Контрольная работа.
Вариант 1.
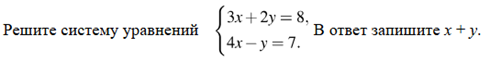
№1.

№2. В таблице даны размеры (с точностью до мм) четырёх листов, имеющих форматы А0, А1, А3 и А4.

Установите соответствие между форматами и номерами листов. Заполните таблицу, в бланк ответов перенесите последовательность четырёх цифр, соответствующих номерам листов, без пробелов, запятых и дополнительных символов.

№3. Найдите диаметр колеса автомобиля, выходящего с завода. Ответ дайте в миллиметрах. 185/60 R14.
№4. Сколько листов формата А4 получится из одного листа формата А0?
№5. Найдите корень уравнения −5 + 2𝑥 = −2𝑥 − 3.
№6. Решите уравнение 𝑥2 − 10𝑥 + 24 = 0 Если уравнение имеет более одного корня в ответ запишите меньший из корней.
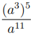
№7.

№8.
Найдите
значение выражения
при 𝑎 = 3.
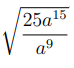
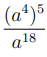
№9.
Найдите
значение выражения
при 𝑎 = 5.
Контрольная работа.
Вариант 2.
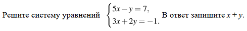
№1.

№2. В таблице даны размеры (с точностью до мм) четырёх листов,
имеющих форматы А2, А3, А5 и А6. 
Установите соответствие между форматами и номерами листов. Заполните таблицу, в бланк ответов перенесите последовательность четырёх цифр, соответствующих номерам листов, без пробелов, запятых и дополнительных символов.

№3. Найдите диаметр колеса автомобиля, выходящего с завода. Ответ дайте в миллиметрах. 165/70 R13.
№4. Сколько листов формата А4 получится из одного листа формата А1?
№5. Найдите корень уравнения 2 + 3𝑥 = −7𝑥 − 5.
№6. Решите уравнение 𝑥 2 − 11𝑥 + 30 = 0 Если уравнение имеет более одного корня в ответ запишите меньший из корней.
№7. 
№8.
Найдите
значение выражения
при 𝑎 = 3.
№9.
Найдите
значение выражения
при 𝑎 = 2.
Контрольная работа.
Вариант 3.
№1.

№2.
В таблице даны размеры (с точностью до мм) четырёх листов, имеющих форматы А1, А2, А3 и А4.

Установите соответствие между форматами и номерами листов. Заполните таблицу, в бланк ответов перенесите последовательность четырёх цифр, соответствующих номерам листов, без пробелов, запятых и дополнительных символов.
![]()
№3. Найдите диаметр колеса автомобиля, выходящего с завода. Ответ дайте в миллиметрах. 215/65 R16.
№4. Сколько листов формата А6 получится из одного листа формата А1?
№5. Найдите корень уравнения 7 + 8𝑥 = −2𝑥 − 5.
№6. Решите уравнение 𝑥2 − 12𝑥 + 20 = 0. Если уравнение имеет более одного корня, в ответ запишите больший из корней.
№7. 
№8.
Найдите
значение выражения
при 𝑎 = 3.
№9.
Найдите
значение выражения
при 𝑎 = 5.
Контрольная работа.
Вариант 4.
№1.

№2.
В таблице даны размеры (с точностью до мм) четырёх листов, имеющих форматы А3, А4, А5 и А6.

Установите соответствие между форматами и номерами листов. Заполните таблицу, в бланк ответов перенесите последовательность четырёх цифр, соответствующих номерам листов, без пробелов, запятых и дополнительных символов.
![]()
№3. Найдите диаметр колеса автомобиля, выходящего с завода. Ответ дайте в миллиметрах. 205/55 R16.
№4. Сколько листов формата А5 получится из одного листа формата А1?
№5. Найдите корень уравнения 1 − 10𝑥 = 5𝑥 + 10.
№6. Решите уравнение 𝑥2 − 11𝑥 + 18 = 0. Если уравнение имеет более одного корня, в ответ запишите больший из корней.
№7. 
№8.
Найдите
значение выражения
при 𝑎 = 5.
№9.
Найдите
значение выражения
при 𝑎 = 2.
Ответы.
|
|
1 |
2 |
3 |
4 |
5 |
6 |
7 |
8 |
9 |
|
1 |
205 |
3421 |
577,6 |
16 |
0,5 |
4 |
5 |
27 |
20 |
|
2 |
185 |
2413 |
561,2 |
8 |
-0,7 |
5 |
3 |
81 |
24 |
|
3 |
235 |
1324 |
685,9 |
32 |
-1,2 |
10 |
-1 |
9 |
50 |
|
4 |
215 |
3421 |
631,9 |
16 |
-0,6 |
9 |
5 |
25 |
40 |
Материалы на данной страницы взяты из открытых источников либо размещены пользователем в соответствии с договором-офертой сайта. Вы можете сообщить о нарушении.