Контрольная работа № 1 по теме "Решение треугольников".
Вариант 3о.
1. Найдите
, если
, 90о
180о.
|
Образец |
|
Найдите
Решение: Воспользуемся основным тригонометрическим тождеством: sin2 выразим sin Подставим данное значение в полученную формулу и вычислим. sin Так
как 90о Ответ:
sin |
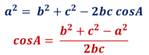
2. Найдите радиус описанной окружности около треугольника со сторонами 6 см, 5 см, 7см.
|
Примечание: |
|
Для решения задачи: 1) используй теорему косинусов, чтобы найти один из углов
2) примени замечание к теореме синусов, чтобы найти радиус
|
![]()
Выполни решение по следующему плану и допиши недостающие фрагменты решения.

Материалы на данной страницы взяты из открытых источников либо размещены пользователем в соответствии с договором-офертой сайта. Вы можете сообщить о нарушении.