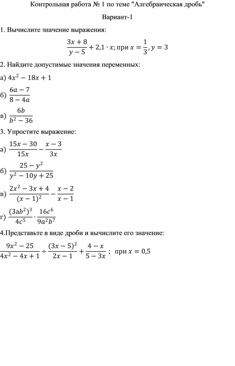
Контрольная работа № 1 по теме "Алгебраическая дробь"
Вариант-1
1. Вычислите значение выражения:
![]()
2. Найдите допустимые значения переменных:
![]()
![]()
![]()
3. Упростите выражение:
![]()


![]()
4.Представьте в виде дроби и вычислите его значение:
![]()
Контрольная работа № 1 по теме "Алгебраическая дробь"
Вариант-2
1. Вычислите значение выражения:
![]()
2. Найдите допустимые значения переменных:
![]()
![]()
![]()
3. Упростите выражение:
![]()
![]()
![]()

4.Представьте в виде дроби и вычислите его значение:
![]()
Материалы на данной страницы взяты из открытых источников либо размещены пользователем в соответствии с договором-офертой сайта. Вы можете сообщить о нарушении.