Методические указания и контрольные задания ОП.02 Техническая механика

  • Контроль знаний
  • pdf
  • 01.04.2025
Публикация на сайте для учителей

Публикация педагогических разработок

Бесплатное участие. Свидетельство автора сразу.
Мгновенные 10 документов в портфолио.

23.02.07 Техническое обслуживание и ремонт двигателей, систем и агрегатов автомобилей, для домашней контрольной работы для заочного обучения
Иконка файла материала 23.02.07_ЗО_ОП.02_ДКР_2021.pdf

МИНИСТЕРСТВО ОБЩЕГО И ПРОФЕССИОНАЛЬНОГО ОБРАЗОВАНИЯ РОСТОВСКОЙ ОБЛАСТИ

ГОСУДАРСТВЕННОЕ БЮДЖЕТНОЕ ПРОФЕССИОНАЛЬНОЕ ОБРАЗОВАТЕЛЬНОЕ УЧРЕЖДЕНИЕ РОСТОВСКОЙ ОБЛАСТИ «КАМЕНСКИЙ ТЕХНИКУМ СТРОИТЕЛЬСТВА И АВТОСЕРВИСА»

 

 

 

 

 

 

 

 

 

МЕТОДИЧЕСКИЕ УКАЗАНИЯ И КОНТРОЛЬНЫЕ ЗАДАНИЯ

для студентов-заочников 

ОП.02 Техническая механика

 

по специальности 23.02.07 Техническое обслуживание и ремонт двигателей, систем и агрегатов автомобилей

 

 

 

 

 

 

 

 

 

 

 

 

 

 

 

 

 

 

 

 

 

 

 

2021

  

СОГЛАСОВАНО                                                                                                                        УТВЕРЖДАЮ

Председатель ЦК группа «Техника и технологии                                                                    Замдиректора по учебной работе

наземного транспорта»                                                                                                                      ГБПОУ РО «КТСиА»

 _____________________Билан Ю.В.                     __________А.С. Золотарев  Протокол №___ от «___»_____20__г.                                     «__» ______20___г.

              

              

 

 

 

 

 

Методические указания  составлены  в  соответствии с рабочей программой по дисциплине ОП.02 Техническая механика по специальности 23.02.07 Техническое обслуживание и ремонт двигателей, систем и агрегатов автомобилей

 

Разработчик: Билан Юлия Викторовна, преподаватель высшей  квалификационной категории  государственного бюджетного профессионального образовательного учреждения   Ростовской области «Каменский техникум строительства и автосервиса».

 

 

   

СОДЕРЖАНИЕ

 

Введение ……………………………………………………………….…….4 1 Организация, содержание и проведение контрольной работы...................... 5

2 Задания контрольной работы................................................................... 12

3 Рекомендуемая литература для изучения................................................. 12

4 Критерии оценивания домашней контрольной работы............................ 12

Приложение 1 Краткий теоретический материал и примеры выполнения заданий ....................................................................................................... 14

Приложение  2 Пример оформления титульного листа.............................. 25

 

            

ВВЕДЕНИЕ

ОП.02 Техническая механика входит  общепрофессиональный цикл дисциплин, являющийся частью программы подготовки специалистов среднего звена  (ППССЗ) в соответствии с ФГОС СПО по специальности 23.02.07 Техническое обслуживание и ремонт двигателей, систем и агрегатов автомобилей.

ОП.02 Техническая механика обеспечивает формирование знаний, умений и компетенций, в соответствии с ФГОС по специальности 23.02.07 Техническое обслуживание и ремонт двигателей, систем и агрегатов автомобилей:

Код компетенции

Умения

Знания

 

ОК 1,3,6,9

ПК 1.3,

ПК 3.3

 

 

 

производить расчеты на прочность при растяжении и сжатии, срезе и смятии, кручении и изгибе; выбирать рациональные формы поперечных сечений;

производить расчеты зубчатых и червячных передач, передачи «винт-гайка», шпоночных соединений на контактную прочность;

 производить проектировочный и проверочный расчеты валов; производить подбор и расчет подшипников качения

Определять реакции в плоской системе сходящихся сил. Определять реакции в  системе произвольно расположенных сил.

Определять условия равновесия. Рассчитывать основные параметры универсального съемника

 

основные понятия и аксиомы теоретической механики; условия равновесия системы сходящихся сил и системы произвольно расположенных сил; методики решения задач по теоретической механике, сопротивлению материалов; методику проведения прочностных расчетов деталей машин; основы конструирования деталей и сборочных единиц

Испытание материалов на растяжение и сжатие. Категории стержней в зависимости от гибкости. Динамическое напряжение, динамический коэффициент. Усталостное разрушение, его причины и характер в деталях и узлах автомобиля. Основные задачи научно-технического прогресса в машиностроении. Основные требования к деталям и узлам машин. Понятия работоспособности, технологичности, экономичности.  

Прочность. Методы повышения прочности.

Жесткость                деталей               машин.

Теплоустойчивость и виброустойчивость деталей машин. Конструктивные и технологические способы повышения износостойкости сопряжений.

Теплоустойчивость и  виброустойчивость деталей машин

 

Техническая механика играет важную роль в подготовке специалистов любой специальности, так как является научной базой современной техники. На основании принципов и теорем теоретической механики решаются насущные инженерные задачи, осуществляется проектирование сооружений и конструкций. Ее изучение необходимо для правильного понимания принципов расчета, конструирования машин и систем. Занятия по этому курсу обязательно должны сопровождаться решением задач, так как только при самостоятельном выполнении расчетов можно выработать необходимые навыки анализа расчетных схем элементов машин, зданий и сооружений. В задачах, предлагаемых обучающимся для самостоятельного решения рассматриваются типовые расчеты элементов инженерных сооружений, машин и механизмов. 

Цель самостоятельной работы - привить основные навыки в решении простейших, но вместе с тем и важнейших, технических задач инженерной техники. Курс технической механики включает три раздела: теоретическую механику, сопротивление материалов, детали машин.

Изучение курса теоретической механики обычно начинается со статики.

Решение задач статики сводится к определению реакций опор, с помощью которых крепятся балки, жесткие рамы, всевозможные конструкции. Определение модулей и направлений сил реакций связей (опор) имеет первостепенное практическое значение, так как, зная реакции, будем знать и силы давления на связь. А это, в свою очередь, позволит, пользуясь законами сопротивления материалов, рассчитать прочность конструкции или сооружения.

Рекомендации и общие требования к выполнению самостоятельной работы

Прежде чем приступить к выполнению индивидуального задания, следует изучить соответствующий теоретический материал по учебнику или конспекту лекций и подробно разобрать приведенные там примеры; разобрать задачи, рассмотренные на практических занятиях.

Приступая к решению задания, надо разобраться в условии задачи и рисунке.

Чертежи, схемы следует выполнять при помощи чертежных принадлежностей.

Все параметры, необходимые для расчета: векторы, оси координат, углы, размеры должны быть изображены на рисунке.

Решение задачи должно сопровождаться краткими пояснениями.

1. Организация, содержание и проведение контрольной работы

Контрольная работа  по ОП.02 Техническая механика  является домашней контрольной работой, выполняется за счёт часов, отведённых на самостоятельную работу обучающихся и предназначена для закрепления и углубления знаний.

Содержание контрольной работы охватывает учебный материал рабочей программы, изученный к моменту её написания.

Домашнюю контрольную работу обучающиеся выполняют самостоятельно в соответствии с данными методическими указаниями, пользуясь консультациями преподавателя и рекомендуемыми источниками информации. 

Контрольная работа включает в себя 3 задания.

Вариант для выполнения домашней контрольной работы определяется в соответствии с последней цифрой номера зачетной книжки.

Контрольная работа выполняется в тетради или в печатной форме компьютерного набора.

 

 

 

 

 

 

 

 

 

 

 

 

 

 

 

2   Задания контрольной работы 

Вариант №1

          a = 2 м, m = 50кНхМ, F1=100 кН,

F2=200 кН

 

Построить эпюры поперечных сил и изгибающих моментов

а=2 м, q=50кН/м, m=100кНхМ,

F=200 к

Н

Построить эпюры поперечных сил и изгибающих моментов

 

Построить эпюры поперечных сил и изгибающих моментов

Вариант №2

a = 2 м, m = 50кНхМ, F1=100 кН,

F2=200 кН

 

 

Построить эпюры поперечных сил и изгибающих моментов

a=2 м, q=50 кн/м, F=100 кН, m= 200 кНхМ

 

Построить эпюры поперечных сил и изгибающих моментов

 

Построить эпюры поперечных сил и изгибающих моментов

 

Вариант №3

a = 2 м, m = 50кНхМ, F1=100 кН,

F2=200 кН

 

 

Построить эпюры поперечных сил и изгибающих моментов

a=2 м, q=50 кн/м, F=100 кН, m= 200 кНхМ

 

Построить эпюры поперечных сил и изгибающих моментов

 

 

Построить эпюры поперечных сил и изгибающих моментов

 

 

Вариант №4

a = 2 м, m = 50кНхМ, F1=100 кН,

F2=200 кН

 

 

Построить эпюры поперечных сил и изгибающих моментов

a=2 м, q=50 кн/м, F=100 кН, m= 200 кНхМ

 

Построить эпюры поперечных сил и изгибающих моментов

 

Построить эпюры поперечных сил и изгибающих моментов

Вариант №5

a = 2 м, m = 50кНхМ, F1=100 кН, F2=200 кН

 

Построить эпюры поперечных сил и изгибающих моментов

a=2 м, q=50 кн/м, F=100 кН, m= 200  кНхМ

 

 

Построить эпюры поперечных сил и изгибающих моментов

 

Построить эпюры поперечных сил и изгибающих моментов

Вариант № 6

a = 2 м, m = 50кНхМ, F1=100 кН,

F2=200 кН

 

Построить эпюры поперечных сил и изгибающих моментов

a=2 м, q=50 кн/м, F=100 кН, m= 200 кНхМ

 

Построить эпюры поперечных сил и изгибающих моментов

 

Построить эпюры поперечных сил и изгибающих моментов

 

Вариант № 7

a = 2 м, m = 50кНхМ, F1=100 кН, F2=200 кН,q=120кн/М

 

Построить эпюры поперечных сил и изгибающих моментов

a=2 м, q=50 кн/м, F=100 кН, m= 200 кНхМ

 

Построить эпюры поперечных сил и изгибающих моментов

 

Построить эпюры поперечных сил и изгибающих моментов

 

Вариант № 8

a = 2 м, m = 50кНхМ, F1=100 кН,

F2=200 кН, q=120кн/М

 

Построить эпюры поперечных сил и изгибающих моментов

a=2 м, q=50 кн/м, F=100 кН, m= 200 кНхМ

 

 

Построить эпюры поперечных сил и изгибающих моментов

 

Построить эпюры поперечных сил и изгибающих моментов

 

Вариант № 9

a = 2 м, m = 50кНхМ, F1=100 кН, F2=200 кН, q=120кн/М

 

Построить эпюры поперечных сил и изгибающих моментов

a=2 м, q=50 кн/м, F=100 кН, m= 200 кНхМ

 

 

Построить эпюры поперечных сил и изгибающих моментов

 

 

Построить эпюры поперечных сил и изгибающих моментов

 

Вариант № 10

a = 2 м, m = 50кНхМ, F1=100 кН, F2=200 кН, q=120кн/М

Построить эпюры поперечных сил и изгибающих моментов

a=2 м, q=50 кн/м, F=100 кН, m= 200 кНхМ

 

Построить эпюры поперечных сил и изгибающих моментов

 

Построить эпюры поперечных сил и изгибающих моментов

 

3   Рекомендуемая литература для изучения 

1. Эрдеди А.А. Техническая механика:  — Москва.: Академия, 2020. —

528 с. 

2. http://www.teormex.ru

 

4   Критерии оценивания домашней контрольной работы

 Оценка «отлично» выставляется, если студент выполнил работу без ошибок, допустил не более одного недочета. 

Оценка «хорошо», если студент выполнил работу полностью, но допустил в ней не более одной негрубой ошибки и одного недочета, или не более двух недочетов. 

Оценка «удовлетворительно», если студент правильно выполнил не менее половины работы или допустил не более двух грубых ошибок, или не более одной грубой и одной негрубой ошибки и одного недочета, или не более двух-трех негрубых ошибок, или одной негрубой ошибки и трех недочетов, или при отсутствии ошибок, но при наличии четырех-пяти недочетов, плохо знает текст произведения, допускает искажение фактов. 

Оценка «неудовлетворительно», если студент допустил число ошибок и недочетов превосходящее норму, при которой может быть выставлена оценка «3», или если правильно выполнил менее половины работы.

 

 

 

 

 

 

 

 

   

Приложение 1 Краткий теоретический материал и примеры выполнения заданий

 

Основы сопротивления материалов

Внутренние усилия и напряжения в стержнях при изгибе

Основные понятия

Стержень испытывает изгиб в том случае, когда приложенные нагрузки направлены перпендикулярно к его оси. Такие нагрузки называются поперечными нагрузками. На практике в качестве элементов, работающих на изгиб, чаще всего встречаются прямые стержни, имеющие одну или две плоскости симметрии. Эти плоскости являются главными плоскостями инерции.

 

Рисунок - 1

 

Рисунок - 2

Если внешние нагрузки расположены в одной плоскости, проходящей через ось стержня, то изгиб называется плоским (рис.1 и 2). В этом случае изогнутая ось стержня является плоской кривой. Плоскость, в которой действуют нагрузки, называется силовой плоскостью.

В общем случае, когда нагрузки расположены в разных плоскостях (рис. 3), изгиб называется пространственным. Изогнутая ось стержня в этом случае является пространственной кривой.

 

Рисунок -3, 4

Если внешние нагрузки расположены в одной из главных плоскостей инерции (см. рис. 1), имеет место плоский прямой изгиб. Если же силовая плоскость не совпадает ни с одной из главных плоскостей инерции (см. рис. 2), то изгиб называется плоским косым изгибом. В настоящей главе рассматривается наиболее простой вид изгиба — плоский прямой изгиб.

При построении расчетных схем поперечные нагрузки относят к оси стержня. Эти нагрузки в большинстве случаев могут быть приведены к трем типам: сосредоточенным силам, сосредоточенным моментам (парам сил) и распределенным нагрузкам (рис. 4).

Стержень, работающий на изгиб, обычно называют балкой. Для того чтобы балка могла воспринимать приложенную к ней нагрузку, она должна иметь соответствующие опорные закрепления или опоры. На рис. 5 приведены три основных типа опор.

Шарнирно-подвижная опора (рис. 5, а) может быть схематически изображена в виде одного короткого стержня с шарнирами на концах (опорная связь). Такая опорная связь препятствует перемещению закрепленного сечения в направлении связи, например в вертикальном направлении (см. рис. 5, а).

 

Рисунок -  5

Перемещение этого сечения в направлении, перпендикулярном к опорной связи, например в горизонтальном направлении (см. рис. 7, а), и поворот балки относительно опоры могут происходить свободно. В соответствии с этим на шарнирноподвижной опоре возникает только одна опорная реакция в направлении опорной связи.

Шарнирно-неподвижная опора (рис. 5 б) обычно изображается с помощью двух опорных связей, поставленных под разными углами относительно оси балки. Такая опора допускает поворот балки относительно опоры и не допускает линейных перемещений. На шарнирно-неподвижной опоре могут возникнуть две реакции, например вертикальная R и горизонтальная Н.

Жесткая заделка (рис. 5, в) не допускает поворота и линейных перемещений закрепленного конца балки. В жесткой заделке могут возникнуть три опорные реакции, например вертикальная R, горизонтальная Н и реактивный момент М.

Опорные реакции определяются из уравнений статики. Как известно из курса теоретической механики, для плоской системы сил можно составить три независимых уравнения в трех основных вариантах. Если число опорных реакций в балке равно числу уравнений статики, которые можно составить для их определения, то такая балка называется статически определимой. На рис. 6 приведены основные типы статически определимых балок.

Балка, имеющая жесткую заделку и свободный конец (рис. 6, а), называется консольной балкой или консолью.

Балка, имеющая по концам шарнирные опоры (рис. 6 б), называется однопролетной балкой (пролетом балки называется расстояние между ее опорами). Если один или оба конца выступают за опоры (рис. 6, в), то такая балка называется шарнирно опертой балкой с консолью (консолями).

Если число искомых опорных реакций превышает число независимых уравнений статики, которые можно составить для их определения, то такая балка называется статически неопределимой. Пример статически неопределимой балки приведен на рис. 7. Для расчета статически неопределимых балок необходимо составлять дополнительные уравнения исходя из условий деформации балки.

 

Рисунок - 6

Особый случай представляют балки с промежуточными шарнирами. В этом случае наряду с уравнениями равновесия для всей балки в целом можно составить дополнительное уравнение равновесия (уравнение моментов) для части балки, расположенной слева или справа от шарнира. Так, для балки, показанной на рис. 8, таким дополнительным уравнением будет

               (7)

Рисунок - 8

Таким образом, данная балка является статически определимой, так как для определения трех опорных реакций RA, RB, МА имеются три уравнения равновесия:

к двум обычным, записанным для всей балки, добавляется одно из уравнений (7). Внутренние усилия при изгибе. Дифференциальные соотношения

При плоском прямом изгибе в плоскости Оху в поперечных сечениях балки возникают два внутренних усилия: поперечная сила Qy и изгибающий момент Mz (рис. 9). Эти усилия являются равнодействующими сил взаимодействия между частями балки, т.е. напряжений в проведенном сечении. Продольная сила N равна нулю.

 

 

                  Рисунок -  9             Рисунок  - 10              Рисунок - 11

Поперечная сила считается положительной, если она стремится повернуть оставшуюся часть балки по ходу часовой стрелки (рис. 10). Действие изгибающего момента приводит к растяжению волокон одной части балки и сжатию волокон другой части. Изгибающий момент считается положительным, если он вызывает растяжение нижних волокон балки (рис.

11).

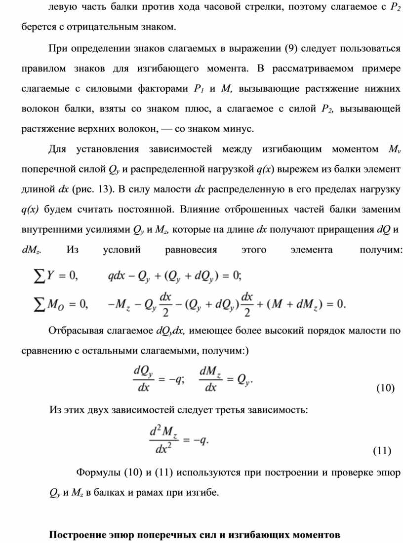
Для определения внутренних усилий используется метод сечений. Определим, например, поперечную силу и изгибающий момент в сечении т—т балки (рис. 12, а), находящейся в равновесии под действием произвольных поперечных нагрузок. Для этого мысленно разрежем балку плоскостью, перпендикулярной к ее оси, отбросим одну из частей (например, правую часть). Влияние отброшенной части заменим действием в этом сечении двух внутренних усилий — поперечной силы Qy и изгибающего момента Mz (рис. 12, б).

Рассматривая равновесие левой части балки, получим:

                                                                                                                                                   (8)

 

Рисунок – 12                                                                                  Рисунок – 13 Поперечная сила в любом сечении балки определяется как сумма проекций всех сил, приложенных к одной из частей балки, на нормаль к ее оси (ось Оу на рис. 12, б).

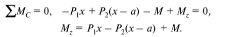
Приравнивая к нулю сумму моментов всех сил, приложенных к левой части балки относительно центра тяжести поперечного сечения, получим:

 

       (9)

Изгибающий момент в любом сечении балки определяется как сумма моментов всех сил, приложенных к одной из частей балки, относительно центра тяжести Сданного сечения.

Поперечная сила имеет размерность силы (кН, Н), а изгибающий момент — размерность пары сил, например кНм.

Величины внутренних усилий в сечении т—т можно также получить, рассмотрев равновесие правой части балки (рис. 12, в). Для упрощения расчета желательно рассматривать ту часть балки, к которой приложено меньше нагрузок.

Внутренние усилия в общем случае изменяются по длине балки. Законы их изменения графически изображаются с помощью эпюр Qy и Mz.

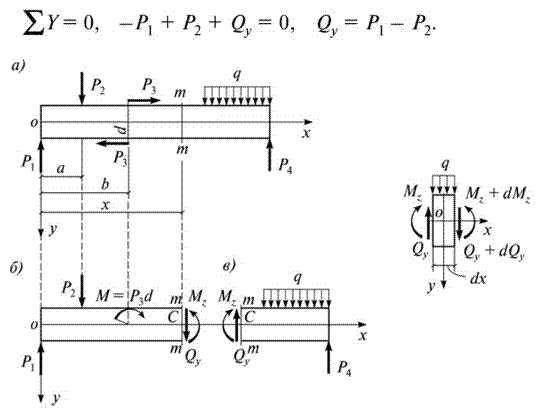
Для правильного определения знака того или иного слагаемого в выражениях для поперечной силы Q и изгибающего момента Mz, например в равенствах (8) и (9), следует мысленно закрепить рассматриваемую часть балки (левую или правую) в сечении т—т (рис. 12, б или 12, в). Тогда в соответствии с правилом знаков для Qy если силовой фактор, например Р,, стремится повернуть рассматриваемую часть балки по ходу часовой стрелки, то соответствующее слагаемое в (8) берется с положительным знаком. Сила Р2 стремится повернуть левую часть балки против хода часовой стрелки, поэтому слагаемое с Р2 берется с отрицательным знаком.

При определении знаков слагаемых в выражении (9) следует пользоваться правилом знаков для изгибающего момента. В рассматриваемом примере слагаемые с силовыми факторами Р1 и М, вызывающие растяжение нижних волокон балки, взяты со знаком плюс, а слагаемое с силой Р2, вызывающей растяжение верхних волокон, — со знаком минус.

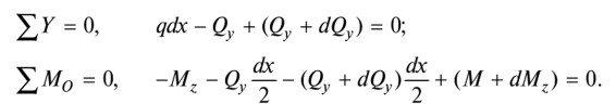
Для установления зависимостей между изгибающим моментом Mv поперечной силой Qy и распределенной нагрузкой q(x) вырежем из балки элемент длиной dx (рис. 13). В силу малости dx распределенную в его пределах нагрузку q(x) будем считать постоянной. Влияние отброшенных частей балки заменим внутренними усилиями Qy и Mz, которые на длине dx получают приращения dQ и

             dMz.        Из        условий         равновесия         этого        элемента         получим:

 

Отбрасывая слагаемое dQydx, имеющее более высокий порядок малости по сравнению с остальными слагаемыми, получим:)

           (10)

Из этих двух зависимостей следует третья зависимость:

               (11)

Формулы (10) и (11) используются при построении и проверке эпюр Qy и Mz в балках и рамах при изгибе.

 

Построение эпюр поперечных сил и изгибающих моментов

 

Для расчета балки на прочность при изгибе необходимо знать наибольшие значения поперечной силы Qy и изгибающего момента Mz и положение сечений, в которых они действуют. В связи с этим возникает необходимость определения законов изменения Qy и Mz по длине балки. Для этой цели обычно строят эпюры поперечных сил и изгибающих моментов, которые представляют собой графическое изображение функций Qy(x) и Mz(x).

Примем положительное направление оси Оу вниз. При этом на эпюре Qy положительные ординаты будем откладывать вниз, а отрицательные — вверх. Ординаты эпюры Mz будем откладывать со стороны растянутых волокон балки. Согласно этому правилу для балок положительные значения изгибающих моментов откладываются вниз, так как эти моменты вызывают растяжение нижних волокон.

Рассмотрим примеры построения эпюр Qy и Mz.

 

Пример Построим эпюры Qy и Mz для шарнирно опертой балки, показанной на рисунке 14.

Из уравнений статики найдем опорные реакции:

 

Установим законы изменения Qy и Mz на участках АС и СВ балки. На участке АС (0 <х< а)

 

На участке СВ (а <х< I)

 

Из полученных выражений видно, что поперечная сила на участках АС и СВ имеет постоянное значение, а в точке С имеет скачок, равный Р. Изгибающие моменты изменяются по линейным законам, при этом в точках А и В Mz = 0, а в точке С Mz = Pab //. Эпюры Qy и Mz показаны на рисунке 14.

 

Рисунок  - 14

Приведем общие выводы:

1.            На участках балки, где отсутствует распределенная нагрузка q, поперечная сила Qy имеет постоянное значение, а изгибающий момент Mz изменяется по линейному закону.

2.            На участках балки, где приложена равномерно распределенная нагрузка q, поперечная сила Qy изменяется по линейному закону, а изгибающий момент Mz по закону квадратной параболы, обращенной выпуклостью в сторону действия нагрузки q.

3.            В сечениях балки, где поперечная сила Qy равна нулю, изгибающий момент Mz может иметь экстремум.

4.            В точке приложения сосредоточенной силы (рис.14) на эпюре Qy

имеется скачок, равный по величине приложенной в этой точке силе, а на эпюре Mz излом в сторону действия силы.

5.            В точке приложения сосредоточенного момента М на эпюре Mz имеется скачок, равный по величине приложенному моменту.

Эпюры Qy и Mz можно построить двумя способами.

Первый способ. Составляют аналитические выражения Qy(x) и Mz(x) для каждого участка балки, где они являются непрерывными функциями. Далее строят графики этих функции по участкам.

Второй способ. Вычисляют значения Qy и Mz в характерных сечениях балки, являющихся границами участков непрерывности внутренних усилий.

Если в каких-либо сечениях внутренние усилия имеют скачок, то определяют значения усилий слева и справа от этих сечений. Вычисленные значения ординат откладывают перпендикулярно к оси балки и полученные точки соединяют соответствующими линиями.

Эпюры заштриховываются прямыми линиями, перпендикулярными к оси балки, и указываются знаки внутренних усилий.

   

Приложение  2 Пример оформления титульного листа

 

МИНИСТЕРСТВО ОБЩЕГО И ПРОФЕССИОНАЛЬНОГО ОБРАЗОВАНИЯ РОСТОВСКОЙ ОБЛАСТИ

ГОСУДАРСТВЕННОЕ БЮДЖЕТНОЕ ПРОФЕССИОНАЛЬНОЕ ОБРАЗОВАТЕЛЬНОЕ УЧРЕЖДЕНИЕ

РОСТОВСКОЙ ОБЛАСТИ  «КАМЕНСКИЙ ТЕХНИКУМ СТРОИТЕЛЬСТВА И АВТОСЕРВИСА»

 

 

 

 

 

 

 

 

ДОМАШНЯЯ КОНТРОЛЬНАЯ РАБОТА  по дисциплине  ОП.02 Техническая механика тема  Построение эпюр поперечных сил и изгибающих моментов

          

 

Выполнил: 

студент заочного отделения группы    ТОР-2/2020

__________________________

фамилия

__________________________

имя           

__________________________ отчество  

Вариант__

 

 

 

 

Проверил:  преподаватель ______________ Билан Ю.В.

Оценка: ________________

Дата проверки ___________

 

 

 

2021