

 


 

Скачано с www.znanio.ru