материал по информатике

  • docx
  • 26.10.2021
Публикация на сайте для учителей

Публикация педагогических разработок

Бесплатное участие. Свидетельство автора сразу.
Мгновенные 10 документов в портфолио.

Иконка файла материала Задачи по программированию Series 27.docx

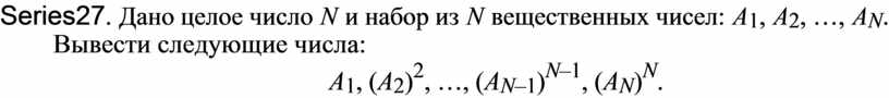
Series27. Дано целое число N и набор из N вещественных чисел: A1, A2, …, AN.

Вывести следующие числа:

 

A1, (A2)2, …, (AN–1)N–1, (AN)N.


 

Посмотрите также