федеральное государственное бюджетное образовательное учреждение высшего образования
«Мичуринский государственный аграрный университет»
Центр-колледж прикладных квалификаций
МЕТОДИЧЕСКИЕ УКАЗАНИЯ
по выполнению курсового проекта
по ПМ. 02 Эксплуатация сельскохозяйственной техники
по МДК 02.01 Комплектование машинно-тракторного агрегата для выполнения сельскохозяйственных работ
для студентов 3 курса специальности
35.02.16 Эксплуатация и ремонт сельскохозяйственной техники и оборудования
Мичуринск 2024
Методические указания по выполнению курсовой работы по МДК 02.01 Комплектование машинно-тракторного агрегата для выполнения сельскохозяйственных работ составлены на основе Федерального государственного образовательного стандарта (ФГОС) по специальности среднего профессионального образования 35.02.16 Эксплуатация и ремонт сельскохозяйственной техники и оборудования, квалификация – техник-механик. При разработке настоящих методических указаний в качестве основы принимались рабочие программа ПМ.02 Эксплуатация сельскохозяйственной техники.
Организация – разработчик: Центр-колледж прикладных квалификаций
Разработал: преподаватель Попов А.А.
|
Рассмотрен: на заседании цикловой методической комиссии сельскохозяйственных специальностей и специальности «Земельно-имущественные отношения» протокол № _____ от «____» ______________ 2024 г. Председатель ЦМК ____________ ПоповА.В. |
Содержание
1. Общие положения…………………………………………………………………………….4
2. Требования к образовательным результатам……………………………………………….5
3. Структура курсового проекта………………………………………………………………...6
4. Рекомендации по выполнению разделов курсового проекта……………………………...7
5. Требования к выполнению курсового проекта…………………………………………….9
6. Тематика курсового проекта………………………………………………………………..12
7. Защита курсового проекта…………………………………………………………………..12
8. Критерии оценки курсового проекта………………………………………………………13
Приложение 1…………………………………………………………………………………..14
Приложение 2…………………………………………………………………………………..15
Приложение 3…………………………………………………………………………………..16
Приложение 4…………………………………………………………………………………..17
Приложение 5…………………………………………………………………………………..19
Приложение 6…………………………………………………………………………………..22
Приложение 7…………………………………………………………………………………..24
Приложение 8…………………………………………………………………………………..32
Приложение 9…………………………………………………………………………………..45
1 Общие положения.
1.1. Курсовой проект – один из основных видов учебных занятий и форм контроля учебной деятельности обучающихся, предусмотренных учебным планом специальности в Центр-колледже прикладных квалификаций.
1.2. Выполнение обучающимся курсового проекта осуществляется на заключительном этапе междисциплинарного курса МДК 02.01 Комплектование машинно-тракторного агрегата для выполнения сельскохозяйственных работ, (далее – МДК), в ходе которого проверяются полученные знания и умения или компетенции при решении комплексных задач, связанных со сферой профессиональной деятельности будущих специалистов или видом профессиональной деятельности.
1.3. Курсовой проект представляет собой логически завершенное и оформленное в виде текста изложение обучающимся содержания отдельных проблем, задач и методов их решения в изучаемой области науки, профессиональной деятельности и выполняется с целью углубленного изучения отдельных тем, соответствующих МДК и овладения навыками исследовательской деятельности.
1.4. В процессе выполнения курсового проекта решаются следующие задачи:
- расширение, систематизация и закрепление теоретических и практических знаний по дисциплине, общих и профессиональных компетенций по МДК в соответствии с требованиями ФГОС СПО по соответствующему направлению подготовки специалистов;
- освоение общих и профессиональных компетенций;
- приобретение опыта творческого мышления, обобщения и анализа;
- развитие инициативы, самостоятельности, ответственности и организованности;
- приобщение к работе со справочной, специальной и нормативной литературой;
-применение современных методов организационного, правового, экономического и социального анализа, оценки, сравнения, выбора и обоснования предлагаемых решений;
- развитие интереса к научно-исследовательской работе.
1.5. Курсовой проект выполняется в сроки, определенные учебным планом по специальности и рабочей программой по МДК.
1.6. Курсовой проект является одной из важных форм самостоятельной работы обучающихся на завершающем этапе изучения по ПМ.02 Эксплуатация сельскохозяйственной техники.
Выполнение курсового проекта по междисциплинарным курсам
МДК 02.01 Комплектование машинно-тракторного агрегата, должно привить обучающимся навыки по вопросам анализа производственной деятельности, организации процессов труда в сельском хозяйстве. Обучающиеся должны овладеть наиболее рациональными способами проведения сельскохозяйственных операций и организации использования технологии механизированных работ.
Таким образом, целью курсового проекта является систематизация теоретических знаний обучающихся, применение их к решению практических задач; приобретение навыков самостоятельного определения экономической эффективности новой сельскохозяйственной техники, технологии и организации производства.
2. Требования к образовательным результатам.
В результате выполнения курсового проекта обучающийся должен овладеть профессиональными (ПК) и общими (ОК) компетенциями, представленными в таблице:
|
Код |
Наименование результата обучения |
|
ПК 2.1 |
Осуществлять выбор, обоснование, расчет состава машинно-тракторного агрегата и определение его эксплуатационных показателей в соответствии с технологической картой на выполнение сельскохозяйственных работ. |
|
ПК 2.2 |
Осуществлять подбор режимов работы, выбор и обоснование способа движения машинно-тракторного агрегата в соответствии с условиями работы. |
|
ПК 2.3 |
Выполнять работы на машинно-тракторном агрегате в соответствии с требованиями правил техники безопасности и охраны труда. |
|
ПК 2.4 |
Управлять тракторами и самоходными машинами категории "В", "С", "Д", "Е", "F" в соответствии с правилами дорожного движения. |
|
ПК 2.5 |
Управлять автомобилями категории "В" и "С" в соответствии с правилами дорожного движения. |
|
ПК 2.6 |
Осуществлять контроль и оценку качества выполняемой сельскохозяйственной техникой работы в соответствии с технологической картой. |
|
ОК1 |
Выбирать способы решения задач профессиональной деятельности, применительно к различным контекстам. |
|
ОК2 |
Осуществлять поиск, анализ и интерпретацию информации, необходимой для выполнения задач профессиональной деятельности. |
|
ОК 3 |
Планировать и реализовывать собственное профессиональное и личностное развитие. |
|
ОК4 |
Работать в коллективе и команде, эффективно взаимодействовать с коллегами, руководством, клиентами. |
|
ОК5 |
Осуществлять устную и письменную коммуникацию на государственном языке с учетом особенностей социального и культурного контекста. |
|
ОК6 |
Проявлять гражданско-патриотическую позицию, демонстрировать осознанное поведение на основе традиционных общечеловеческих ценностей. |
|
ОК7 |
Содействовать сохранению окружающей среды, ресурсосбережению, эффективно действовать в чрезвычайных ситуациях. |
|
ОК8 |
Использовать средства физической культуры для сохранения и укрепления здоровья в процессе профессиональной деятельности и поддержания необходимого уровня физической подготовки. |
|
ОК9 |
Использовать информационные технологии в профессиональной деятельности. |
|
ОК 10 |
Пользоваться профессиональной документацией на государственном и иностранном языке. |
|
ОК 11 |
Планировать предпринимательскую деятельность в профессиональной сфере. |
С целью овладения указанным видом профессиональной деятельности и соответствующими профессиональными компетенциями обучающийся в ходе освоения профессионального модуля должен:
иметь практический опыт:
- комплектования машинно-тракторных агрегатов;
уметь:
- производить расчет грузоперевозки;
- комплектовать и подготовить к работе транспортный агрегат;
- комплектовать и подготавливать агрегат для выполнения работ по возделыванию сельскохозяйственных культур;
знать:
- основные сведения о производственных процессах и энергетических средствах в сельском хозяйстве;
- основные свойства и показатели работы машинно-тракторных агрегатов (МТА);
- основные требования, предъявляемые к МТА, способы их комплектования;
- виды эксплуатационных затрат при работе МТА;
- общие понятия о технологии механизированных работ, ресурсо- и энергосберегающих технологий;
- технологию обработки почвы;
- принципы формирования уборочно-транспортных комплексов;
- технические и технологические регулировки машин;
- технологии производства продукции растениеводства;
- технологии производства продукции животноводства;
- правила техники безопасности, охраны труда и окружающей среды.
3. Структура курсового проекта
3.1. По содержанию курсовой проект должен носить практический характер.
3.2. По структуре курсовой проект состоит из:
- титульного листа;
- задания;
- план-графика;
- содержания;
- введения, в котором раскрывается актуальность и значение темы, формулируются цели и задачи проекта;
- основной части, которая состоит из десяти разделов: в первом разделе содержатся анализ производственной деятельности взятого хозяйства; во втором разделе описывается технология возделывания заданной культуры; в третьем разделе определяют значение заданной операции, технику для ее выполнения и выбирают машино-тракторный агрегат для выполнения заданной операции; в четвертом разделе содержится агротехнические требования для выполнения заданной операции; в пятом разделе производится расчет технико-экономических показателей МТА для заданной операции; в шестом разделе содержится подготовка и основные регулировки МТА для выполнения заданной операции; в седьмом разделе описывается организация работ для заданной операции; в восьмом разделе выполняется подготовка поля; в девятом разделе описывается контроль качества выполнения заданной операции; в десятом разделе содержится охрана труда и природы, правила техники безопасности при подготовке агрегата и выполнении работ;
- заключение, в котором содержатся выводы и рекомендации относительно возможностей практического применения материалов работы;
- списка использованных источников;
- приложения.
- графическая часть состоит из двух листов формата А1 (594х841) расположенных горизонтально или вертикально (допускается один лист формата А1 и один лист формата А2 (420х594)).
3.3. Титульный лист оформляется в соответствии с Приложением 1.
Титульный лист является первой страницей работы. Он включается в общую нумерацию, но не номеруется.
Задание для курсового проекта оформляется в соответствии с Приложением 2.
Задание для курсового проекта является второй страницей работы. Он включается в общую нумерацию, но не номеруется.
План-график оформляется в соответствии с Приложением 3.
План-график является третьей страницей работы. Он включается в общую нумерацию, но не номеруется.
Содержание курсового проекта является четвертой страницей, оформляется в соответствии с Приложением 4.
Заголовок «Содержание» пишется отдельной строчкой. Содержание курсовой работы предназначено для облегчения поиска необходимых материалов. Оно располагается за титульным листом и должно включать весь перечень разделов и подразделов работы, начиная с введения и заканчивая приложением, с указанием номера страницы (листа), на котором размещается начало материала. Содержание должно включать все заголовки и подзаголовки, имеющиеся в работе.
Порядок изложения курсовой работы
Основную часть курсовой работы следует делить на главы, подразделы и пункты. Подразделы и пункты нумеруются арабскими цифрами.
Например:
1. 1 название раздела (первый раздел); 2 название раздела (второй раздел)
2. Подразделы 1.1. (первый подраздел первого раздела)
Переносы слов в заголовках не допускаются.
Каждый раздел начинается с новой страницы.
Цифровой материал рекомендуется помещать в работе в виде таблиц. Таблицы должны нумероваться в пределах раздела арабскими цифрами. Над правым верхним углом таблицы помещают надпись «Таблица» с указанием ее номера. Номер таблицы состоит из номера раздела и порядкового номера таблицы, разделенных точкой или сплошной нумерацией, проходящей через весь курсовой проект. Например: «Таблица 1.2 – название таблицы (вторая таблица первого раздела) или Таблица 1 – название таблицы»
Список использованных источников, содержащий перечень источников (книг и сайтов) использованных при выполнении курсового проекта формируется в алфавитном порядке по фамилии автора и номеруется по порядку, в конце пишутся используемые сайты. Используемая литература не может быть старше пяти лет с момента ее издания. (смотри Приложение 5)
Графическая часть содержит:
1 лист – Операционно-технологическая карта возделывания заданной культуры;
2 лист – Характеристика выполняемой операции.
4. Рекомендации по выполнению разделов курсового проекта
Введение
Во введении излагают значение культуры, влияние данной операции на урожайность культуры, влияние качества комплектования и наладки агрегата для выполнения операции в соответствии с агротехническими требованиями, цель курсового проекта, задачи проекта.
Основная часть.
Теоретическая часть курсового проекта носит реферативный характер и является теоретической, указывается уровень разработанности проблемы в теории и практике, посредством сравнительного анализа литературы и других источников, приводятся данные, отражающие сущность и содержание темы проекта. Теоретическая часть содержит теоретическое обоснование описываемых или создаваемых технологий, процессов, других продуктов деятельности: описание технологического процесса; используемое оборудование, инструменты, приборы, приспособления; параметры и режим ведения процесса; описание свойств материалов, применяемых в технологическом процессе; разработка предложений по совершенствованию производительных операций; расчетное обоснование технологий, процессов, других продуктов деятельности.
Практическая часть.
Для выполнения практической части работы необходимо собрать в хозяйстве следующие исходные материалы:
1 Технологические карты возделывания основных сельскохозяйственных культур в хозяйстве (смотри Приложение 8).
2. Данные по краткой характеристике хозяйства и производительно-технической характеристике подразделения; адресные сведения, природно-климатические условия, землепользования, структура посевных площадей, наличие МТП (по маркам тракторов, комбайнов, сельскохозяйственных машин). (Смотри Приложение 7)
3. Мероприятия по охране труда, противопожарной безопасности и экологии при выполнении конкретных операций по возделыванию сельскохозяйственных культур в хозяйстве.
В соответствии с заданием на курсовую работу разрабатывают технологию и организацию одной сельскохозяйственной операции по следующей схеме:
· агротехнические требования к операции;
· выбор и расчет состава агрегата, тяговый расчет агрегата; к.п.д. агрегата;
· подготовка агрегата к работе (настройка рабочих органов, агрегатирование, установка направляющих устройств и т.д.);
· выбор и обоснование способа движения агрегата;
· подготовка поля к работе агрегата;
· организация работы агрегата (технологические и техническое обслуживание);
· расчёт производительности агрегата.
· контроль за качеством работ;
· техника безопасности.
Все расчёты по технологии и организации сельскохозяйственной операции проводят для конкретного поля. Составьте план поля с разбивкой на загоны и указанием длины гона, ширины поворотных колес, площади поля, типа почв, рельефа, а также состояния почвы. Исходя из этих условий, выберите агрегат. Затем дайте краткую техническую характеристику трактора сцепки, сельхозмашины (орудия).
С учетом качества работы и допустимой скорости движения агрегата выберите рабочие скорости трактора.
Рассчитайте состав агрегата. На схеме агрегата укажите ширину захвата, расстояние между рабочими органами, высоту установки рабочих органов, ширину защитных полос и др.
Составьте указания по организации работы агрегата, которые включаю следующее:
· перечень мероприятий, необходимых для правильного выполнения первого и последующих проходов агрегата;
· описание средств, применяемых для технологического обслуживания агрегата, и способов его проведения;
· рекомендации для соответствующих агрегатов по расположению на загоне точек засыпке семян, выгрузки продуктов урожая и др.;
Состав агрегата рассчитывается в следующем порядке:
· устанавливают агротехнические требования к выполняемой полевой операции: глубину пахоты, число следов при бороновании, заглублении и тип лап при культивации и т.д.;
· на основании агротехнических требований и условий работы на участке выбирают тип сельскохозяйственной машины, трактор и рабочую скорость агрегата;
Примеры расчетов даны в Приложении 9.
В разделе правила безопасности и охрана труда при выполнении работ необходимо рассмотреть вопросы охраны труда, техники безопасности и охраны окружающей среды при выполнении работ.
В разделе заключение содержится обобщение результатов исследовательской (практической) части, выводы и рекомендации относительно возможности практического применения материалов работы, дается оценка полноты решения поставленной задачи, положительные и отрицательные тенденции по изучаемой проблеме.
В списке используемых источников должны быть указаны все источники, которые обучающийся использовал в процессе выполнения курсового проекта (нормативные документы, техническая и справочная литература, журналы, интернет-источники и пр.). При этом должны соблюдаться общепринятые правила библиографического описания источников (ГОСТ Р 7.0.5.-2008) Целесообразно заранее определить список необходимой литературы по каждой теме.
Раздел приложения располагается после списка используемых источников. Включает материалы, связанные с выполнением курсовой работы, но не включенные в основную часть (таблицы, схемы, заполненные формы отчетности, инструкции, фрагменты нормативной документации)
Графическая часть состоит из двух листов формата А1 (594х841) или одного листа формата А1 и одного листа формата А2 (420х594), расположенных горизонтально или вертикально (по усмотрению преподавателя), имеющих номер, шифр документа и другие надписи в штампе (ГОСТ 2.104-68) по форме 1. Первый лист должен иметь операционно-технологическую карту возделывания заданной культуры (например, подсолнечник), сделанный на твердом формате или на миллиметровой бумаге (формат А1), Второй лист должен иметь - исходные данные в левом верхнем углу, в верху по середине - охрану труда и окружающей среды, в верхнем правом углу - контроль качества работ, в левом нижнем углу - состав агрегата, в низу по середине - эксплуатационные показатели, в правом нижнем углу - способ движения агрегата (расположение характеристик на формате можно изменить по усмотрению преподавателя, но не может быть меньше или больше), сделанный на твердом формате или на миллиметровой бумаге (формат А1 или формат А2). Два листа графической части должны выполняться на одинаковой бумаге.
5. Требования к выполнению курсового проекта.
5.1. Обучающийся разрабатывает и оформляет курсовой проект в соответствии с требованиями:
- ЕСТД (Единая система технологической документации);
- ЕСКД (Единая система конструкторской документации);
- ГОСТ 7.32-2001. Система стандартов по информации, библиотечному делу и издательскому делу. Отчет о научно-исследовательской работе. Структура и правила оформления.
5.2. Курсовые проекты выполняются на одной стороне бумаги формата А4 в текстовом редакторе WORD (шрифт Times New Roman, 14 через 1,5 интервал) А4 (210x297мм ГОСТ 301.68).
Объем курсового проекта должен составлять 25-35 страниц.
Курсовой проект должен быть сброшюрован в обложке.
На каждом листе должна быть очерчена рамка, отстоящая от левого края на расстоянии 20 мм; справа, сверху и снизу − 5 мм (ГОСТ 2.106). При этом каждый лист должен быть оформлен согласно требованиям, ГОСТ 2.106. Основная надпись должна соответствовать требованиям ГОСТ 2.104 − форма 2а (смотри Приложение 8). Расстояние от верхней рамки до текста и от текста до нижней рамки должно быть не менее 10 мм. Расстояние от рамки до границы текста в начале и конце строк следует оставлять не менее 3 мм.
Абзацный отступ должен быть одинаковым для всего текста и равняться 15 или 17 мм. Расстояние между заголовками раздела и предыдущим текстом должно быть равно 10 мм (1 пустые строки основного текста 14pt). Расстояние между заголовком подраздела и предыдущим текстом (разделом или подразделом) должно составлять 10 мм (1 пустая строка основного текста 14 pt). Расстояние между заголовком раздела (подраздела) и последующим текстом должно составлять 10 мм (1 пустая строка основного текста 14pt).
Заголовки разделов следует писать посередине всеми заглавными буквами, а подразделов следует начинать с абзацного отступа и писать строчными буквами (кроме первой прописной).
Точка в конце заголовков не ставится, перенос слов не допускается. Если заголовок состоит из двух предложений, их разделяют точкой. Вторая строка заголовка начинается под первой заглавной буквой первой строки.
Нельзя заголовок раздела или подраздела оставлять на последней строке листа, после заголовка должно быть не менее трёх строк текста.
Страницы текстовой работы следует нумеровать арабскими цифрами, соблюдая сквозную нумерацию по всему тексту. Номер страницы проставляют в основной надписи.
Иллюстрации, таблицы, расположенные на отдельных листах, список использованных источников, включают в общую нумерацию страниц.
Формулы обычно располагают отдельными строками посередине листа. Наиболее важные формулы, на которые имеются ссылки в тексте, располагают на отдельных строках. Небольшие и несложные формулы, не имеющие самостоятельного значения, размещают внутри строк текста. Формулы нумеруют либо внутри раздела, либо в пределах всего текста (сквозная нумерация). Порядковый номер формулы записывают арабскими цифрами в круглых скобках на уровне формулы у правого края листа. Если в тексте только одна формула, ее обозначают (1). Формула включается в предложение как его равноправный элемент, поэтому в конце формул и в тексте перед ними знаки препинания ставят в соответствии с правилами пунктуации.
Символы и числовые коэффициенты, используемые в формуле, должны быть расшифрованы последовательно под формулой в том порядке, в каком они представлены в формуле. Пояснение символов физических величин дается с указанием единиц, в которых они измеряются. Пояснение каждого символа следует давать с новой строки. Первая строка пояснения должна начинаться со слова «где», помещенного от нулевой позиции без двоеточия после него. После формулы ставится запятая. В конце каждой расшифровки ставится точка с запятой, а в конце последней расшифровки − точка. Обозначение единиц в каждой расшифровке отделяют от символов физических величин запятой. Не допускается помещать обозначение единиц физической величины в одной строке с формулой.
В текстовых работах следует применять стандартизованные единицы физических величин, согласно требованиям ГОСТ 8.417.
Обозначение единиц следует применять после числовых значений величин и помещать в строку с ними (без переноса на следующую строку).
Между последней цифрой числа и обозначением единицы следует оставлять пробел.
Исключение составляют обозначения в виде знака, поднятого над строкой, перед которым пробел не оставляют.
Иллюстрации (чертежи, схемы, диаграммы, рисунки, фото и т.п.) следует располагать по тексту после первого упоминания (допускается на следующей странице).
Иллюстрация может иметь наименование и поясняющие данные (подрисуночный текст), разделённые точкой с запятой. Слово «Рисунок» и наименование помещают после поясняющих данных. Иллюстрации следует нумеровать арабскими цифрами сквозной нумерацией. Если рисунок один, то он обозначается «Рисунок 1». Допускается не нумеровать мелкие рисунки, которые размещены непосредственно в тексте и на которые в дальнейшем нет ссылок. Допускается нумеровать иллюстрации арабскими цифрами в пределах раздела.
Номер иллюстрации состоит из цифр, обозначающих номер раздела и порядковый номер иллюстрации в пределах этого раздела, разделённых точкой. Точка в конце номера не ставится.
Пример:

Рисунок 1.1 – Схема агрегата ДТ-75+СП-11+БЗСС-1
1 – трактор ДТ-75; 2 – сцепка СП-11; 3 – бороны БЗСС-1
График потенциальной тяговой характеристики трактора выполняется карандашом на листе миллиметровой бумаги формата А4, А3 или на компьютере тех же форматов.
Цифровой материал, как правило, оформляют в виде таблиц. При наличии в тексте
небольшого по объёму цифрового материала его нецелесообразно оформлять таблицей, а следует давать текстом. При этом цифровые данные оформляют в виде колонок (например, техническая характеристика машин).
В текстовых работах необходимо применять сокращения слов согласно требованиям ГОСТ 7.12, ГОСТ 2.316 (приложение), ГОСТ 8.417. Допускается в тексте студенческих работ применять также общепринятые сокращения: т.е. - то есть; т.д. - так далее; т.п. - тому подобное другие сокращения, установленные правилами орфографии и пунктуации.
В обозначениях единиц физической величины точка как знак сокращения не ставится.
Если в тексте принята особая система сокращения слов, то первый раз термин пишется полностью, после него в круглых скобках указывается его сокращённый вариант написания.
В дальнейшем тексте используется сокращённая форма написания.
Ссылки в тексте на разделы, подразделы, иллюстрации, таблицы, формулы, приложения следует указывать их порядковым номером. Примеры: «... в разделе 1», «... по формуле (2.7)», «... на рисунке 1.2».
Ссылки на использованные источники следует указывать порядковым номером по списку источников в квадратных скобках (ГОСТ 7.32).
Сведения об источниках следует располагать в порядке появления ссылок на источники в тексте работы и нумеровать арабскими цифрами без точки и печатать с абзацного отступа (ГОСТ 7.32).
5.3. К содержанию курсового проекта предъявляются следующие требования:
5.4. Курсовой проект может сопровождаться таблицами, схемами, графиками, рисунками.
5.5. Законченная работа в установленный срок представляется руководителю курсового проекта на проверку. После проверки она возвращается обучающемуся для ознакомления с замечаниями руководителя работ.
5.6. Текст проекта должен демонстрировать:
- знакомство автора с основной литературой по рассматриваемым вопросам;
- способность выделить проблему и определить методы ее решения;
- умение последовательно изложить существо рассматриваемых вопросов;
- владение соответствующим понятийным и терминологическим аппаратом;
- приемлемый уровень языковой грамотности, включая владение функциональным стилем научного изложения.
6. Тематика курсового проекта
6.1. Тематика курсового проекта должна быть актуальной и соответствовать современному состоянию и перспективам развития науки, сфер экономики, управления, права и образования, а также задачам МДК.
6.2. Темы курсового проекта должны соответствовать рекомендуемой примерной тематике курсовых работ в рабочих программах учебных дисциплин и МДК.
6.3. Тема курсового проекта может быть связана с программой производственной практики обучающегося, а для лиц, обучающихся по заочной форме обучения – с их непосредственным местом работы. Тема курсового проекта сообщается руководителем курсовых работ в виде индивидуального задания или выбирается самим обучающимся по согласованию с руководителем курсовых работ. Тема может быть предложена обучающимся при условии обоснования им ее целесообразности.
6.4. Тематика курсового проекта, требования к ним и рекомендации по их выполнению доводятся до сведения обучающихся в начале соответствующего семестра. Темы курсового проекта предлагаются обучающимся на выбор. Обучающийся имеет право выбрать одну из заявленных Цикловой комиссией тем.
Количество предлагаемых тем курсовых проектов должно составлять не менее 150% от числа обучающихся группы.
6.5. Тематика курсового проекта разрабатывается преподавателями колледжа, должна ежегодно обновляться с учетом запросов работодателей, рассматриваться и приниматься на заседании соответствующей Цикловой комиссии, далее утверждаться приказом руководителя учебного заведения.
6.6. Примерная тематика курсовых проектов по МДК 02.01 Комплектование машинно-тракторного агрегата для выполнения сельскохозяйственных работ, представлена в Приложении 6.
7. Защита курсового проекта.
7.1. Курсовой проект допускается к защите при условии законченного оформления, и допуска руководителя. Если курсовой проект не допущен к защите, руководитель курсового проекта проставляет в зачтено-экзаменационной ведомости обучающемуся неудовлетворительную оценку.
7.2. При подготовке к защите курсового проекта обучающейся должен знать основные положения работы, выявленные проблемы и мероприятия по их устранению, перспективы развития рассматриваемой ситуации.
7.3. Законченную и подписанную автором и руководителем курсовой проект обучающейся защищает перед комиссией, состоящей из 2-3 преподавателей, включая и руководителя.
7.4. Обучающийся представляет комиссии пояснительную записку работы и графическую часть (1,5 – 2 листа формата А1), выступает с докладом в течение 5-7 минут, отражая основные положения выполненной работы, отвечает на вопросы членов комиссии и присутствующих.
7.5. Защита производится публично. На защите присутствуют, как правило, все обучающиеся группы. При защите курсовых проектов может присутствовать заместитель директора по УПР. Результаты заносятся в протокол.
8. Критерии оценки курсового проекта
Критериями для выставления оценки за курсовой проект являются:
- соблюдение сроков выполнения и сдачи курсового проекта;
- внешний вид и правильность оформления курсового проекта;
- обоснование актуальности курсового проекта;
- корректность формулировки характеристик исследования (проблемы, объекта, предмета, задач и т.п.)
- соответствие содержания курсового проекта заявленной теме исследования;
- полнота раскрытия темы исследования;
- завершенность и полнота решения всех задач, поставленных перед исследованием;
- наличие в тексте сносок и гиперссылок;
- наглядность и правильность оформления иллюстративного материала;
- наличие и качество приложений;
- правильность оформления списка литературы;
- глубина теоретического анализа, умение разобраться в основных проблемах заданной темы, знание и понимание основных точек зрения и дискуссионных проблем;
- связь работы с жизнью, с практической действительностью;
- умение делать выводы;
-качество введения и заключения;
- самостоятельность изложения, творческий подход к рассматриваемой проблеме, умение излагать и аргументировать свою точку зрения;
- логичность и грамотность изложения материала, владение терминологией и стилем научного изложения;
- отсутствие содержательных ошибок принципиального характера;
-теоретическая и практическая ценность работы (при необходимости);
- качество оформления курсовой работы.
Оценка «отлично» выставляется при соблюдении всех требований к курсовому проекту и выполнении курсового проекта в установленные сроки.
Оценка «хорошо» выставляется, если при наличии выполненной на высоком уровне курсового проекта, выводы недостаточно убедительны.
Оценка «удовлетворительно» выставляется при частичном соблюдении требований к курсовому проекту: суть проблемы раскрыта недостаточно тщательно; отсутствует одна из структурных частей курсового проекта; курсовой проект неправильно оформлен.
Оценка «неудовлетворительно» выставляется, если не соблюдены все основные требования к курсовому проекту, в частности: работа переписана с одного или нескольких источников (в том числе из сети Интернет), при его написании использовалось малое количество источников, притом устаревших, литературной основой являлись только учебники или научно-популярная литература; в работе искажены научные положения.
Приложение 1
федеральное государственное бюджетное образовательное учреждение высшего образования
«Мичуринский государственный аграрный университет»
Центр–колледж прикладных квалификаций
Специальность 35.02.16 Эксплуатация и ремонт сельскохозяйственной техники и оборудования
Цикловая методическая комиссия сельскохозяйственных специальностей и специальности «Земельно-имущественные отношения»
КУРСОВОЙ ПРОЕКТ
по МДК 02.01 Комплектование машинно-тракторного агрегата для выполнения сельскохозяйственных работ
на тему:
«Комплектование и наладка агрегата для заданной операции»
Автор работы: ФИО
Руководитель работы: преподаватель, Попов Александр Анатольевич
_______________________
(подпись)
МИЧУРИНСК – НАУКОГРАД - 2024
Приложение 2
федеральное государственное бюджетное образовательное учреждение высшего образования
«Мичуринский государственный аграрный университет»
Центр–колледж прикладных квалификаций
ЗАДАНИЕ
для курсового проекта
по МДК 02.01 Комплектование машинно-тракторного агрегата для выполнения сельскохозяйственных работ
Обучающегося: ФИО
Группа: ЦОС 30 ЭР
Тема задания: «Комплектование и наладка агрегата для заданной операции»
Исходные данные: Хозяйство- ООО «Шехманское», обрабатываемое поле 100 га после уборки заданной культуры
При выполнении курсового проекта на указанную тему должны быть представлены:
Пояснительная записка
Введение;
1. Анализ производственной деятельности хозяйства;
2. Технология возделывания культуры;
3. Значение планируемой операции и техника для её выполнения;
4. Агротехнические требования к выполняемой операции;
5. Расчет
технико-экономических показателей МТА для заданной операции;
6.
Подготовка и основные регулировки МТА для выполнения заданной операции;
7.
Подготовка поля;
8. Контроль качества выполнения заданной операции;
9. Охрана труда и природы, правила техники безопасности при подготовке агрегата и выполнении работ;
Заключение;
Список использованных источников;
Приложение.
Графическая
часть
Лист 1 Операционно-технологическая карта.
Лист 2 Характеристика выполняемой операции.
Дата
выдачи «13» января 2024 г.
Срок окончания « » марта 2024 г.
Руководитель курсового проекта ________________ Попов А.А.
Приложение 3
федеральное государственное бюджетное образовательное учреждение высшего образования
«Мичуринский государственный аграрный университет»
Центр–колледж прикладных квалификаций
Специальность 35.02. 16 Эксплуатация и ремонт сельскохозяйственной техники и оборудования
Цикловая методическая комиссия сельскохозяйственных специальностей и специальности «Земельно-имущественные отношения»
УТВЕРЖДАЮ
Руководитель работы
Попов Александр Анатольевич
« » 2024 г
__________________________
(Подпись)
ПЛАН-ГРАФИК
на тему: «Комплектование и наладка агрегата для заданной операции» обучающегося ФИО
|
№ |
Выполняемые виды деятельности |
Срок выполнения |
Отметка о выполнении |
|
1. |
Поиск литературы и других источников, их предварительное изучение, подготовка списка источников |
выполнено |
|
|
2. |
Формирование плана исследования, его содержания и структуры |
выполнено |
|
|
3. |
Написание разделов курсовой работы. Формирование выводов и практических рекомендаций. Написание заключения |
выполнено |
|
|
4. |
Оформление курсовой работы. Представление курсовой работы преподавателю |
выполнено |
|
|
6. |
Подготовка для защиты |
выполнено |
Исполнитель:__________________________ « » 2024 г.
Приложение 4
СОДЕРЖАНИЕ
ВВЕДЕНИЕ…………………………………………………………………….....6
1 АНАЛИЗ ПРОИЗВОДСТВЕННОЙ ДЕЯТЕЛЬНОСТИ (ХОЗЯЙСТВА)………….………………………………………………………. 7
1.1 Общие сведения о (хозяйстве).……..………………………………………..8
1.2 Экономические показатели (хозяйства)…………………………………….9
1.3 Техническая оснащенность (хозяйства)…………….……………………...10
2 ТЕХНОЛОГИЯ ВОЗДЕЛЫВАНИЯ КУЛЬТУРЫ…………………………...12
3 ЗНАЧЕНИЕ ПЛАНИРУЕМОЙ ОПЕРАЦИИ И
ТЕХНИКА ДЛЯ ЕЁ ВЫПОЛНЕНИЯ.………………………………………….15
3.1 Значение планируемой операции…………………………………………...15
3.2 Техника для выполнения планируемой операции…………………………16
4 АГРОТЕХНИЧЕСКИЕ ТРЕБОВАНИЯ К
ВЫПОЛНЯЕМОЙ ОПЕРАЦИИ…………………………...….………………..19
5 РАСЧЕТ ТЕХНИКО-ЭКОНОМИЧЕСКИХ
ПОКАЗАТЕЛЕЙ МТА ДЛЯ ЗАДАННОЙ ОПЕРАЦИИ ………………….….21
5.1 Исходные данные для расчета заданной операции…..…………..………..21
5.2 Расчет МТА для заданной операции……………….………………………21
5.3 Вывод о составе и режиме работы МТА…………...………………………22
6 ПОДГОТОВКА И ОСНОВНЫЕ РЕГУЛИРОВКИ
МТА ДЛЯ ВЫПОЛНЕНИЯ ЗАДАННОЙ ОПЕРАЦИИ…………………...…24
7 ПОДГОТОВКА ПОЛЯ …………………………………………….…………30
8 КОНТРОЛЬ КАЧЕСТВА ВЫПОЛНЕНИЯ
ЗАДАННОЙ ОПЕРАЦИИ ……………………………………………………..32
9 ОХРАНА ТРУДА И ПРИРОДЫ, ПРАВИЛА

ТЕХНИКИ БЕЗОПАСНОСТИ ПРИ ПОДГОТОВКЕ
АГРЕГАТА И ВЫПОЛНЕНИИ РАБОТ……………………………………….33
ЗАКЛЮЧЕНИЕ……………………………………………………………….…35
СПИСОК ИСПОЛЬЗОВАННЫХ ИСТОЧНИКОВ…..………………………..36
ПРИЛОЖЕНИЕ………………………………………………………………….39
Приложение 5
СПИСОК ИСПОЛЬЗОВАННЫХ ИСТОЧНИКОВ
1. Беляков, Г. И. Охрана труда и техника безопасности: учебник для среднего профессионального образования / Г. И. Беляков. — 4-е изд., перераб. и доп. — Москва: Издательство Юрайт, 2023. — 353 с. — (Профессиональное образование). — ISBN 978-5-534-16364-3. — Текст: электронный // Образовательная платформа Юрайт [сайт]. — URL:
https://urait.ru/bcode/530881
2. Виноградов, В.М. Техническое обслуживание и ремонт сельскохозяйственной техники: учебник для студентов СПО / В.М. Виноградов, О.В. Храмцова. – М: КноРус, 2023. – 403 с.
3. Журавлев, С.Ю. Основы надежности машин: учеб. пособие /С.Ю. Журавлев; Краснояр. гос. аграр. ун-т. – Красноярск, 2021. – 251 с.
4. Завражнов, А.И. Эксплуатация машинно-тракторного парка: учебное пособие / А. И. Завражнов, С. М. Ведищев, Ю. Е. Глазков, А. В. Прохоров, А. В. Милованов, Н. В. Хольшев. – Тамбов: Издательский центр ФГБОУ ВО «ТГТУ», 2019. – 224 с
5. Коцуба, В.И. Техническое обслуживание и ремонт тракторов и сельскохозяйственных машин: учебное пособие для студентов СПО / Коцуба В.И., Хитрюк В.А., Трубилов А.К. - 2-е изд., стер. – М: РИПО, 2023. – 191 с.
6. Малкин, В. С. Техническая диагностика: учебное пособие / В. С. Малкин. — 2-е изд., испр. и доп. — Санкт-Петербург: Лань, 2021. — 272 с. — ISBN 978-5-8114-1457-4. — Текст: электронный // Лань : электронно-библиотечная система. — URL: https://e.lanbook.com/book/168814
7. Мударисов, С.Г. Настройка и регулировка сельскохозяйственных машин: учебное пособие для среднего профессионального образования / С. Г. Мударисов [и др.]; ответственный редактор С. Г. Мударисов. — Москва: Издательство Юрайт, 2023. — 195 с. — (Профессиональное образование). — ISBN 978-5-534-15161-9. — Текст: электронный // Образовательная платформа Юрайт [сайт]. — URL: https://urait.ru/bcode/520062
8.
Носов, В. В. Диагностика машин и оборудования: учебное пособие для вузов / В.В.
Носов. — 5-е изд., стер. — Санкт-Петербург: Лань, 2021. — 376 с. — ISBN
978-5-8114-6794-5. — Текст: электронный // Лань: электронно-библиотечная
система. — URL: https://e.lanbook.com/book/152451
9. Резчиков, Е. А. Безопасность жизнедеятельности: учебник для среднего профессионального образования / Е. А. Резчиков, А. В. Рязанцева. — 2-е изд., перераб. и доп. — Москва: Издательство Юрайт, 2023. — 639 с. — (Профессиональное образование). — ISBN 978-5-534-13550-3. — Текст: электронный // Образовательная платформа Юрайт [сайт]. — URL:
https://urait.ru/bcode/518397
10. Силаев, Г. В. Конструкция автомобилей и тракторов: учебник для среднего профессионального образования / Г. В. Силаев. — 3-е изд., испр. и доп. — Москва: Издательство Юрайт, 2023. — 404 с. — (Профессиональное образование). — ISBN 978-5-534-09967-6. — Текст: электронный // Образовательная платформа Юрайт [сайт]. — URL:
https://urait.ru/bcode/517358
11. Тимофеев, Г. А. Теория механизмов и машин: учебник и практикум для среднего профессионального образования / Г. А. Тимофеев. — 3-е изд., перераб. и доп. — Москва: Издательство Юрайт, 2023. — 429 с. — (Профессиональное образование). — ISBN 978-5-534-00367-3. — Текст: электронный // Образовательная платформа Юрайт [сайт]. — URL:
https://urait.ru/bcode/511801
12. Федоренко, В. Ф. Перспективы применения аддитивных технологий при производстве и техническом сервисе сельскохозяйственной техники / В. Ф. Федоренко, И. Г. Голубев. — 2-е изд. — Москва: Издательство Юрайт, 2022. — 137 с. — (Высшее образование). — ISBN 978-5-534-11459-1. — Текст: электронный // Образовательная платформа Юрайт [сайт]. — URL:
https://urait.ru/bcode/495660
13. Чусовитин, Н. А. Теория механизмов и машин: учебное пособие для среднего профессионального образования / Н. А. Чусовитин, В. П. Гилета,
Ю. В. Ванаг. — 2-е изд.,
перераб. и доп. — Москва: Издательство Юрайт, 2023. — 177 с. —
(Профессиональное образование). — ISBN 978-5-534-12976-2. — Текст: электронный
// Образовательная платформа Юрайт [сайт]. — URL: https://urait.ru/bcode/518363
14. Шаронов, С. А. Трудовое право России: учебник для вузов / С. А. Шаронов, А. Я. Рыженков; под общей редакцией С. А. Шаронова. — 7-е изд., перераб. и доп. — Москва: Издательство Юрайт, 2023. — 448 с. — (Высшее образование). — ISBN 978-5-534-16499-2. — Текст: электронный // Образовательная платформа Юрайт [сайт]. — URL:
https://urait.ru/bcode/531175
15. Экономика сельского хозяйства: учебник для среднего профессионального образования / Н. Я. Коваленко [и др.]; под редакцией Н. Я. Коваленко. — Москва: Издательство Юрайт, 2023. — 406 с. — (Профессиональное образование). — ISBN 978-5-534-06920-4. — Текст: электронный // Образовательная платформа Юрайт [сайт]. — URL:
https://urait.ru/bcode/516579
16. Юнусов, Г. С. Монтаж, эксплуатация и ремонт технологического оборудования. Курсовое проектирование: учебное пособие / Г. С. Юнусов, А. В. Михеев, М. М. Ахмадеева. — 2-е изд., перераб. и доп. — Санкт-Петербург : Лань, 2021. — 160 с. — ISBN 978-5-8114-1216-7. — Текст: электронный // Лань: электронно-библиотечная система. — URL:
https://e.lanbook.com/book/167904
Приложение 6
Темы курсовых проектов для ЦОС30ЭР (ЦОС31ЭР)
1. Комплектование и наладка агрегата для лущения стерни.
2. Комплектование и наладка агрегата для дискования стерни.
3. Комплектование и наладка агрегата для боронования.
4. Комплектование и наладка агрегата для вспашки.
5. Комплектование и наладка агрегата для прикатывания почвы.
6. Комплектование и наладка агрегата для сплошной культивации.
7. Комплектование и наладка комбинированного агрегата для предпосевной обработки под зерновые культуры.
8. Комплектование и наладка комбинированного агрегата для предпосевной обработки под бобовые культуры.
9. Комплектование и наладка комбинированного агрегата для предпосевной обработки под подсолнечник.
10. Комплектование и наладка агрегата для посева зерновых культур.
11. Комплектование и наладка агрегата для посева кукурузы.
12. Комплектование и наладка агрегата для посева свеклы.
13. Комплектование и наладка агрегата для посадки картофеля.
14. Комплектование и наладка агрегата для посева кормовых корнеплодов.
15. Комплектование и наладка агрегатов для подготовки почвы под гречиху.
16. Комплектование и наладка агрегата для междурядной культивации картофеля.
17. Комплектование и наладка агрегата для междурядной культивации подсолнечника.
18. Комплектование и наладка агрегата для междурядной культивации овощных культур.
19. Комплектование и наладка агрегата для уборки многолетних трав (скашивания).
20. Комплектование и наладка агрегата для междурядной обработки ягодных кустарников.
21. Комплектование и наладка агрегата для междурядной обработки почвы в плодоносящем саду.
22. Комплектование и наладка агрегата для посадки ягодных кустарников.
23. Комплектование и наладка агрегата для посадки плодовых деревьев.
24. Комплектование и наладка агрегата для проведения снегозадержания.
25. Комплектование и наладка агрегата для орошения ягодных кустарников.
26. Комплектование и наладка агрегата для внесения минеральных удобрений.
27. Комплектование и наладка агрегата для внесения жидких органических удобрений.
28. Комплектование и наладка агрегата для разбрасывания твердых органических удобрений.
29. Комплектование и наладка агрегата для посева клевера.
30. Комплектование и наладка агрегата для уборки корнеплодов.
31. Комплектование и наладка агрегата для посадки капусты.
32. Комплектование и наладка агрегата для борьбы с болезнями и вредителями зерновых культур.
33. Комплектование и наладка агрегата для борьбы с болезнями и вредителями ягодных кустарников.
34. Комплектование и наладка агрегата для борьбы с болезнями и вредителями плодовых деревьев.
35. Комплектование и наладка агрегата для подбора сена из валков.
36. Комплектование и наладка агрегата для сгребания сена или соломы.
37. Комплектование и наладка агрегата для обрезки плодовых деревьев.
38. Комплектование и наладка агрегата для уборки урожая плодовых деревьев.
39. Комплектование и наладка агрегата для уборки урожая ягодных кустарников.
Приложение 7
1 АНАЛИЗ ПРОИЗВОДСТВЕННОЙ ДЕЯТЕЛЬНОСТИ
ПРЕДПРИЯТИЯ ФГБНУ «ФНЦ ИМ. МИЧУРИНА»
1.1 Общие сведения
Предприятие ФГБНУ «ФНЦ им. Мичурина» основано в 2016году на базе бывшего ГНУ ВНИИГ и СПР им. Мичурина и ВНИИС им Мичурина, расположенного в Тамбовской области Мичуринского района. В настоящее время ФГБНУ «ФНЦ им. Мичурина» является современным научно исследовательским садоводческим предприятием, занимающимся производством саженцев плодовых и ягодных культур, также продукцией садоводства на площади более 500 га интенсивного сада и высококачественного посадочного материала (саженцев, косточковых культур).
ФГБНУ «ФНЦ им. Мичурина» находиться в 5 км районного центра города Мичуринска и в 70 км от центра города Тамбова.
По данным почвенных исследований преобладают щелочные черноземы суглинистого механического состава. Почвенно-климатические условия благоприятные для возделывания сельскохозяйственных культур.
Продолжительность безморозного периода составляет в среднем 140-150 дней. Количество осадков за год колеблется 430-450 мм. Такое количество осадков достаточно для обеспечения почвы влагой в вегетационный период, что благоприятствует произрастанию саженцев плодовых и ягодных культур, а также произрастанию плодовых и ягодных культур.
Климат территории умеренно-континентальный с теплым летом и холодной зимой. Среднегодовая температура воздуха составляет +4, +5 градусов по Цельсию. Сумма средних суточных температур за период с температурой выше 10 составляет 2400-2600.
Территория землепользования находиться в центральном-черноземном и относятся к Мичуринско-Моршанскому району выщелочных черноземов.
Рельеф представляет слабоволнистую равнину, расчлененную сетью небольших балок.
Выщелочный чернозем занимают в хозяйстве 313 га. По мощности черноземов слабокислая. В целом они обладают достаточно высоким плодородием.
Черноземы типичные в почвенном покрове хозяйстве занимают около 230 га. Гумусовый горизонт у мощных разновидностей составляет 92 см, у среднемощных 70 см. По механическому составу описываемые почвы являются тяжелосуглинистыми. Содержание гумуса от 6,4 % да 7,3%.
На территории хозяйства лесов нет. Естественная травянистая растительность представлена по балкам. На суходольных участках естественная травянистая растительность представлена разнотравной группировкой.
Гидрографическая сеть представлена рекой «Лесной Воронеж».
По многолетним данным ежегодно выпадает 480 осадков, однако не равномерное распределение их в отдельные годы нередко создает засушливые условия. В целом агроклиматические условия пригодны для возделывания многих сельскохозяйственных культур.
Таблица 1 – Эффективность производства плодовой продукции
|
Показатель |
2021 г. |
2022 г. |
2023 г. |
|
Урожайность, ц с 1 га: |
268,1 |
175,3 |
156,7 |
|
- семечковых культур |
337,3 |
196,8 |
164,4 |
|
- косточковых культур |
92,5 |
39,4 |
110,0 |
|
Себестоимость производства, руб./ц: |
461,4 |
681,7 |
834,3 |
|
- семечковых культур |
439 |
661 |
836,1 |
|
- косточковых культур |
670 |
1344 |
822,8 |
|
Затраты на 1 га плодоносящего сада, тыс. руб./га: |
123,7 |
119,5 |
130,7 |
|
- семечковых культур |
148,1 |
130,1 |
137,5 |
|
- косточковых культур |
62,0 |
53,0 |
90,5 |
|
Выручка от реализации, тыс.руб./га: |
205,3 |
168,1 |
216,6 |
|
- семечковых культур |
247,9 |
183,4 |
210,4 |
|
- косточковых культур |
97,5 |
71,3 |
223,5 |
|
Прибыль от реализации, тыс. руб./га: |
81,6 |
48,6 |
85,9 |
|
- семечковых культур |
99,8 |
53,4 |
73,0 |
|
- косточковых культур |
35,5 |
18,4 |
133,0 |
|
Рентабельность продукции, % |
66,0 |
40,6 |
65,7 |
|
- семечковых культур |
67,4 |
41,0 |
53,1 |
|
- косточковых культур |
57,3 |
34,7 |
147,0 |
В специализированных предприятиях, имеющих значительную долю насаждений интенсивного типа, средняя урожайность плодов семечковых в 2023 г. составила в среднем свыше 160 ц с 1 га, а средняя цена реализации составила 1280,0 руб. за центнер. Выручка от реализации плодовой продукции с 1 га плодоносящего сада - более 200 тыс. руб. Оценивая, в общем, приведенные статистические и аналитические данные, следует сделать вывод, что, несмотря на достаточно высокую учетную рентабельность производства плодов семечковых (58% в год в среднем за анализируемый период), реальная эффективность имеет все предпосылки к снижению, обусловленные: темпами роста издержек, опережающими темпы роста цены реализации; средняя урожайность насаждений, достигнув в результате перехода на новые технологии сравнительно высоких показателей, имеет низкие в сопоставлении с ростом издержек темпы прироста и ограничивается биопотенциалом возделываемых сортов; ограничением роста оптовых цен реализации плодовой продукции монопольным положением посредников на рынке; высокой динамикой роста стоимости потребляемых производством ресурсов других секторов экономики. Все это, в свою очередь, обуславливает сокращение собственных средств предприятий на осуществление плановых реноваций (простое воспроизводство) насаждений и формирования в достаточном объеме оборотных средств.
Технолого-экономическая эффективность воспроизводственных процессов, как совокупность технологических и экономических эффектов, относительно природных и финансово-материальных издержек формируется в результате взаимодействия множества факторов. В таблице 2 приведена оценка взаимовлияний факторов эффективности производства плодовой продукции по стадиям производственного процесса, что является основой для проведения структурно-параметрической оптимизации производственных процессов воспроизводства.
Основными целями оптимизационного моделирования являются определение наилучших значений параметров структурных элементов организуемых производственных процессов относительно установленных или задаваемых критериев технологической и экономической эффективности, которое осуществляется посредством методического инструментария, содержащего аналитический, конструкционный и математический аппарат.
Для комплексного решения такой многофункциональной задачи, как формирование рациональной структуры насаждений, методический инструментарий содержит ряд локальных методик определения: оптимальных пропорций в породно-сортовой структуре насаждений; в организации землепользований; возрастной структуры насаждений; минимальной структурированной площади насаждений.
С учетом специфики возделывая многолетних плодовых культур, сроков эффективной эксплуатации насаждений, нормативов их реновации определена оптимальная породно-сортовая структура плодово-ягодных насаждений, а также оптимальная структура земельных ресурсов с соотношением площадей под насаждениями и пашней (62%: 38%) и минимальная структурированная площадь насаждений, которая должна быть не менее 160 га.
Таблица 2 – Эффективность структурной оптимизации
|
Показатель |
Значение |
Отклонение, (+/-) |
|
|
Фактические |
после оптимизации |
||
|
Доход от реализации, тыс. руб./га |
236,2 |
369,0 |
(+/-) |
|
Прибыль от реализации, тыс.руб./га |
85,3 |
150,3 |
132,8 |
|
Относительная величина дефицита денежных ресурсов, % |
27 |
25,8 |
65,0 |
|
Продолжительность периода дефицита оборотных средств, мес.
|
5 |
3 |
-1,2 |
|
Коэффициент оборачиваемости, оборотов |
3,4 |
4,2 |
-2,0 |
|
Рентабельность основных производственных фондов, % |
20,5 |
42,7 |
0,8 |
|
Рентабельность продукции, % |
56,5 |
68,7 |
22,2 |
|
Совокупные затраты относительно доходной части, % |
58,0 ¸ 61,5 |
|
Выручка от реализации, тыс. руб./га |
357,3 ¸ 491,2 |
|
Прибыль от реализации продукции, тыс. руб./га |
150,0 ¸ 189,1 |
Анализируя данные таблицы, можно сделать вывод что отклонения в основном все положительные кроме продолжительности периода дефицита оборотных средств, мес. и коэффициент оборачиваемости, оборотов.
1.2 Состав машинно-тракторного парка
От обеспечения производства необходимой техникой во многом зависит результат хозяйственной деятельности предприятия
Таблица 3 – Автопарк
|
Наименование машин |
Марка |
Год выпуска |
|
1 |
2 |
3 |
|
Легковой |
ГАЗ 3110 |
1999 |
|
Легковой |
ГАЗ 31105 |
2006 |
|
Легковой |
УАЗ 31514 |
2005 |
|
Легковой |
NISSAN X-TRAIL |
2013 |
|
Грузовой |
ГАЗ 2705 |
2000 |
|
Грузовой |
ГАЗ 5312 |
1989 |
|
Грузовой |
ЗИЛ 130 |
1989 |
|
Грузовой |
ГАЗ-САЗ 3507 |
1989 |
|
Грузовой |
ЗИЛ ММЗ 554 М |
1990 |
|
Грузовой |
ГАЗ 5312 АЦ |
1991 |
|
Грузовой |
ЗИЛ 43360 КО 529 |
1999 |
|
Грузовой |
2834 ДК |
2008 |
|
Грузовой |
ГАЗ-322173 |
2015 |
|
Грузовой |
ГАЗ 5212 АЦ |
1991 |
|
Грузовой |
ГАЗ53ГЗСН-950 |
1989 |
|
Грузовой |
ЗИЛ 130 |
1991 |
|
Автобус |
ПАЗ 3205 |
1993 |
|
Автобус |
ПАЗ 32053 |
2014 |
Таблица 4 – Тракторный парк
|
Наименование машин |
Марка |
Год выпуска |
|
1 |
2 |
3 |
|
Трактор |
МТЗ-80Л |
1989 |
|
Трактор |
МТЗ-80Л |
1991 |
|
Трактор |
МТЗ-80Л |
1990 |
|
Трактор |
МТЗ-82 |
1990 |
|
Трактор |
МТЗ-82.1 |
1999 |
|
Трактор |
МТЗ-82.1 |
1996 |
|
Трактор |
МТЗ-82.1 |
2001 |
|
Трактор |
МТЗ-82.1 |
2000 |
|
Трактор |
МТЗ-82.1 |
2000 |
|
Трактор |
МТЗ-82.1 |
1997 |
|
Трактор |
ХТЗ-150К-09 |
1982 |
|
Трактор |
"БЕЛАРУС-82.1" |
2008 |
|
Трактор |
"БЕЛАРУС-82.1" |
2010 |
|
Трактор |
ДТ-75М |
1990 |
|
Трактор |
ДТ-75ДЕХС4 |
2008 |
|
Трактор |
ДТ-75ДРС2 |
2000 |
|
Трактор |
КМЗ-0124 |
2004 |
|
Прицеп |
2ПТС-4 МОД. 887Б |
1998 |
|
Прицеп |
2ПТС-4 МОД. 887Б |
1991 |
|
Прицеп |
2ПТС-4,5 МОД. 8549 |
2002 |
Колёсные тракторы в основном применяются для полевых работ и внутрихозяйственных грузоперевозок. Они используются преимущественно в тёплое время года, хотя некоторые виды работ выполняются и зимой. Колёсные тракторы хранятся в помещении машинно-тракторной мастерской. Гусеничные тракторы работают круглогодично, основная нагрузка на них весной и зимой.
Автомобили используются круглогодично. Они применяются для перевозки сельскохозяйственных и промышленных грузов по дорогам всех видов. Все машины на ходу, поддерживаются в исправном состоянии.
В таблице 5 представлены сельскохозяйственные машины, которыми располагает предприятие
Таблица 5 – Парк сельскохозяйственных машин
|
Наименование машин |
Марка машин |
Год выпуска |
|
Комбайн зерноуборочный |
СК-5М-1"НИВА" |
2001 |
|
Экскаватор колесный |
ЭО-2621В-3 |
1991 |
|
Экскаватор колесный |
ЭО-2626/82 |
2000 |
|
Плуг |
ПЛН-4-35 |
1986/1988/1991 |
|
Плуг |
ПЛН-5-35 |
1986/1990 |
|
Плуг |
ПЛН-6-35 |
1986/1990 |
|
Плуг |
ВПН-2 |
1986/1988/1992 |
|
Плуг |
ПТК-9-35 |
1990 |
|
Культиваторы |
КПС-4 |
1986/1988/1990 |
|
Культиваторы |
КПС-4Г |
1986/1990 |
|
Культиваторы |
КПС-5 |
1986/1988/1990/1992 |
|
Культиваторы |
КШУ-12 |
1988 |
|
Культиваторы |
КРН-5,6 |
1986/1988/1990/1992 |
|
Сцепка |
СП-11Г |
1986/1988 |
|
Сцепка |
СП-11А |
1986/1988 |
|
Сцепка |
СП-16А |
1986/1988/1990 |
|
Сцепка |
С-11У |
1986/1988/1990/1992 |
|
Бороны дисковые |
БДТ-4 |
1986/1988/1990 |
|
Бороны дисковые |
БДТ-7 |
1988 |
|
Бороны зубчатые |
БЗСС-1,0 |
1986/1988/1990/1992 |
|
Катки |
ЗККШ-6 |
1986/1988 |
|
Катки |
ЗККТ-6 |
1986/1988/1990 |
|
Катки |
КЗК-6А |
1986 |
|
Катки |
КЗК-9 |
1988 |
|
Катки |
КП-6-420/2 |
1988 |
|
Зернопогрузчик |
ЗПС-100 |
1986/1988 |
|
Сеялки |
С3-3,6 |
1986/1990/1991 |
|
Сеялки |
СЗ-5,4 |
1986/1988 |
|
Сеялки |
СЗС-6 |
1986/1988/1990 |
|
Сеялки |
СЗУ-3,6 |
1986 |
|
Сеялки |
СПЧ-6 |
1992 |
|
Сеялки |
СТВ-12 |
1986 |
|
Сеялки |
СЗП-3,6 |
1988 |
|
Жатка |
ЖВН-6 |
1986/1988/1990 |
|
Жатка |
ПСП-10 |
1988 |
|
Жатка |
Geringhoff SC 1200 |
2007/2008 |
|
Жатка |
JD 930 |
2007/2008 |
|
Ботвоуборочная машина |
БМ-6 |
1990 |
|
Косилка |
ГПП-6 |
1985 |
|
Косилка |
КИР-1,5 |
1986 |
|
Косилка |
КПС-5 |
1987 |
|
Пресс-подборщик |
ПРФ-145 |
1988/1990 |
|
Сволакивать соломы |
ВТУ-10 |
1987 |
|
Грабли |
ГВН-6 |
1988 |
|
Грабли |
ГКК-6 |
1986 |
Приложение 8
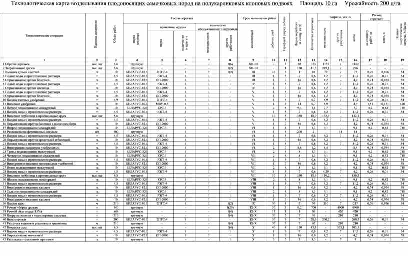
Технологическая карта возделывания озимой пшеницы Площадь 100 га Урожайность 50 ц/га Предшественник занятый пар
|
Технологические операции |
Единица измерения |
Объем работ |
Состав агрегата |
Срок выполнения работ |
Тарифный разряд работы |
Норма выработки за смену, га (т) |
Количество нормосмен |
Затраты, чел.-ч. |
Расход горючего |
Полные энергетические затраты, МДж/га |
||||||||
|
Марка трактора |
Прицепные орудия |
Количество обслуживающего персонала |
календарный |
рабочих дней |
механизаторов |
других работников |
всего |
на единицу работ, кг |
всего , ц |
|||||||||
|
марка |
количество в агрегате |
механизаторов |
других работников |
|||||||||||||||
|
1 |
2 |
3 |
4 |
5 |
6 |
7 |
8 |
9 |
10 |
11 |
12 |
13 |
14 |
15 |
16 |
17 |
18 |
19 |
|
1. Лущение почвы |
га |
100 |
БЕЛАРУС-82.1 |
Л-111 |
1 |
1 |
- |
VIII |
8 |
5 |
11,4 |
8,7 |
61 |
- |
61 |
4,8 |
4,8 |
157 |
|
2. Погрузка фосфорных и калийных удобрений |
т |
40 |
БЕЛАРУС-80.1 |
ПКУ-0,8А |
1 |
1 |
- |
VIII |
2 |
4 |
271 |
0,15 |
1,05 |
- |
1,05 |
0,17 |
0,07 |
51 |
|
3. Транспортировка и внесение минеральных удобрений |
га |
100 |
БЕЛАРУС-80.1 |
АВУ-0,8 |
1 |
1 |
- |
VIII |
2 |
5 |
49 |
2 |
14 |
- |
14 |
1,4 |
1,4 |
162 |
|
4. Погрузка навоза в разбрасыватель |
т |
3000 |
Амкодор |
- |
1 |
1 |
- |
VIII |
8 |
4 |
260 |
11,5 |
0,5 |
- |
0,5 |
0,14 |
4,2 |
755 |
|
5. Транспортировка в поле и разбрасывание навоза |
т |
3000 |
БЕЛАРУС-1221 |
ПРТ-10 |
1 |
1 |
- |
VIII |
8 |
5 |
100 |
30 |
210 |
- |
210 |
0,57 |
17,1 |
120 |
|
6. Вспашка |
га |
100 |
БЕЛАРУС-1523 |
ПГП-7-40 |
1 |
1 |
- |
VIII |
8 |
6 |
10 |
10 |
70 |
- |
70 |
15,2 |
15,2 |
874 |
|
7. Культивация с боронованием |
га |
100 |
БЕЛАРУС-1523 |
КПС-6М |
1 |
1 |
- |
IX |
2 |
5 |
68 |
5,6 |
39,2 |
- |
39,2 |
4,8 |
4,8 |
516 |
|
8. Выгрузка семян из хранилища в транспортные средства |
т |
24 |
Эл.дв. |
ПШП-4А |
1 |
1 |
1 |
IX |
1 |
4 |
71,4 |
0,3 |
2,1 |
2,1 |
4,2 |
- |
- |
5 |
|
9. Транспортировка семян на погрузочную площадку |
т |
24 |
ГАЗ-53 |
- |
1 |
1 |
|
IX |
1 |
- |
- |
- |
- |
- |
- |
- |
- |
200 |
|
10. Протравливание семян с погрузкой в автомобиль |
т |
24 |
- |
ПС-10 |
1 |
1 |
- |
IX |
1 |
5 |
60 |
0,4 |
2,8 |
- |
2,8 |
- |
- |
7 |
|
11. Транспортировка семян и удобрений в поле с загрузкой сеялок |
т |
24 |
ГАЗ-53 |
ЗАУ-3 |
1 |
1 |
- |
IX |
7 |
- |
- |
- |
- |
- |
- |
- |
- |
67 |
|
12. Предпосевная обработка почвы |
га |
100 |
БЕЛАРУС-1221 |
АКШ-7,2 |
1 |
1 |
- |
IX |
5 |
5 |
19,5 |
5,1 |
35,7 |
- |
35,7 |
4,7 |
4,7 |
470 |
|
13. Посев |
га |
100 |
БЕЛАРУС-82.1 |
СПУ-6 |
1 |
1 |
- |
IX |
7 |
7 |
12 |
8,3 |
58,1 |
|
58,1 |
3,6 |
3,6 |
388 |
|
14. Подвоз воды и приготовление раствора |
т |
40 |
БЕЛАРУС-80.1 |
АПЖ-12 |
1 |
1 |
1 |
X |
4 |
4 |
74,3 |
3,5 |
24,5 |
24,5 |
49 |
0,5 |
0,02 |
118 |
|
15. Химпрополка агритоксом |
га |
100 |
БЕЛАРУС-80.1 |
ОП-2000 |
1 |
1 |
- |
X |
4 |
6 |
25 |
4 |
28 |
- |
28 |
1,1 |
1,1 |
120 |
|
16. Подвоз воды и приготовление раствора |
т |
40 |
БЕЛАРУС-80.1 |
АПЖ-12 |
1 |
1 |
1 |
X |
4 |
5 |
74,3 |
3,5 |
24,5 |
24,5 |
49 |
0,5 |
0,02 |
118 |
|
17. Обработка посевов фундазолом |
га |
100 |
БЕЛАРУС-80.1 |
ОП-2000 |
1 |
1 |
- |
X |
4 |
6 |
25 |
4 |
28 |
- |
28 |
1,1 |
1,1 |
120 |
|
18. Подвоз воды, КАС и приготовление раствора |
т |
60 |
БЕЛАРУС-80.1 |
АПЖ-12 |
1 |
1 |
1 |
IV |
4 |
5 |
74,3 |
0,8 |
5,6 |
5,6 |
11,2 |
0,5 |
0,02 |
118 |
|
19. Обработка посевов КАСом и фунгицидом |
га |
100 |
БЕЛАРУС-80.1 |
ОП-2000 |
1 |
1 |
- |
IV |
4 |
6 |
25 |
4 |
28 |
- |
28 |
1,1 |
1,1 |
120 |
|
20. Погрузка азотных удобрений |
т |
18 |
БЕЛАРУС-80.1 |
ПКУ-0,8А |
1 |
1 |
- |
V |
3 |
4 |
50 |
0,36 |
2,52 |
- |
2,52 |
0,27 |
0,05 |
51 |
|
21. Транспортировка и внесение удобрений |
га |
100 |
БЕЛАРУС-80.1 |
МВУ-5А |
1 |
1 |
- |
V |
3 |
5 |
28 |
3,6 |
25,2 |
- |
25,2 |
1,3 |
1,3 |
120 |
|
22. Подвоз воды и приготовление раствора |
т |
60 |
БЕЛАРУС-80.1 |
АПЖ-12 |
1 |
1 |
1 |
IV |
4 |
5 |
74,3 |
0,8 |
5,6 |
5,6 |
11,2 |
0,5 |
0,02 |
118 |
|
23. Обработка посевов против болезней и вредителей (актара + импакт) |
га |
100 |
БЕЛАРУС-80.1 |
ОП-2000 |
1 |
1 |
- |
IV |
4 |
6 |
25 |
4 |
28 |
- |
28 |
1,1 |
1,1 |
120 |
|
24. Погрузка азотных удобрений |
т |
9 |
БЕЛАРУС-80.1 |
ПКУ-0,8А |
1 |
1 |
- |
VI |
3 |
4 |
48 |
0,2 |
1,4 |
- |
1,4 |
0,27 |
0,05 |
51 |
|
25. Транспортировка и внесение удобрений |
га |
100 |
БЕЛАРУС-80.1 |
МВУ-5А |
1 |
1 |
- |
VI |
3 |
5 |
28 |
3,6 |
25,2 |
- |
25,2 |
1,3 |
1,3 |
120 |
|
26. Прямое комбайнирование |
га |
100 |
- |
Лида-1300 |
1 |
1 |
1 |
VIII |
5 |
8 |
18 |
5,6 |
39,2 |
39,2 |
78,4 |
11,3 |
11,3 |
3198 |
|
27. Отвоз зернового вороха |
т |
500 |
ЗИЛ-ММЗ-554М |
- |
1 |
1 |
- |
VIII |
5 |
- |
- |
- |
- |
- |
- |
- |
- |
200 |
|
28. Очистка и сушка зерна |
т |
500 |
- |
М-819 |
1 |
1 |
4 |
VIII |
5 |
5 |
77 |
6,5 |
45,5 |
182 |
227,5 |
5,8 |
29,0 |
900 |
|
29. Отвоз зерна на склад |
т |
450 |
ГАЗ-53 |
- |
1 |
1 |
- |
VIII |
5 |
- |
- |
- |
- |
- |
- |
- |
- |
200 |
|
30. Своз копен соломы к месту скирдования |
т |
600 |
БЕЛАРУС-1221 |
ВТН-5 |
1 |
1 |
- |
IX |
10 |
5 |
28 |
17,9 |
125,3 |
- |
125,3 |
4,1 |
4,1 |
702 |
|
31. Скирдование соломы |
т |
600 |
БЕЛАРУС-80.1 |
ПУ-Ф-0,5 |
1 |
1 |
2 |
IX |
10 |
5 |
25 |
20 |
140 |
280 |
420 |
2,9 |
2,9 |
726 |
Технологическая карта возделывания ярового ячменя Площадь 100 га Урожайность 52,5 ц/га Предшественник пропашные
|
Технологические операции |
Единица измерения |
Объем работ |
Состав агрегата |
Срок выполнения работ |
Тарифный разряд работы |
Норма выработки за смену?, га (т) |
Количество нормосмен |
Затраты, чел.-ч. |
Расход горючего |
Полные энергетические затраты, МДж/га |
|||||||||
|
механизаторов |
других работников |
всего |
на единицу работ, кг |
всего, ц |
|||||||||||||||
|
марка трактора |
прицепные орудия |
количество обслуживающего персонала |
календарный |
рабочих дней |
|||||||||||||||
|
марка |
количество в агрегате |
механизаторов |
других работников |
||||||||||||||||
|
1 |
2 |
3 |
4 |
5 |
6 |
7 |
8 |
9 |
10 |
11 |
12 |
13 |
14 |
15 |
16 |
17 |
18 |
19 |
|
|
1 Погрузка фосфорных и калийных удобрений |
т |
30 |
БЕЛАРУС-80.1 |
ПФ-05 |
1 |
1 |
1 |
IX |
2 |
4 |
50 |
0,6 |
4,2 |
4,2 |
8,4 |
0,37 |
0,11 |
51 |
|
|
2 Транспортировка и внесение удобрений |
га |
50 |
БЕЛАРУС-1221 |
РУМ-8 |
1 |
1 |
- |
IX |
2 |
5 |
40 |
1,3 |
8,8 |
- |
8,8 |
2,1 |
1,05 |
162 |
|
|
50 |
БЕЛАРУС-1221 |
Амазоне |
1 |
1 |
- |
IX |
2 |
5 |
55 |
0,9 |
6,4 |
- |
6,4 |
1,8 |
0,9 |
||||
|
3 Вспашка почвы |
га |
50 |
БЕЛАРУС-1523 |
ППО-5-35 |
1 |
1 |
- |
VIII |
8 |
5 |
6,0 |
8,3 |
58,3 |
- |
58,3 |
13,7 |
6,85 |
830 |
|
|
50 |
Джон-Дир |
9-корвел |
1 |
1 |
- |
VIII |
3 |
6 |
15 |
3,3 |
23,3 |
- |
23,3 |
19,4 |
19,4 |
||||
|
4 Культивация с боронованием |
га |
100 |
БЕЛАРУС-1221 |
КПС-6 |
1 |
1 |
- |
IX |
6 |
4 |
15 |
6,7 |
46,9 |
- |
46,9 |
3,4 |
3,4 |
284 |
|
|
5 Культивация с боронованием |
га |
100 |
БЕЛАРУС-1221 |
КПС-6 |
1 |
1 |
- |
IV |
6 |
4 |
15 |
6,7 |
46,9 |
- |
46,9 |
3,4 |
3,4 |
284 |
|
|
6 Погрузка азотных удобрений |
т |
24 |
БЕЛАРУС-80.1 |
ПФ-0,8 |
1 |
1 |
1 |
IV |
2 |
4 |
48 |
0,5 |
3,5 |
3,5 |
7 |
0,37 |
0,11 |
51 |
|
|
7 Транспортировка и внесение удобрений |
га |
50 |
БЕЛАРУС-1221 |
РУМ-8 |
1 |
1 |
- |
IV |
2 |
5 |
40 |
1,3 |
9,1 |
- |
9,1 |
2,1 |
1,05 |
162 |
|
|
50 |
БЕЛАРУС-1221 |
Амазоне |
1 |
1 |
- |
IV |
2 |
5 |
55 |
0,9 |
6,4 |
- |
6,4 |
1,8 |
0,9 |
||||
|
8 Протравливание семян с погрузкой |
т |
23 |
- |
ПС-10 |
1 |
1 |
1 |
IV |
1 |
7 |
40 |
0,6 |
4,0 |
4,0 |
8 |
- |
- |
7 |
|
|
9 Подвоз семян с загрузкой сеялок |
т |
23 |
ГАЗ-53 |
ЗАУ-3 |
1 |
1 |
1 |
IV |
2 |
- |
- |
- |
- |
- |
- |
- |
- |
67 |
|
|
10 Предпосевная обработка почвы |
га |
100 |
БЕЛАРУС-1221 |
АКШ-7,2 |
1 |
1 |
- |
V |
5 |
5 |
19,5 |
5,1 |
35,9 |
- |
35,9 |
4,6 |
4,6 |
116 |
|
|
11 Посев ячменя |
га |
50 |
БЕЛАРУС1221 |
СПУ-6 |
1 |
1 |
1 |
IV |
2 |
7 |
24,6 |
2,0 |
14 |
14 |
28 |
3,6 |
1,8 |
632 |
|
|
50 |
Джон-Дир |
Амазоне |
1 |
1 |
1 |
IV |
2 |
7 |
24 |
2,1 |
14,7 |
14,7 |
29,4 |
9,5 |
4,8 |
|
|||
|
12 Подвоз воды и КАС |
т |
40 |
БЕЛАРУС-82.1 |
РЖТ-8 |
1 |
1 |
1 |
V |
2 |
4 |
25 |
1,6 |
11,2 |
- |
11,2 |
0,76 |
0,3 |
54 |
|
|
13 Смешивание и внесение КАС |
га |
50 |
БЕЛАРУС-82.1 |
ОП-2000 |
1 |
1 |
1 |
V |
2 |
7 |
25 |
2 |
14 |
- |
14 |
1,5 |
0,75 |
58 |
|
|
50 |
БЕЛАРУС-82.1 |
Джон-Дир |
1 |
1 |
1 |
V |
2 |
7 |
36 |
1,4 |
9,7 |
- |
9,7 |
1,0 |
0,5 |
||||
|
14 Подвоз воды и приготовление раствора |
т |
40 |
БЕЛАРУС-82.1 |
РЖТ-8 |
1 |
1 |
1 |
V |
4 |
4 |
27 |
1,5 |
10,5 |
10,5 |
21 |
0,76 |
0,3 |
54 |
|
|
15 Химпрополка посевов (прима + фунгицид акробат) |
га |
100 |
БЕЛАРУС-82.1 |
ОП-2000 |
1 |
1 |
- |
V |
4 |
7 |
25 |
4 |
28 |
- |
28 |
1,5 |
1,5 |
58 |
|
|
16 Погрузка азотных удобрений |
т |
15 |
БЕЛАРУС-80.1 |
ПФ-0,5 |
1 |
1 |
1 |
VI |
7 |
4 |
14 |
1,1 |
7,7 |
7,7 |
15,4 |
0,37 |
0,05 |
51 |
|
|
17 Подкормка ячменя |
га |
100 |
БЕЛАРУС-80.1 |
МВУ-0,5 |
1 |
1 |
- |
VI |
7 |
5 |
14 |
7,1 |
49,7 |
- |
49,7 |
1,1 |
1,1 |
120 |
|
|
18 Прямое комбайнирование |
га |
50 |
- |
Лида-1300 |
1 |
1 |
1 |
VIII |
3 |
8 |
15,5 |
3,2 |
22,6 |
22,6 |
45,2 |
11,3 |
5,6 |
3198 |
|
|
50 |
- |
Мега |
1 |
1 |
1 |
VIII |
3 |
8 |
17,5 |
2,9 |
20 |
20 |
40 |
3,5 |
1,75 |
||||
|
19 Отвоз зерна |
т |
525 |
ГАЗ-53 |
- |
1 |
1 |
- |
VIII |
3 |
- |
- |
- |
- |
- |
- |
- |
- |
200 |
|
|
20 Очистка и сушка зерна |
т |
525 |
- |
М-819 |
1 |
1 |
4 |
VIII |
6 |
5 |
77 |
6,8 |
47,6 |
194 |
238 |
4,0 |
21,0 |
900 |
|
|
21 Отвоз зерна на склад |
т |
470 |
ГАЗ-53 |
- |
1 |
1 |
- |
VIII |
6 |
- |
- |
- |
- |
- |
- |
- |
- |
200 |
|
|
22 Прессование соломы в рулоны |
т |
455 |
БЕЛАРУС-82.1 |
ПРП-1,6 |
1 |
1 |
- |
VIII |
20 |
5 |
12 |
37,9 |
265,3 |
- |
265,3 |
1,8 |
8,2 |
726 |
|
|
23 Погрузка рулонов |
т |
455 |
БЕЛАРУС-82.1 |
ПКУ-0,8 |
1 |
1 |
- |
VIII |
20 |
4 |
20 |
22,6 |
158,2 |
- |
158,2 |
0,8 |
0,4 |
365 |
|
|
24 Подвоз рулонов |
т |
455 |
БЕЛАРУС-82.1 |
ГКБ-887Б |
1 |
1 |
- |
VIII |
20 |
4 |
18 |
25,3 |
167,9 |
- |
176,9 |
0,8 |
0,4 |
1045 |
|
|
25 Укладка рулонов в скирду |
т |
455 |
БЕЛАРУС-82.1 |
ПКУ-0,8 |
1 |
1 |
2 |
VIII |
20 |
4 |
20 |
22,6 |
158,2 |
316,4 |
474,6 |
0,8 |
0,4 |
292 |
|
Технологическая карта возделывания горох на зерно Площадь 100 га Урожайность 40 ц/га Предшественник озимые
|
Технологические операции |
Единица измерения |
Объем работ |
Состав агрегата |
Срок выполнения работ |
Тарифный разряд работы |
Норма выработки за смену, га (т) |
Количество нормосмен |
Затраты, чел. ч. |
Расход горючего |
Полные энергетические затраты, МДж/га |
|||||||||
|
механизаторов |
других работников |
всего |
на единицу работ, кг |
всего, ц |
|||||||||||||||
|
марка трактора |
прицепные орудия |
количество обслуживающего персонала |
календарный |
рабочих дней |
|||||||||||||||
|
марка |
количество в агрегате |
механизаторов |
других работников |
||||||||||||||||
|
1 |
2 |
3 |
4 |
5 |
6 |
7 |
8 |
9 |
10 |
11 |
12 |
13 |
14 |
15 |
16 |
17 |
18 |
19 |
|
|
1 Лущение почвы |
га |
100 |
БЕЛАРУС-1523 |
БДТ-7 |
1 |
1 |
- |
VIII |
4 |
5 |
16,5 |
6,1 |
42,7 |
- |
42,7 |
5,5 |
5,5 |
414 |
|
|
2 Погрузка фосфорных и калийных удобрений |
т |
26 |
БЕЛАРУС-80.1 |
ПКУ-0,8 |
1 |
1 |
1 |
VIII |
1 |
4 |
80 |
0,3 |
2,1 |
2,1 |
4,2 |
0,17 |
0,04 |
51 |
|
|
3 Смешивание минеральных удобрений |
т |
24 |
БЕЛАРУС-82.1 |
ИСУ-4А |
1 |
1 |
1 |
VII |
4 |
4 |
46,5 |
0,5 |
3,5 |
3,5 |
7,0 |
0,17 |
0,04 |
495 |
|
|
4 Транспортировка и внесение удобрений |
га |
100 |
БЕЛАРУС-80.1 |
МВУ-5 |
1 |
1 |
- |
VIII |
4 |
5 |
24,5 |
4,1 |
28,7 |
|
28,7 |
1,4 |
1,4 |
162 |
|
|
5 Вспашка |
га |
100 |
БЕЛАРУС-2523 |
ПГП-7-40 |
1 |
1 |
- |
VIII |
8 |
7 |
11,9 |
8,4 |
58,8 |
- |
58,8 |
15,2 |
15,2 |
874 |
|
|
6 Заделка борозд |
га |
8 |
БЕЛАРУС-82.1 |
БДТ-3 |
1 |
1 |
- |
IX |
1 |
4 |
6,0 |
1,3 |
9,1 |
- |
9,1 |
7,4 |
7,4 |
627 |
|
|
7 Культивация почвы |
га |
200 |
БЕЛАРУС-1221 |
КПС-6 |
1 |
1 |
- |
IX |
5 |
6 |
18 |
11,1 |
77,7 |
- |
77,7 |
9,6 |
19,2 |
516 |
|
|
8 Культивация с боронованием |
га |
100 |
БЕЛАРУС-1221 |
КПС-6 |
1 |
1 |
- |
IV |
5 |
6 |
18 |
5,6 |
39,2 |
- |
39,2 |
4,8 |
4,8 |
258 |
|
|
9 Погрузка азотных удобрений |
т |
7 |
БЕЛАРУС-80.1 |
ПКУ-0,8 |
1 |
1 |
1 |
IV |
1 |
4 |
80 |
0,1 |
0,7 |
0,7 |
1,4 |
0,17 |
0,01 |
51 |
|
|
10 Транспортировка и внесение удобрений |
га |
100 |
БЕЛАРУС-82.1 |
Амазоне |
1 |
1 |
- |
IV |
3 |
5 |
30 |
3,3 |
23,1 |
- |
23,1 |
1,4 |
1,4 |
162 |
|
|
11 Предпосевная обработка почвы |
га |
100 |
БЕЛАРУС-1221 |
АКШ-6 |
1 |
1 |
- |
IV |
5 |
6 |
18 |
5,6 |
39,2 |
|
39,2 |
4,7 |
4,7 |
288 |
|
|
12 Протравливание семян с погрузкой |
т |
25 |
- |
ПС-10 |
1 |
1 |
1 |
IV |
1 |
7 |
42 |
0,6 |
4,2 |
4,2 |
8,4 |
- |
- |
7 |
|
|
13 Подвоз семян с загрузкой сеялок |
т |
25 |
ГАЗ-53 |
ЗАУ-3 |
1 |
1 |
- |
IV |
5 |
- |
- |
- |
- |
- |
- |
- |
- |
67 |
|
|
14 Посев гороха |
га |
100 |
БЕЛАРУС-1221 |
СПУ-6 |
1 |
1 |
- |
IV |
5 |
7 |
17 |
5,9 |
41,3 |
|
41,3 |
2,9 |
2,9 |
388 |
|
|
15 Боронование посевов до всходов и после всходов |
га |
200 |
БЕЛАРУС-80.1 |
8-БЗСС-1 |
1 |
1 |
- |
V |
6 |
6 |
11 |
18,2 |
127,4 |
- |
127,4 |
3,8 |
7,6 |
116 |
|
|
16 Подвоз воды и приготовление раствора |
т |
40 |
БЕЛАРУС-82.1 |
РЖТ-5 |
1 |
1 |
1 |
V |
2 |
5 |
20 |
2 |
14 |
14 |
28 |
0,43 |
0,2 |
54 |
|
|
17 Химическая обработка гезагардом |
га |
100 |
БЕЛАРУС-82.1 |
ОП-2000 |
1 |
1 |
- |
V |
4 |
7 |
25 |
4 |
28 |
- |
28 |
1,25 |
1,25 |
58 |
|
|
18 Подвоз воды и приготовление раствора |
т |
120 |
БЕЛАРУС-82.1 |
РЖТ-5 |
1 |
1 |
1 |
VI |
6 |
5 |
20 |
6 |
42 |
42 |
84 |
0,43 |
0,2 |
165 |
|
|
19 Химическая обработка против вредителей (карате зеон) |
га |
300 |
БЕЛАРУС-82.1 |
ОП-2000 |
1 |
1 |
- |
VI |
12 |
7 |
25 |
12 |
84 |
- |
84 |
1,25 |
3,75 |
174 |
|
|
20 Подвоз воды и приготовление раствора |
т |
40 |
БЕЛАРУС-82.1 |
РЖТ-5 |
1 |
1 |
1 |
V |
2 |
5 |
20 |
2 |
14 |
14 |
28 |
0,43 |
0,42 |
55 |
|
|
21 Химпрополка базаграном |
га |
100 |
БЕЛАРУС-82.1 |
ОП-2000 |
1 |
1 |
- |
V |
4 |
7 |
25 |
4 |
28 |
- |
28 |
1,25 |
1,25 |
58 |
|
|
22 Прямое комбайнирование |
га |
100 |
Мега |
- |
1 |
1 |
1 |
VIII |
6 |
7 |
16 |
6,3 |
44,1 |
44,1 |
88,2 |
3,5 |
3,5 |
3198 |
|
|
23 Отвоз зерна |
т |
400 |
ЗИЛ-ММЗ-554 |
1 |
1 |
- |
VIII |
6 |
- |
- |
- |
- |
- |
- |
- |
- |
200 |
||
|
24 Очистка и сушка зерна |
т |
400 |
Арат-618 |
- |
1 |
1 |
4 |
VIII |
4 |
6 |
118 |
3,4 |
23,8 |
95,2 |
119 |
5,8 |
23,2 |
900 |
|
|
25 Отвоз зерна на склад |
т |
350 |
ЗИЛ-ММЗ-554 |
1 |
1 |
- |
VIII |
6 |
- |
- |
- |
- |
- |
- |
- |
- |
200 |
||
|
26 Сталкивание соломы |
т |
200 |
БЕЛАРУС-1221 |
ВТН-5 |
1 |
1 |
- |
VIII |
10 |
5 |
20 |
10 |
70 |
- |
70 |
4,1 |
8,2 |
702 |
|
|
27 Погрузка соломы |
т |
200 |
БЕЛАРУС-80.1 |
ПУ-Ф-0,5 |
1 |
1 |
- |
VIII |
8 |
4 |
25 |
8 |
56 |
- |
56 |
2,9 |
5,8 |
365 |
|
|
28 Отвоз соломы на ферму |
т |
200 |
БЕЛАРУС-1221 |
ПНМ-45 |
1 |
1 |
- |
VIII |
10 |
4 |
18 |
11,1 |
77,7 |
- |
77,7 |
0,8 |
1,6 |
1045 |
|
Технологическая карта
возделывания озимого рапса Площадь 100
га Урожайность 30 ц/га Предшественник однолетние травы
|
Технологические операции |
Единица измерения |
Объем работ |
Состав агрегата |
Срок выполнения работ |
Тарифный разряд работы |
Норма выработки за смену, га (т) |
Количество нормосмен |
Затраты, чел.-ч. |
Расход горючего |
Полные энергетические затраты, МДж/га |
|||||||||
|
механизаторов |
других работников |
всего |
на единицу работ, кг |
всего, ц |
|||||||||||||||
|
марка трактора |
прицепные орудия |
количество обслуживающего персонала |
календарный |
рабочих дней |
|||||||||||||||
|
марка |
количество в агрегате |
механизаторов |
других работников |
||||||||||||||||
|
1 |
2 |
3 |
4 |
5 |
6 |
7 |
8 |
9 |
10 |
11 |
12 |
13 |
14 |
15 |
16 |
17 |
18 |
19 |
|
|
1 Подвоз воды и приготовление раствора |
т |
40 |
БЕЛАРУС-1221 |
МЖТ-11 |
1 |
1 |
1 |
VIII |
4 |
4 |
39 |
1,0 |
7 |
7 |
14 |
0,92 |
0,4 |
123 |
|
|
2 Внесение глифоса |
га |
100 |
БЕЛАРУС-82.1 |
ОП-2000 |
1 |
1 |
- |
VIII |
4 |
7 |
25 |
4 |
28 |
- |
28 |
0,74 |
0,09 |
58 |
|
|
3 Погрузка фосфорных и калийных удобрений |
т |
24 |
БЕЛАРУС-80.1 |
ПФ-08 |
1 |
1 |
- |
VII |
4 |
4 |
50 |
0,5 |
3,5 |
- |
3,5 |
0,1 |
0,04 |
51 |
|
|
4 Смешивание минеральных удобрений |
т |
24 |
БЕЛАРУС-82.1 |
ИСУ-4А |
1 |
1 |
1 |
VII |
4 |
4 |
46,5 |
0,5 |
3,5 |
3,5 |
7,0 |
0,17 |
0,04 |
495 |
|
|
5 Транспортировка и внесение удобрений |
га |
50 |
БЕЛАРУС-1221 |
РУМ-8 |
1 |
1 |
- |
VII |
2 |
5 |
40 |
1,3 |
9,1 |
- |
9,1 |
2,1 |
1,05 |
60 |
|
|
50 |
БЕЛАРУС-82.1 |
МДС-1141 |
1 |
1 |
- |
VII |
2 |
5 |
45 |
1,1 |
7,7 |
- |
7,7 |
1,8 |
0,9 |
||||
|
6 Вспашка |
га |
50 |
БЕЛАРУС-1523 |
ПГПО-5-35 |
1 |
1 |
- |
VII |
5 |
5 |
6,0 |
8,3 |
58,3 |
- |
58,3 |
19 |
19 |
874 |
|
|
50 |
Джон-Дир |
9-карнелл |
1 |
1 |
- |
VII |
5 |
6 |
15 |
3,3 |
23,3 |
- |
23,3 |
12,4 |
19,4 |
1573 |
|||
|
7 Культивация с боронованием |
га |
100 |
БЕЛАРУС-1221 |
КПС-6 |
1 |
1 |
- |
VIII |
6 |
4 |
15 |
6,7 |
46,9 |
- |
46,9 |
3,4 |
3,4 |
284 |
|
|
8 Предпосевная обработка почвы |
га |
100 |
БЕЛАРУС-1221 |
АКШ-7,2 |
1 |
1 |
- |
VIII |
5 |
5 |
19,5 |
5,1 |
35,9 |
- |
35,9 |
4,6 |
4,6 |
116 |
|
|
9 Протравливание семян |
т |
0,7 |
- |
ПС-10 |
1 |
1 |
1 |
VIII |
1 |
7 |
40 |
0,02 |
0,1 |
0,1 |
0,2 |
- |
- |
7 |
|
|
10 Подвоз семян с загрузкой сеялок |
т |
0,7 |
ГАЗ-53 |
ЗАУ-3 |
1 |
1 |
- |
VIII |
2 |
3 |
- |
- |
- |
- |
- |
- |
- |
67 |
|
|
11 Посев рапса |
га |
50 |
БЕЛАРУС-1221 |
СПУ-6 |
1 |
1 |
1 |
VIII |
2 |
7 |
24,6 |
2,0 |
14 |
7 |
21 |
3,6 |
1,8 |
635 |
|
|
50 |
Джон-Дир |
Амазонс |
1 |
1 |
1 |
VIII |
2 |
7 |
24 |
2,1 |
14,7 |
7 |
21,7 |
1,8 |
0,9 |
||||
|
12 Подвоз воды, КАС и приготовление раствора |
т |
40 |
БЕЛАРУС-1221 |
АПЖ-12 |
1 |
1 |
1 |
IV |
4 |
4 |
74,3 |
0,5 |
3,5 |
3,5 |
7 |
0,5 |
0,02 |
123 |
|
|
13 Подкормка посевов |
га |
100 |
БЕЛАРУС-82.1 |
ОП-2000 |
1 |
1 |
- |
IV |
4 |
7 |
25 |
4 |
28 |
7 |
35 |
1,5 |
1,5 |
58 |
|
|
14 Погрузка азотных удобрений |
т |
14 |
БЕЛАРУС-80.1 |
ПФ-0,8 |
1 |
1 |
1 |
V |
4 |
4 |
48 |
0,1 |
0,7 |
0,7 |
1,4 |
0,17 |
0,04 |
246 |
|
|
15 Подкормка посевов |
га |
200 |
БЕЛАРУС-82.1 |
МВУ-0,5 |
1 |
1 |
- |
V |
4 |
5 |
14 |
14,3 |
100,1 |
|
100,1 |
3,02 |
3,02 |
60 |
|
|
16 Подвоз воды и приготовление раствора |
т |
40 |
БЕЛАРУС-1221 |
МЖТ-11 |
1 |
1 |
1 |
VI |
5 |
4 |
39 |
1,0 |
7 |
7 |
14 |
0,92 |
0,4 |
123 |
|
|
17 Обработка посевов фастаком + бором + регуляторами роста |
га |
100 |
БЕЛАРУС-82.1 |
ОП-2000 |
1 |
1 |
- |
VI |
7 |
7 |
25 |
4 |
28 |
- |
28 |
0,74 |
0,74 |
58 |
|
|
18 Прямое комбайнирование |
га |
50 |
- |
Лида-1300 |
1 |
1 |
1 |
VII |
8 |
8 |
15,5 |
3,2 |
22,4 |
22,4 |
44,8 |
11,3 |
5,6 |
3198 |
|
|
50 |
- |
Мега |
1 |
1 |
1 |
VII |
8 |
8 |
17,5 |
2,8 |
19,6 |
19,6 |
39,2 |
3,5 |
1,7 |
||||
|
19 Отвоз маслосемян |
т |
300 |
ГАЗ-53 |
- |
1 |
1 |
- |
VII |
5 |
- |
- |
- |
- |
- |
- |
- |
- |
200 |
|
|
20 Сушка и доработка маслосемян |
т |
300 |
- |
М-819 |
1 |
1 |
4 |
VII |
5 |
5 |
77 |
3,9 |
27,3 |
109,2 |
136,5 |
4,0 |
12,0 |
900 |
|
|
21 Отвоз маслосемян на склад |
т |
250 |
ГАЗ-53 |
- |
1 |
1 |
- |
VII |
5 |
- |
- |
- |
- |
- |
- |
- |
- |
200 |
|
Технологическая карта возделывания ярового рапса Площадь 100 га Урожайность 25 ц/га Предшественник озимые зерновые
|
Технологические операции |
Единица измерения |
Объем работ |
Состав агрегата |
Срок выполнения работ |
Тарифный разряд работы |
Норма выработки за смену, га (т) |
Количество нормосмен |
Затраты, чел.-ч. |
Расход горючего |
Полные энергетические затраты, МДж/га |
|||||||||
|
механизаторов |
других работников |
всего |
на единицу работ, кг |
всего, ц |
|||||||||||||||
|
марка трактора |
прицепные орудия |
количество обслуживающего персонала |
календарный |
рабочих дней |
|||||||||||||||
|
марка |
количество в агрегате |
механизаторов |
других работников |
||||||||||||||||
|
1 |
2 |
3 |
4 |
5 |
6 |
7 |
8 |
9 |
10 |
11 |
12 |
13 |
14 |
15 |
16 |
17 |
18 |
19 |
|
|
1 Лущение почвы |
га |
100 |
БЕЛАРУС-1523 |
БДТ-7 |
1 |
1 |
- |
VIII |
6 |
6 |
16,5 |
6,1 |
42,7 |
- |
42,7 |
5,5 |
5,5 |
414 |
|
|
2 Погрузка фосфорных и калийных удобрений |
т |
30 |
- |
Амкодор |
1 |
1 |
1 |
VIII |
3 |
5 |
50 |
0,6 |
4,2 |
4,2 |
8,4 |
0,55 |
0,2 |
51 |
|
|
3 Смешивание удобрений |
т |
30 |
БЕЛАРУС-80.1 |
ИСУ-4А |
1 |
1 |
1 |
VIII |
3 |
5 |
30 |
1 |
7 |
7 |
14 |
0,17 |
0,05 |
118 |
|
|
4 Транспортировка и внесение удобрений |
га |
100 |
БЕЛАРУС-82.1 |
МДС-1141 |
1 |
1 |
- |
VIII |
3 |
5 |
45 |
8,2 |
15,4 |
- |
15,4 |
1,7 |
1,7 |
162 |
|
|
5 Вспашка |
га |
100 |
Джон-Дир |
Челенджер |
1 |
1 |
- |
IX |
6 |
7 |
14 |
7,1 |
49,7 |
- |
49,7 |
19,4 |
19,4 |
820 |
|
|
6 Культивация с боронованием |
га |
100 |
БЕЛАРУС-1221 |
КПС-6 |
1 |
1 |
- |
X |
6 |
6 |
15 |
6,7 |
46,9 |
- |
46,9 |
4,6 |
4,6 |
284 |
|
|
7 Культивация с боронованием |
га |
100 |
БЕЛАРУС-1221 |
КПС-6 |
1 |
1 |
- |
IV |
6 |
6 |
15 |
6,7 |
46,9 |
- |
46,9 |
4,6 |
4,6 |
284 |
|
|
8 Погрузка азотных удобрений |
т |
13 |
- |
Амкодор |
1 |
1 |
1 |
IV |
3 |
5 |
50 |
0,3 |
2,1 |
2,1 |
4,2 |
0,55 |
0,07 |
51 |
|
|
9 Транспортировка и внесение удобрений |
га |
100 |
БЕЛАРУС-82.1 |
Амазоне |
1 |
1 |
1 |
IV |
3 |
5 |
30 |
3,3 |
23,1 |
- |
23,1 |
0,54 |
0,54 |
162 |
|
|
10 Протравливание семян |
т |
1,2 |
- |
ПС-10 |
1 |
1 |
- |
IV |
1 |
7 |
40 |
0,03 |
0,21 |
0,21 |
0,42 |
- |
- |
7 |
|
|
11 Подвоз семян с загрузкой сеялок |
т |
1,2 |
ГАЗ-53 |
ЗАУ-3 |
1 |
1 |
- |
IV |
8 |
- |
- |
- |
- |
- |
- |
- |
- |
67 |
|
|
12 Предпосевная обработка почвы |
га |
100 |
БЕЛАРУС-1221 |
АКШ-6 |
1 |
1 |
- |
IV |
5 |
6 |
18 |
5,6 |
39,2 |
- |
39,2 |
4,6 |
4,6 |
116 |
|
|
13 Посев рапса |
га |
100 |
БЕЛАРУС-1221 |
СПУ-6 |
1 |
1 |
- |
IV |
8 |
7 |
12 |
8,3 |
58,1 |
- |
58,1 |
2,9 |
2,9 |
632 |
|
|
14 Погрузка сульфата аммония |
т |
15 |
- |
Амкодор |
1 |
1 |
- |
V |
2 |
4 |
50 |
0,3 |
2,1 |
- |
2,7 |
0,55 |
0,8 |
51 |
|
|
15 Транспортировка и внесение удобрений |
га |
100 |
БЕЛАРУС-82.1 |
Амазоне |
1 |
1 |
- |
V |
2 |
4 |
45 |
2,2 |
15,4 |
- |
15,4 |
0,54 |
0,54 |
162 |
|
|
16 Подвоз воды и КАС |
т |
40/10 |
БЕЛАРУС-80.1 |
АПЖ-12 |
1 |
1 |
- |
V |
4 |
5 |
39 |
1,3 |
9,1 |
- |
9,1 |
0,76 |
0,76 |
54 |
|
|
17 Приготовление раствора и внесение КАС |
га |
100 |
БЕЛАРУС-82.1 |
ОП-2000 |
1 |
1 |
- |
V |
4 |
7 |
28 |
3,6 |
25,2 |
- |
25,2 |
1,5 |
1,5 |
58 |
|
|
18 Подвоз воды и приготовление раствора |
т |
40 |
БЕЛАРУС-80.1 |
АПЖ-12 |
1 |
1 |
- |
V |
3 |
5 |
39 |
1,0 |
7 |
- |
7 |
0,76 |
0,3 |
54 |
|
|
19 Химпрополка фюзиладом |
га |
100 |
БЕЛАРУС-82.1 |
Джакта |
1 |
1 |
- |
V |
3 |
7 |
31 |
3,2 |
22,4 |
- |
22,4 |
1,0 |
1,0 |
58 |
|
|
20 Подвоз воды и приготовление раствора |
т |
80 |
БЕЛАРУС-80.1 |
АПЖ-12 |
1 |
1 |
- |
VI |
3 |
5 |
39 |
2,1 |
14,7 |
- |
14,7 |
0,76 |
0,3 |
54 |
|
|
21 Обработка посевов инсектицидом (фастак) |
га |
200 |
БЕЛАРУС-82.1 |
Джакта |
1 |
1 |
- |
VI |
3 |
7 |
31 |
6,5 |
45,5 |
- |
45,5 |
1,0 |
1,0 |
58 |
|
|
22 Прямое комбайнирование |
га |
100 |
- |
Мега |
1 |
1 |
1 |
VII |
5 |
8 |
17,5 |
5,7 |
39,9 |
39,9 |
79,8 |
3,5 |
3,5 |
3198 |
|
|
23 Отвоз зерна |
т |
250 |
- |
ГАЗ-53 |
1 |
1 |
- |
VII |
5 |
- |
- |
- |
- |
- |
- |
- |
- |
200 |
|
|
24 Сушка и доработка зерна |
т |
250 |
- |
М-819 |
1 |
1 |
4 |
VII |
3 |
6 |
77 |
3,2 |
22,4 |
89,6 |
112 |
4,0 |
10,0 |
900 |
|
|
25 Отвоз зерна на склад |
т |
225 |
- |
ГАЗ-53 |
1 |
1 |
- |
VII |
3 |
- |
- |
- |
- |
- |
- |
- |
- |
200 |
|
Технологическая карта возделывания картофеля Площадь 100 га Урожайность 300 ц/га Предшественник зерновые
|
Технологические операции |
Единица измерения |
Объем работ |
Состав агрегата |
Срок выполнения работ |
Тарифный разряд работы |
Норма выработки за смену, га (т) |
Количество нормосмен |
Затраты, чел. ч. |
Расход горючего |
Полные энергетические затраты, МДж/га |
|||||||||
|
механизаторов |
других работников |
всего |
на единицу работ, кг |
всего, ц |
|||||||||||||||
|
марка трактора |
прицепные орудия |
количество обслуживающего персонала |
календарный |
рабочих дней |
|||||||||||||||
|
марка |
количество в агрегате |
механизаторов |
других работников |
||||||||||||||||
|
1 |
2 |
3 |
4 |
5 |
6 |
7 |
8 |
9 |
10 |
11 |
12 |
13 |
14 |
15 |
16 |
17 |
18 |
19 |
|
|
1 Лущение почвы |
га |
100 |
БЕЛАРУС-1523 |
БДТ-7 |
1 |
1 |
- |
VIII |
4 |
5 |
16,5 |
6,1 |
42,7 |
- |
42,7 |
5,5 |
5,5 |
157 |
|
|
2 Погрузка фосфорных и калийных удобрений |
т |
30 |
- |
ЭО-2621 |
1 |
1 |
- |
VIII |
2,5 |
4 |
140 |
0,03 |
0,21 |
- |
0,21 |
0,1 |
0,06 |
51 |
|
|
3 Смешивание минеральных удобрений |
т |
17,5 |
БЕЛАРУС-82.1 |
СУ-20 |
1 |
1 |
- |
IV |
2,5 |
4 |
7 |
2,5 |
17,5 |
- |
17,5 |
2,0 |
2,0 |
118 |
|
|
4 Транспортировка и внесение удобрений |
га |
100 |
БЕЛАРУС-82.1 |
РУМ-8 |
1 |
1 |
- |
VIII |
2,5 |
4 |
40 |
2,5 |
17,5 |
- |
17,5 |
2,05 |
2,05 |
162 |
|
|
5 Погрузка органических удобрений на ферме |
т |
7000 |
|
Амкодор |
1 |
1 |
- |
VIII |
10 |
5 |
240 |
29,2 |
204,2 |
- |
204,2 |
0,39 |
0,27 |
153 |
|
|
6 Транспортировка органических удобрений на поле |
т |
7000 |
БЕЛАРУС-1221 |
ПТС-9 |
1 |
1 |
- |
IХ |
10 |
5 |
71 |
98,6 |
690,2 |
- |
690,2 |
0,76 |
53,2 |
4771 |
|
|
7 Формирование бурта |
т |
7000 |
- |
ТО-323 |
1 |
1 |
- |
IХ |
10 |
5 |
530 |
13,2 |
92,4 |
9 |
92,4 |
0,55 |
38,5 |
414 |
|
|
8 Погрузка органических удобрений из бурта |
т |
7000 |
- |
Амкодор |
1 |
1 |
- |
IХ |
10 |
5 |
240 |
29,2 |
204,2 |
- |
204,2 |
0,55 |
38,5 |
755 |
|
|
9 Внесение органических удобрений |
т |
7000 |
БЕЛАРУС-1221 |
РОУ-6 |
1 |
1 |
- |
IХ |
10 |
5 |
129 |
54,3 |
380,1 |
- |
380,1 |
0,25 |
17,5 |
1397 |
|
|
10 Заделка органических удобрений |
га |
100 |
БЕЛАРУС-1221 |
БДТ-7 |
1 |
1 |
- |
IХ |
6 |
5 |
20 |
5,0 |
35 |
- |
35 |
7,62 |
7,62 |
627 |
|
|
11 Зяблевая вспашка |
га |
100 |
БЕЛАРУС-1221 |
ПГПО5-35 |
1 |
1 |
- |
IХ |
14 |
5 |
6,0 |
16,7 |
16,7 |
- |
16,7 |
13,74 |
13,74 |
874 |
|
|
12 Культивация с боронованием |
га |
100 |
БЕЛАРУС-1221 |
КПС-6 |
1 |
1 |
- |
Х |
5 |
6 |
18 |
5,6 |
39,2 |
- |
39,2 |
4,8 |
4,8 |
258 |
|
|
13 Погрузка азотных удобрений |
т |
17,5 |
- |
ЭО-2621 |
1 |
1 |
- |
IV |
2,5 |
4 |
140 |
0,1 |
0,7 |
- |
0,7 |
0,24 |
0,04 |
51 |
|
|
14 Транспортировка и внесение минеральных удобрений |
га |
100 |
БЕЛАРУС-82.1 |
РУМ-8 |
1 |
1 |
- |
IV |
2 |
4 |
50 |
2 |
14,0 |
- |
14,0 |
2,05 |
0,04 |
162 |
|
|
15 Культивация с боронованием |
га |
100 |
БЕЛАРУС-1221 |
КПС-6 |
1 |
1 |
- |
IV |
3,8 |
4 |
18 |
5,6 |
39,2 |
- |
39,2 |
4,8 |
4,8 |
258 |
|
|
16 Нарезка гребней |
га |
100 |
БЕЛАРУС-82.1 |
КОН-2,8 |
1 |
1 |
- |
IV |
8 |
5 |
8 |
12,5 |
87,5 |
- |
87,5 |
6,4 |
6,4 |
433 |
|
|
17 Переборка картофеля с загрузкой в контейнеры |
т |
400 |
- |
вручную |
- |
- |
1 |
IV |
8 |
3 |
0,7 |
571,4 |
|
4000 |
4000 |
- |
- |
- |
|
|
18 Погрузка посадочного материала в транспорт |
т |
400 |
- |
Эл. кара |
1 |
1 |
- |
IV |
8 |
4 |
48 |
8,3 |
58,1 |
- |
58,1 |
- |
- |
51 |
|
|
19 Транспортировка и загрузка сажалок |
т |
400 |
ГАЗ-53Б |
- |
1 |
1 |
- |
IV |
8 |
- |
- |
- |
- |
- |
- |
- |
- |
432 |
|
|
20 Посадка картофеля |
га |
100 |
БЕЛАРУС-82.1 |
КСМ-4А |
1 |
1 |
- |
IV |
8 |
6 |
6 |
16,7 |
116,9 |
- |
116,9 |
10,8 |
10,8 |
1052 |
|
|
21 Окучивание с боронованием до всходов |
га |
100 |
БЕЛАРУС-82.1 |
КОН-2,8 |
1 |
1 |
- |
V |
6 |
4 |
7 |
14,3 |
100,1 |
- |
100,1 |
9,0 |
9,0 |
433 |
|
|
22 Погрузка азотных удобрений |
час |
17,5 |
БЕЛАРУС-82.1 |
ПФ-0,5 |
1 |
1 |
- |
V |
2,5 |
4 |
7 |
2,5 |
17,5 |
- |
17,5 |
0,89 |
0,89 |
51 |
|
|
23 Окучивание с внесением удобрений |
га |
100 |
БЕЛАРУС-82.1 |
КОН-2,8 |
1 |
1 |
- |
V |
6 |
4 |
8,2 |
12,2 |
85,4 |
- |
85,4 |
9,0 |
9,0 |
433 |
|
|
24 Подвоз воды и приготовление раствора |
т |
40 |
БЕЛАРУС-82.1 |
РЖТ-5 |
1 |
1 |
1 |
V |
2 |
5 |
20 |
2 |
14 |
14 |
28 |
0,43 |
0,2 |
54 |
|
|
25 Химическая прополка зенкором |
га |
100 |
БЕЛАРУС-82.1 |
ОП-2000 |
1 |
1 |
- |
V |
4 |
7 |
25 |
4 |
28 |
- |
28 |
1,25 |
1,25 |
58 |
|
|
26 Транспортировка воды и приготовление раствора |
т |
120 |
БЕЛАРУС-80.1 |
РЖТ-5 |
1 |
1 |
- |
VII |
4 |
5 |
27 |
4,4 |
30,8 |
- |
30,8 |
1,29 |
1,6 |
54 |
|
|
27 Обработка против колорадского жука, фитофторы |
га |
300 |
БЕЛАРУС-80.1 |
ОП-2000 |
1 |
1 |
- |
VII |
4 |
7 |
20 |
15 |
105 |
- |
105 |
1,5 |
4,5 |
58 |
|
|
28 Скашивание ботвы |
га |
100 |
БЕЛАРУС-80.1 |
КИР-1,5 |
1 |
1 |
- |
IХ |
30 |
3 |
3 |
33,3 |
233 |
- |
233 |
15,2 |
15,2 |
1225 |
|
|
29. Уборка картофеля комбайном |
га |
80 |
БЕЛАРУС-82.1 |
КПК-3 |
1 |
1 |
4 |
IХ |
30 |
7/4 |
4,7 |
17 |
119 |
476 |
595 |
30,8 |
24,6 |
4122 |
|
|
30. Выкапывание картофеля картофелекопалкой |
га |
20 |
БЕЛАРУС-80.1 |
КТА-2,6 |
1 |
1 |
- |
IХ |
30 |
5 |
1,8 |
11,1 |
77,7 |
- |
77,7 |
10,2 |
10,2 |
2102 |
|
|
31. Подбор клубней вручную |
т |
600 |
- |
вручную |
1 |
1 |
6 |
IХ |
30 |
4 |
0,7 |
857,1 |
- |
5142,6 |
5142,6 |
- |
- |
- |
|
|
32 Транспортировка клубней |
т |
3000 |
ГАЗ-53 |
- |
1 |
1 |
- |
IХ |
30 |
- |
- |
- |
- |
- |
- |
- |
- |
2249 |
|
|
33 Сортировка картофеля |
т |
3000 |
КСП-25 |
- |
1 |
1 |
6 |
IХ |
20 |
5 |
60 |
50 |
350 |
2100 |
2450 |
- |
- |
1400 |
|
|
34 Отвоз картофеля в хранилище |
т |
2850 |
ГАЗ-53 |
- |
1 |
1 |
- |
IX |
30 |
- |
- |
- |
- |
- |
- |
- |
- |
2249 |
|
Технологическая карта возделывания сахарной свеклы Площадь 100 га Урожайность 500 ц/га Предшественник озимые
|
Технологические операции |
Единица измерения |
Объем работ |
Состав агрегата |
Срок выполнения работ |
Тарифный разряд работы |
Норма выработки за смену, га (т) |
Количество нормосмен |
Затраты, чел.-ч. |
Расход горючего |
Полные энергетические затраты, МДж/га |
|||||||||
|
механизаторов |
других работников |
всего |
на единицу работ, кг |
всего, ц |
|||||||||||||||
|
марка трактора |
прицепные орудия |
количество обслуживающего персонала |
календарный |
рабочих дней |
|||||||||||||||
|
марка |
количество в агрегате |
механизаторов |
других работников |
||||||||||||||||
|
1 |
2 |
3 |
4 |
5 |
6 |
7 |
8 |
9 |
10 |
11 |
12 |
13 |
14 |
15 |
16 |
17 |
18 |
19 |
|
|
1 Подвоз воды и приготовление раствора |
т |
40 |
БЕЛАРУС-80.1 |
АПЖ-12 |
1 |
1 |
- |
VIII |
4 |
4 |
74,3 |
0,5 |
3,8 |
|
3,8 |
0,5 |
0,2 |
56 |
|
|
2 Внесение глифоса |
га |
50 |
БЕЛАРУС-80.1 |
ОП-2000 |
1 |
1 |
1 |
VIII |
2 |
7 |
22 |
2,3 |
15,9 |
15,9 |
31,8 |
1,1 |
0,55 |
58 |
|
|
50 |
БЕЛАРУС-80.1 |
Галандец |
1 |
1 |
1 |
VIII |
2 |
7 |
28 |
1,8 |
12,5 |
12,5 |
25 |
1,1 |
0,55 |
||||
|
3 Погрузка фосфорных и калийных удобрений |
т |
38 |
БЕЛАРУС-80.1 |
ПФ-0,8 |
1 |
1 |
1 |
IX |
3 |
4 |
48 |
0,8 |
5,6 |
5,6 |
11,2 |
0,17 |
0,06 |
51 |
|
|
4 Транспортировка и внесение удобрений |
га |
100 |
БЕЛАРУС-1221 |
РУМ-8 |
1 |
1 |
- |
IX |
3 |
5 |
40 |
2,5 |
17,5 |
- |
17,5 |
3,5 |
3,5 |
162 |
|
|
5 Погрузки органических удобрений |
т |
7000 |
- |
Амкодор |
1 |
1 |
- |
IX |
15 |
5 |
240 |
29 |
203 |
- |
203 |
0,39 |
27,9 |
755 |
|
|
6 Транспортировка и внесение удобрений |
т |
7000 |
БЕЛАРУС-1221 |
ПРТ-10 |
1 |
1 |
- |
IX |
15 |
5 |
192 |
36,5 |
255,5 |
- |
255,5 |
0,6 |
0,42 |
5093 |
|
|
7 Вспашка |
га |
50 |
БЕЛАРУС-1523 |
ПГПО-5-35 |
1 |
1 |
- |
IX |
8 |
5 |
6 |
8,3 |
58,3 |
- |
58,3 |
13 |
6,5 |
874 |
|
|
50 |
Джон-Дир |
КУН-8 |
1 |
1 |
- |
IX |
4 |
6 |
11 |
4,5 |
31,8 |
- |
31,8 |
19,4 |
19,4 |
||||
|
8 Заделка разъемы борозд |
га |
20 |
БЕЛАРУС-1221 |
БДТ-3 |
1 |
1 |
- |
IX |
3 |
3 |
6 |
3,3 |
23,3 |
- |
23,3 |
9,4 |
9,4 |
627 |
|
|
9 Культивация с боронованием |
га |
100 |
БЕЛАРУС-1221 |
КПС-8 |
1 |
1 |
- |
IV |
6 |
4 |
15 |
6,7 |
46,9 |
- |
46,9 |
7,4 |
7,4 |
284 |
|
|
10 Погрузка азотных удобрений |
т |
24 |
БЕЛАРУС-80.1 |
ПФ-08 |
1 |
1 |
- |
IV |
4 |
4 |
50 |
0,5 |
3,5 |
- |
3,5 |
0,17 |
0,04 |
54 |
|
|
11 Транспортировка и внесение удобрений |
га |
100 |
БЕЛАРУС-80.1 |
МВУ-0,5 |
1 |
1 |
- |
IV |
4 |
7 |
14 |
7,1 |
49,7 |
- |
49,7 |
1,1 |
1,1 |
120 |
|
|
12 Сбор камней |
м3 |
20 |
БЕЛАРУС-80.1 |
2ПТС-4 |
1 |
1 |
1 |
IV |
5 |
3 |
1,0 |
20 |
140 |
140 |
280 |
- |
- |
- |
|
|
13 Отвоз камней |
т |
50 |
БЕЛАРУС-80.1 |
2ПТС-4 |
1 |
1 |
- |
IV |
5 |
3 |
10 |
5 |
35 |
- |
35 |
0,76 |
0,4 |
3813 |
|
|
14 Предпосевная обработка почвы |
га |
100 |
БЕЛАРУС-1221 |
АКШ-7,2 |
1 |
1 |
- |
IV |
5 |
4 |
19,5 |
5,1 |
35,7 |
- |
35,7 |
4,6 |
4,6 |
288 |
|
|
15 Посев свёклы |
га |
50 |
БЕЛАРУС-82.1 |
СТВ-12 |
1 |
1 |
1 |
IV |
5 |
7 |
8,2 |
6,1 |
42,7 |
42,7 |
85,4 |
3,5 |
1,75 |
759 |
|
|
50 |
БЕЛАРУС-1221 |
КУН-18 |
1 |
1 |
1 |
IV |
3 |
7 |
16,4 |
3 |
21 |
21 |
42 |
1,7 |
1,7 |
||||
|
16 Подвоз воды и приготовление раствора |
т |
40 |
БЕЛАРУС-80.1 |
РЖТ-4 |
1 |
1 |
1 |
V |
4 |
4 |
21 |
1,9 |
13,3 |
13,3 |
26,6 |
0,26 |
0,1 |
58 |
|
|
17 Химпрополка эптамом |
га |
100 |
БЕЛАРУС-80.1 |
Мекосан 2000 |
1 |
1 |
- |
V |
4 |
7 |
25 |
4 |
28 |
- |
28 |
1,1 |
1,1 |
58 |
|
|
18 Подвоз воды и приготовление раствора |
т |
40 |
БЕЛАРУС-80.1 |
РЖТ-4 |
1 |
1 |
- |
VI |
4 |
4 |
21 |
1,9 |
13,3 |
- |
13,3 |
0,26 |
0,1 |
54 |
|
|
19 Химпрополка бетанал-экспертом ОФ |
га |
100 |
БЕЛАРУС-80.1 |
Макосан-2000 |
1 |
1 |
- |
VI |
4 |
7 |
25 |
4 |
28 |
- |
28 |
1,1 |
1,1 |
58 |
|
|
20 Подвоз воды и приготовление раствора |
т |
40 |
БЕЛАРУС-80.1 |
РЖТ-8 |
1 |
1 |
- |
VII |
4 |
4 |
21 |
1,6 |
13,3 |
- |
13,3 |
0,3 |
0,1 |
54 |
|
|
21 Химпрополка бетанал-зелеком + лантрел |
га |
100 |
БЕЛАРУС-80.1 |
Мекосан-2000 |
1 |
1 |
- |
VII |
4 |
7 |
25 |
4 |
28 |
- |
28 |
1,1 |
1,1 |
58 |
|
|
22 Подвоз КАС, воды, бора |
т |
40 |
БЕЛАРУС-80.1 |
РЖТ-4 |
1 |
1 |
- |
VII |
4 |
4 |
8 |
5 |
35 |
- |
35 |
0,26 |
0,1 |
54 |
|
|
23 Подкормка посевов |
га |
100 |
БЕЛАРУС-80.1 |
Мекосан-2000 |
1 |
1 |
- |
VII |
4 |
6 |
25 |
4 |
28 |
- |
28 |
1,1 |
1,1 |
58 |
|
|
24 Подвоз КАС, воды, бора |
т |
40 |
БЕЛАРУС-80.1 |
РЖТ-4 |
1 |
1 |
- |
VII |
4 |
4 |
8 |
5 |
35 |
- |
35 |
0,26 |
0,1 |
54 |
|
|
25 Подкормка посевов |
га |
100 |
БЕЛАРУС-80.1 |
Мекосан-2000 |
1 |
1 |
- |
VII |
4 |
6 |
25 |
4 |
28 |
- |
28 |
1,1 |
1,1 |
58 |
|
|
26 Уборка свеклы |
т |
5000 |
- |
Кляйне |
1 |
1 |
- |
X |
15 |
7 |
150 |
33,3 |
233,1 |
- |
233,1 |
2,1 |
105,0 |
1996 |
|
|
27 Отвоз свеклы на завод |
т |
3750 |
Камаз |
- |
1 |
1 |
- |
X |
- |
- |
- |
- |
- |
- |
- |
- |
- |
2249 |
|
|
28 Уборка с отвозом в бурты |
т |
1250 |
БЕЛАРУС-82 |
Кляйне |
1 |
1 |
- |
X |
15 |
7 |
120 |
10,4 |
72,8 |
- |
72,8 |
2,1 |
26,3 |
2013 |
|
|
29 Погрузка свеклы в транспорт |
т |
1250 |
- |
СПС-4,2 |
1 |
1 |
1 |
X |
12 |
5 |
95 |
13,2 |
92,1 |
7 |
99,1 |
0,63 |
7,9 |
1630 |
|
|
30 Отвоз свеклы на завод |
т |
1250 |
Камаз |
- |
1 |
1 |
- |
X |
15 |
- |
- |
- |
- |
- |
- |
- |
- |
2249 |
|
Технологическая карта возделывания льна Площадь 100 га Урожайность волокна 10 ц/га Предшественник озимые зерновые
|
Технологические операции |
Единица измерения |
Объем работ |
Состав агрегата |
Срок выполнения работ |
Тарифный разряд работы |
Норма выработки за смену, га (т) |
Количество нормосмен |
Затраты, чел.-ч. |
Расход горючего |
Полные энергетические затраты, МДж/га |
|||||||||
|
механизаторов |
других работников |
всего |
на единицу работ, кг |
всего, ц |
|||||||||||||||
|
марка трактора |
прицепные орудия |
количество обслуживающего персонала |
календарный |
рабочих дней |
|||||||||||||||
|
марка |
количество в агрегате |
механизаторов |
других работников |
||||||||||||||||
|
1 |
2 |
3 |
4 |
5 |
6 |
7 |
8 |
9 |
10 |
11 |
12 |
13 |
14 |
15 |
16 |
17 |
18 |
19 |
|
|
1 Подвоз воды и приготовление раствора |
т |
40 |
БЕЛАРУС-82.1 |
АПЖ-12 |
1 |
1 |
- |
VIII |
4 |
4 |
74,3 |
0,5 |
3,5 |
- |
3,5 |
0,5 |
2,0 |
54 |
|
|
2 Обработка почвы глифосом |
га |
100 |
БЕЛАРУС-82.1 |
ОП-2000 |
1 |
1 |
- |
VIII |
4 |
8 |
22 |
4,5 |
31,8 |
- |
31,8 |
1,1 |
0,1 |
58 |
|
|
3 Погрузка фосфорных и калийных удобрений |
т |
26 |
БЕЛАРУС-80.1 |
ПФ-08 |
1 |
1 |
- |
IX |
5 |
4 |
48 |
0,5 |
3,5 |
- |
3,5 |
0,17 |
0,04 |
51 |
|
|
4 Смешивание удобрений с погрузкой |
т |
26 |
БЕЛАРУС-80.1 |
ИСУ-4А |
1 |
1 |
1 |
IX |
5 |
4 |
46,5 |
0,6 |
4,2 |
4,2 |
8,4 |
0,17 |
0,04 |
495 |
|
|
5 Транспортировка и внесение удобрений |
га |
100 |
БЕЛАРУС-1221 |
РУМ-8 |
1 |
1 |
- |
IX |
3 |
5 |
40 |
2,5 |
17,5 |
- |
17,5 |
1,8 |
1,8 |
162 |
|
|
6 Зяблевая вспашка |
га |
100 |
БЕЛАРУС-1221 |
ПКГ-5-40 |
1 |
1 |
- |
IX |
9 |
5 |
10,4 |
9,6 |
67,3 |
- |
67,3 |
13,7 |
13,7 |
874 |
|
|
7 Культивация с боронованием |
га |
100 |
БЕЛАРУС-1221 |
КПС-6 |
1 |
1 |
- |
IX |
6 |
4 |
15 |
6,7 |
46,7 |
- |
46,7 |
7,4 |
7,4 |
284 |
|
|
8 Культивация с боронованием |
га |
100 |
БЕЛАРУС-1221 |
КПС-6 |
1 |
1 |
- |
IV |
6 |
4 |
15 |
6,7 |
46,7 |
- |
46,7 |
7,4 |
7,4 |
284 |
|
|
9 Погрузка азотных удобрений |
т |
7 |
БЕЛАРУС-80.1 |
ПФ-08 |
1 |
1 |
1 |
IV |
2 |
3 |
48 |
0,14 |
1,0 |
1,0 |
2,0 |
0,17 |
0,04 |
51 |
|
|
10 Транспортировка и внесение удобрений |
га |
100 |
БЕЛАРУС-82.1 |
МДС-1141 |
1 |
1 |
- |
IV |
2 |
5 |
45 |
2,2 |
15,6 |
- |
15,6 |
1,8 |
1,8 |
162 |
|
|
11 Предпосевная обработка почвы |
га |
100 |
БЕЛАРУС-1221 |
АКШ-7,2 |
1 |
1 |
- |
IV |
5 |
5 |
19,5 |
5,1 |
35,9 |
- |
35,9 |
5,16 |
5,16 |
116 |
|
|
12 Протравливание семян |
т |
11 |
- |
ПС-10 |
1 |
1 |
1 |
IV |
1 |
7 |
42 |
0,6 |
4,2 |
4,2 |
8,4 |
- |
- |
7 |
|
|
13 Подвоз семян с загрузкой сеялок |
т |
11 |
ГАЗ-53 |
ЗАУ-3 |
1 |
1 |
- |
IV |
5 |
- |
- |
- |
- |
- |
- |
- |
- |
67 |
|
|
14 Посев льна |
га |
100 |
БЕЛАРУС-82.1 |
СПУ-6ЛЦ |
1 |
1 |
- |
IV |
5 |
7 |
14 |
7,1 |
50 |
- |
50 |
3,6 |
3,6 |
632 |
|
|
15 Подвоз воды и приготовление раствора |
т |
40 |
БЕЛАРУС-82.1 |
АПЖ-12 |
1 |
1 |
- |
V |
4 |
4 |
74,3 |
0,5 |
3,5 |
- |
3,5 |
0,5 |
0,2 |
54 |
|
|
16 Опрыскивание против льняной блохи |
га |
100 |
БЕЛАРУС-82.1 |
ОП-2000 |
1 |
1 |
- |
V |
4 |
7 |
22 |
4,5 |
31,8 |
- |
31,8 |
1,1 |
1,1 |
58 |
|
|
17 Подвоз воды и приготовление раствора |
т |
40 |
БЕЛАРУС-82.1 |
АПЖ-12 |
1 |
1 |
- |
V |
4 |
4 |
74,3 |
0,5 |
3,5 |
- |
3,5 |
0,5 |
0,2 |
54 |
|
|
18 Обработка против сорняков |
га |
100 |
БЕЛАРУС-82.1 |
ОП-2000 |
1 |
1 |
- |
V |
4 |
7 |
22 |
4,5 |
31,8 |
- |
31,8 |
1,1 |
1,1 |
58 |
|
|
19 Подвоз воды и приготовление раствора |
т |
40 |
БЕЛАРУС-82.1 |
АПЖ-12 |
1 |
1 |
1 |
VI |
4 |
4 |
74,3 |
0,5 |
3,5 |
3,5 |
7,0 |
0,5 |
0,2 |
54 |
|
|
20 Внесение микроудобрений |
га |
100 |
БЕЛАРУС-82.1 |
ОП-2000 |
1 |
1 |
- |
VI |
4 |
7 |
22 |
4,5 |
31,8 |
- |
31,8 |
1,1 |
1,1 |
58 |
|
|
21 Уборка льна комбайном |
га |
100 |
БЕЛАРУС-82.1 |
Полесье |
1 |
1 |
1 |
VII |
8 |
8 |
3 |
33,3 |
233,3 |
233,3 |
466,6 |
12 |
12 |
1417 |
|
|
22 Транспортировка льновороха |
т |
90 |
БЕЛАРУС-82.1 |
ПСЕ-12,4Б |
1 |
1 |
- |
VII |
8 |
4 |
3 |
30 |
210 |
- |
210 |
0,76 |
0,7 |
54 |
|
|
23 Сушка и обмолот льновороха |
т |
90 |
- |
КСПЛ-0,9 |
1 |
1 |
1 |
VII |
8 |
7 |
5 |
18 |
126 |
126 |
252 |
4,0 |
3,6 |
900 |
|
|
24 Вспушивание лент |
га |
100 |
БЕЛАРУС-82.1 |
ТПЛ-1 |
1 |
1 |
- |
VIII |
8 |
4 |
2,5 |
40 |
280 |
- |
280 |
4,6 |
4,6 |
443 |
|
|
25 Оборачивание лент |
га |
200 |
БЕЛАРУС-80.1 |
ОЛ-1 |
1 |
1 |
- |
VIII |
8 |
5 |
6 |
3,3 |
23,3 |
- |
23,3 |
4,6 |
4,6 |
443 |
|
|
26 Уборка треста в рулоны |
га |
100 |
БЕЛАРУС-82.1 |
ПРЛ-11 |
1 |
1 |
- |
VIII |
10 |
5 |
11 |
9,1 |
63,6 |
- |
63,6 |
11,5 |
11,5 |
726 |
|
|
27 Погрузка рулонов |
т |
400 |
БЕЛАРУС-82.1 |
ПФС-0,75 |
1 |
1 |
- |
VIII |
10 |
4 |
20 |
20 |
140 |
- |
140 |
0,24 |
1,0 |
365 |
|
|
28 Транспортировка рулонов |
т |
400 |
БЕЛАРУС-82.1 |
ПСЕ-12,5Б |
1 |
1 |
- |
VIII |
10 |
4 |
20 |
20 |
140 |
- |
140 |
0,8 |
3,2 |
1045 |
|
|
29 Складирование рулонов |
т |
400 |
БЕЛАРУС-82.1 |
ПРМ-0,4 |
1 |
1 |
1 |
VIII |
10 |
4 |
20 |
20 |
140 |
140 |
280 |
0,8 |
3,2 |
292 |
|
Технологическая карта возделывания кукуруза на зерно Площадь 100 га Урожайность 70 ц/га Предшественник зерновые
|
Технологические операции |
Единица измерения |
Объем работ |
Состав агрегата |
Срок выполнения работ |
Тарифный разряд работы |
Норма выработки за смену, га (т) |
Количество нормосмен |
Затраты, чел. ч. |
Расход горючего |
Полные энергетические затраты, МДж/га |
|||||||||
|
механизаторов |
других работников |
всего |
на единицу работ, кг |
всего, ц |
|||||||||||||||
|
марка трактора |
прицепные орудия |
количество обслуживающего персонала |
календарный |
рабочих дней |
|||||||||||||||
|
марка |
количество в агрегате |
механиза- торов |
других работников |
||||||||||||||||
|
1 |
2 |
3 |
4 |
5 |
6 |
7 |
8 |
9 |
10 |
11 |
12 |
13 |
14 |
15 |
16 |
17 |
18 |
19 |
|
|
1 Подвоз воды и приготовление раствора |
т |
40 |
БЕЛАРУС-80.1 |
АПЖ-12 |
1 |
1 |
1 |
VIII |
4 |
4 |
74,3 |
1,3 |
9,4 |
9,4 |
18,8 |
0,5 |
2,0 |
54 |
|
|
2 Химпрополка раундапом |
га |
50 |
БЕЛАРУС-80.1 |
ОП-2000 |
1 |
1 |
- |
VIII |
2 |
7 |
22 |
2,3 |
15,3 |
- |
15,3 |
1,1 |
0,55 |
58 |
|
|
50 |
БЕЛАРУС-80.1 |
Голандец |
1 |
1 |
- |
VIII |
2 |
7 |
28 |
1,8 |
12,5 |
- |
12,5 |
1,0 |
0,5 |
||||
|
3 Погрузка фосфорных и калийных удобрений |
т |
26 |
БЕЛАРУС-80.1 |
ПФ-0,8 |
1 |
1 |
- |
VIII |
4 |
4 |
48 |
0,5 |
3,5 |
- |
3,5 |
0,37 |
0,1 |
51 |
|
|
4 Смешивание удобрений |
т |
26 |
БЕЛАРУС-80.1 |
ИСУ-4А |
1 |
1 |
1 |
VIII |
4 |
4 |
46,5 |
0,6 |
4,2 |
4,2 |
8,4 |
0,25 |
0,07 |
495 |
|
|
5 Транспортировка и внесение удобрений |
га |
50 |
БЕЛАРУС-80.1 |
МВУ-0,5 |
1 |
1 |
- |
VIII |
3 |
5 |
14 |
3,6 |
25 |
- |
25 |
1,8 |
1,8 |
162 |
|
|
50 |
БЕЛАРУС-82.1 |
МДС-1141 |
1 |
1 |
- |
VIII |
1 |
5 |
45 |
1,1 |
7,8 |
- |
7,8 |
0,54 |
0,54 |
||||
|
6 Погрузка органических удобрений |
т |
4000 |
- |
Амкодор |
1 |
1 |
- |
IX |
10 |
5 |
240 |
16,7 |
116,7 |
- |
116,7 |
0,25 |
10,4 |
755 |
|
|
7 Транспортировка и внесение удобрений |
т |
4000 |
БЕЛАРУС-1523 |
ПРТ-10 |
1 |
1 |
- |
IX |
10 |
5 |
192 |
20,8 |
145,8 |
- |
145,8 |
0,4 |
16 |
5093 |
|
|
8 Запашка органических удобрений |
га |
50 |
БЕЛАРУС-1523 |
ПКГ-5-40 |
1 |
1 |
- |
IX |
8 |
5 |
5,8 |
8,6 |
60,3 |
- |
60,3 |
13,7 |
13,7 |
874 |
|
|
50 |
Джон-Дир |
КУН-8 |
1 |
1 |
- |
IX |
4 |
6 |
11 |
4,5 |
31,5 |
- |
31,5 |
19,4 |
19,4 |
||||
|
9 Транспортировка и внесение КАС30 |
га |
100 |
БЕЛАРУС-80.1 |
АПЖ-12 |
1 |
1 |
- |
IV |
4 |
7 |
22 |
4,5 |
31,8 |
- |
31,8 |
1,5 |
1,5 |
58 |
|
|
10 Культивация с боронованием |
га |
100 |
БЕЛАРУС-1221 |
КПС-6 |
1 |
1 |
- |
Х |
5 |
6 |
18 |
5,6 |
39,2 |
- |
39,2 |
4,8 |
4,8 |
258 |
|
|
11 Предпосевная обработка почвы |
га |
100 |
БЕЛАРУС-1523 |
АКШ-7,2 |
1 |
1 |
- |
V |
5 |
5 |
19,5 |
5,1 |
35,9 |
- |
35,9 |
4,6 |
4,6 |
288 |
|
|
12 Транспортировка семян |
т |
5 |
БЕЛАРУС-80.1 |
2ПТС-4 |
1 |
1 |
1 |
V |
12 |
3 |
11,2 |
0,4 |
2,8 |
2,8 |
5,6 |
0,43 |
0,02 |
54 |
|
|
13 Посев кукурузы |
га |
100 |
БЕЛАРУС-80.1 |
СУПН-8 |
1 |
1 |
- |
V |
12 |
7 |
8 |
12,5 |
87,5 |
- |
87,5 |
3,5 |
3,5 |
759 |
|
|
14 Боронование по всходам |
га |
100 |
БЕЛАРУС-80.1 |
АБ-12 |
1 |
1 |
- |
V |
7 |
6 |
26,2 |
3,82 |
30,53 |
- |
30,53 |
3,96 |
3,96 |
116 |
|
|
15 Подвоз воды и приготовление раствора |
т |
40 |
БЕЛАРУС-80.1 |
СТК-5 |
1 |
1 |
1 |
VI |
3 |
4 |
45 |
0,9 |
6,3 |
6,3 |
12,6 |
0,5 |
0,2 |
56 |
|
|
16 Химпрополка примэкстра Голд |
га |
100 |
БЕЛАРУС-80.1 |
ОП-2000 |
1 |
1 |
- |
VI |
3 |
7 |
31 |
3,2 |
22,6 |
- |
22,6 |
1,5 |
1,5 |
58 |
|
|
17 Междурядная обработка |
га |
100 |
БЕЛАРУС-80.1 |
КРН-4,2 |
1 |
1 |
- |
VII |
4 |
5 |
7 |
14,2 |
99,4 |
- |
99,4 |
5,8 |
5,8 |
428 |
|
|
18 Обмолот зерна |
т |
350 |
- |
Джон-Дир |
1 |
1 |
1 |
IX |
10 |
8 |
33 |
10,6 |
77,2 |
74,2 |
148,4 |
2,7 |
9,5 |
3198 |
|
|
т |
350 |
- |
Лексион |
1 |
1 |
1 |
IX |
5 |
8 |
74 |
4,7 |
32,9 |
32,9 |
65,8 |
2,7 |
9,5 |
|||
|
19 Транспортировка зерна |
т |
700 |
ГАЗ-53 |
- |
1 |
1 |
- |
IX |
10 |
- |
- |
- |
- |
- |
- |
- |
- |
200 |
|
|
20 Очистка и сушка зерна |
т |
700 |
- |
Арай-618 |
1 |
1 |
4 |
IX |
6 |
5 |
118 |
5,9 |
41,3 |
165,2 |
206,5 |
15 |
28 |
900 |
|
|
21 Отвоз зерна на склад |
т |
630 |
ГАЗ-53 |
- |
1 |
1 |
- |
IX |
6 |
- |
- |
- |
- |
- |
- |
- |
- |
200 |
|
Технологическая карта возделывания кукурузы на силос Площадь 100га Урожайность 278 ц/га Предшественник яровые зерновые
|
Технологические операции |
Единица измерения |
Объем работ |
Состав агрегата |
Количество обслуживающего персонала |
Срок выполнения работ |
Тарифный разряд работы |
Норма выработки за смену, га (т) |
Количество нормосмен |
Затраты труда, чел.-ч. |
Расход горючего |
Полные энергетические затраты, МДж/га |
|||||
|
механизаторов |
других работников |
календарный |
рабочих дней |
механизаторов |
других работников |
всего |
на единицу работ, кг |
всего , ц |
||||||||
|
1 |
2 |
3 |
4 |
5 |
6 |
7 |
8 |
9 |
10 |
11 |
12 |
13 |
14 |
15 |
16 |
17 |
|
1. Подвоз воды и приготовление раствора |
т |
40 |
БЕЛАРУС-80.1+АПЖ-12 |
1 |
- |
IX |
|
6 |
45,6 |
0,9 |
6,1 |
- |
6,1 |
1,6 |
1,6 |
123 |
|
2. Химпрополка глифосом |
га |
100 |
БЕЛАРУС-80.1+ОП-2000 |
1 |
- |
IX |
5 |
7 |
39,8 |
2,51 |
20,10 |
- |
20,10 |
0,74 |
0,74 |
58 |
|
3. Погрузка фосфорных и калийный удобрений |
т |
25 |
БЕЛАРУС-80.1+ПФ-0,8 |
1 |
- |
IX |
5 |
4 |
48 |
0,52 |
4,17 |
- |
4,17 |
1,78 |
1,78 |
246 |
|
4. Смешивание минеральных удобрений с погрузкой в разбрасыватель |
т |
25 |
БЕЛАРУС-80.1+ИСУ4-А |
1 |
- |
IX |
12 |
4 |
46,5 |
0,54 |
4,30 |
- |
4,30 |
0,25 |
0,25 |
495 |
|
5. Транспортировка и внесение минеральных удобрений |
т |
25 |
БЕЛАРУС-80.1+МВУ-5А |
1 |
- |
IX |
12 |
5 |
21,6 |
1,16 |
9,26 |
- |
9,26 |
3,02 |
0,76 |
60 |
|
6. Погрузка органических удобрений |
т |
4000 |
Амкодор |
1 |
- |
X |
12 |
4 |
264 |
15,15 |
121,21 |
- |
121,21 |
0,21 |
8,4 |
604 |
|
7. Транспортировка и внесение органических удобрений |
т |
4000 |
БЕЛАРУС-1522+ПРТ-11 |
1 |
- |
X |
13 |
5 |
62,4 |
64,10 |
512,82 |
- |
512,82 |
0,35 |
14 |
3431 |
|
8. Запашка органических удобрений |
га |
100 |
БЕЛАРУС-1523+ПКГ-5-40В |
1 |
- |
X |
13 |
6 |
8,12 |
12,32 |
98,52 |
- |
98,52 |
12,54 |
12,54 |
535 |
|
9. Культивация с боронованием |
га |
100 |
БЕЛАРУС-1221+КПС-6 |
1 |
- |
X |
12 |
6 |
18 |
5,64 |
30,2 |
- |
30,2 |
4,6 |
4,6 |
290 |
|
10. Транспортировка и внесение КАС |
т |
30 |
БЕЛАРУС-80.1+АПЖ-12 |
1 |
- |
IV |
5 |
6 |
24,1 |
1,24 |
9,96 |
- |
9,96 |
3,02 |
0,91 |
672 |
|
11. Культивация с боронованием |
га |
100 |
БЕЛАРУС-1221+КПС-6 |
1 |
- |
IV |
5 |
6 |
18 |
5,64 |
30,2 |
- |
30,2 |
4,6 |
4,6 |
290 |
|
12. Предпосевная подготовка почвы |
га |
100 |
БЕЛАРУС-1522+АКШ-7,2 |
1 |
- |
IV |
7 |
6 |
25,9 |
3,86 |
30,89 |
- |
30,89 |
3,96 |
3,96 |
288 |
|
13. Погрузка и транспортировка семян и удобрений |
т |
9 |
БЕЛАРУС-80.1+2ПТС-4 |
1 |
- |
V |
7 |
4 |
11,2 |
0,80 |
6,43 |
- |
6,43 |
3,29 |
0,30 |
125 |
|
14. Посев |
га |
100 |
БЕЛАРУС-80.1+СТВ-8 |
1 |
1 |
V |
8 |
7 |
10,5 |
9,5 |
66,5 |
66,5 |
133 |
4,78 |
4,78 |
379 |
|
15. Боронование по всходам |
га |
100 |
БЕЛАРУС-80.1+АБ-12 |
1 |
- |
V |
7 |
6 |
26,2 |
3,82 |
30,53 |
- |
30,53 |
3,96 |
3,96 |
116 |
|
16. Подвоз воды, приготовление раствора гербицида и заправка опрыскивателя |
т |
40 |
БЕЛАРУС-80.1+АПЖ-12 |
1 |
- |
VI |
5 |
5 |
45,6 |
0,9 |
5,5 |
- |
5,5 |
1,9 |
0,38 |
173 |
|
17. Химпрополка примэкстра голд |
га |
100 |
БЕЛАРУС-80.1+ОП-2000 |
1 |
- |
VI |
5 |
6 |
31 |
3,2 |
22,4 |
- |
22,4 |
0,74 |
0,74 |
428 |
|
18. Междурядная обработка |
га |
100 |
БЕЛАРУС-80.1+КРН-4,2 |
1 |
- |
VII |
4 |
5 |
7 |
14,2 |
99,4 |
- |
99,4 |
5,8 |
5,8 |
428 |
|
19. Скашивание и измельчение зеленой массы |
га |
300т |
УЭС-250А «Полесье» |
1 |
- |
IX |
14 |
7 |
70т |
12,25 |
98,04 |
- |
98,04 |
7,09 |
7,09 |
7180 |
|
20. Транспортировка к месту силосования |
т |
2780 |
БЕЛАРУС-80.1+ПСЕ-12,5Б |
1 |
- |
IX |
14 |
5 |
38,16 |
72,85 |
582,81 |
- |
582,81 |
1,4 |
38,92 |
5143 |
|
21. Разравнивание и трамбовка |
т |
2780 |
Т-150+ПФП-2 |
1 |
- |
IX |
14 |
5 |
110,2 |
25,23 |
201,81 |
- |
201,81 |
0,44 |
12,23 |
414 |
|
22. Оформление и укрытие траншеи пленкой |
м³ |
3000 |
вручную |
- |
4 |
IX |
14 |
5 |
721 |
4,16 |
- |
33,29 |
33,29 |
- |
- |
- |
|
23. Укрытие траншеи землей |
м² |
350 |
БЕЛАРУС-80.1+БН-100А |
1 |
- |
IX |
9 |
5 |
5,95 |
58,82 |
470,59 |
- |
470,59 |
0,4 |
1,4 |
524 |
Технологическая карта возделывания многолетние травы на сенаж Площадь 100 га Урожайность 220 ц/га
|
Технологические операции |
Единица измерения |
Объем работ |
Состав агрегата |
Срок выполнения работ |
Тарифный разряд работы |
Норма выработки за смену, га (т) |
Количество нормосмен |
Затраты, чел.-ч. |
Расход горючего |
Полные энергетические затраты, МДж/га |
|||||||||
|
механизаторов |
других работников |
всего |
на единицу работ, кг |
всего, ц |
|||||||||||||||
|
марка трактора |
прицепные орудия |
количество обслуживающего персонала |
календарный |
рабочих дней |
|||||||||||||||
|
марка |
Коли- чество в агрегате |
Меха- низа- торов |
других работников |
||||||||||||||||
|
1 |
2 |
3 |
4 |
5 |
6 |
7 |
8 |
9 |
10 |
11 |
12 |
13 |
14 |
15 |
16 |
17 |
18 |
19 |
|
|
1 Погрузка фосфорных и калийных удобрений |
т |
28 |
БЕЛАРУС-80.1 |
ПФ-0,8 |
1 |
1 |
1 |
IV |
1 |
4 |
48 |
0.6 |
4.2 |
4.2 |
8.4 |
0.37 |
0.37 |
51 |
|
|
2 Смешивание с погрузкой в разбрасыватель |
т |
28 |
БЕЛАРУС-80.1 |
ИСУ-4А |
1 |
1 |
1 |
IV |
1 |
4 |
30 |
0.9 |
6.3 |
6.3 |
12.6 |
0.25 |
0.25 |
495 |
|
|
3 Транспортировка и внесение удобрений |
га |
100 |
БЕЛАРУС-82.1 |
МДС-1141 |
1 |
1 |
- |
IV |
2 |
5 |
45 |
2.2 |
15,4 |
- |
15,4 |
0,54 |
0,54 |
162 |
|
|
4 Погрузка азотных удобрений |
т |
9 |
БЕЛАРУС-80.1 |
ПФ-0,8 |
1 |
1 |
1 |
V |
1 |
4 |
48 |
0.2 |
1,4 |
1,4 |
2,8 |
0,37 |
0,37 |
51 |
|
|
5 Транспортировка и внесение удобрений |
га |
100 |
БЕЛАРУС-82.1 |
МДС-1141 |
1 |
1 |
- |
V |
2 |
5 |
45 |
2,2 |
15,4 |
- |
15,4 |
0,54 |
0,54 |
162 |
|
|
6 Скашивание трав |
га |
50 |
- |
Е-302 |
1 |
1 |
- |
VII |
6 |
6 |
8,0 |
6,3 |
44,1 |
- |
44,1 |
4,5 |
4,5 |
359 |
|
|
50 |
БЕЛАРУС-82.1 |
Альтерна-500 |
1 |
1 |
- |
VII |
5 |
6 |
11,0 |
4,5 |
31,5 |
- |
31,5 |
5,5 |
5,5 |
359 |
|||
|
7 Разбивка валков |
га |
100 |
БЕЛАРУС-82.1 |
ГФ-5001 |
1 |
1 |
- |
VII |
5 |
5 |
21 |
4,8 |
33,6 |
- |
33,6 |
1,4 |
1,4 |
411 |
|
|
8 Сгребание провяленной массы |
га |
100 |
БЕЛАРУС-80.1 |
ГА-6501 |
1 |
1 |
- |
VII |
4 |
5 |
27,0 |
3,7 |
25,9 |
- |
25,9 |
3,5 |
3,5 |
411 |
|
|
9 Погрузка массы с измельчением |
т |
2200 |
- |
Джон-Дир |
1 |
1 |
- |
VII |
3 |
6 |
107 |
20,6 |
144,2 |
- |
144,2 |
11,8 |
11,8 |
2787 |
|
|
10 Транспортировка массы |
т |
2200 |
БЕЛАРУС-1221 |
ПИМ-45 |
1 |
1 |
- |
VII |
3 |
5 |
30 |
73,3 |
513,1 |
- |
513,1 |
3,8 |
3,8 |
2480 |
|
|
11 Разравнивание и трамбовка массы |
т |
2200 |
- |
К-700 |
1 |
1 |
- |
VII |
3 |
4 |
700 |
3,2 |
22,4 |
- |
22,4 |
0,3 |
0,3 |
524 |
|
|
12 Укрытие сенажа пленкой |
м2 |
3000 |
- |
Вручную |
- |
- |
4 |
VII |
6 |
3 |
500 |
6 |
|
168 |
168 |
- |
- |
- |
|
|
13 Погрузка торфа |
м3 |
300 |
БЕЛАРУС-80.1 |
ПФ-0,8 |
1 |
1 |
- |
VII |
2 |
4 |
150 |
2 |
14 |
- |
14 |
0,37 |
0,37 |
51 |
|
|
14 Транспортировка торфа |
м3 |
300 |
БЕЛАРУС-82.1 |
ПТС-4 |
1 |
1 |
- |
VII |
10 |
4 |
28 |
10,7 |
74,9 |
- |
74,9 |
0,76 |
0,76 |
67 |
|
|
15 Укрытие траншеи торфом |
м2 |
300 |
- |
вручную |
- |
- |
4 |
VII |
10 |
3 |
30 |
10 |
|
70 |
70 |
- |
- |
- |
|
Технологическая карта возделывания однолетние травы Площадь 100 га Урожайность 191 ц/га Предшественник ячмень
|
Технологические операции |
Единица измерения |
Объем работ |
Состав агрегата |
Срок выполнения работ |
Тарифный разряд работы |
Норма выработки за смену, га (т) |
Количество нормосмен |
Затраты, чел.-ч. |
Расход горючего |
Полные энергетические затраты, МДж/га |
|||||||||
|
механизаторов |
других работников |
всего |
на единицу работ, кг |
всего, ц |
|||||||||||||||
|
марка трактора |
прицепные орудия |
количество обслуживающего персонала |
календарный |
рабочих дней |
|||||||||||||||
|
марка |
количество в агрегате |
механизаторов |
других работников |
||||||||||||||||
|
1 |
2 |
3 |
4 |
5 |
6 |
7 |
8 |
9 |
10 |
11 |
12 |
13 |
14 |
15 |
16 |
17 |
18 |
19 |
|
|
1 Лущение почвы |
га |
100 |
БЕЛАРУС-1523 |
БДТ-7 |
1 |
1 |
- |
VIII |
5 |
4 |
16,5 |
6,1 |
42,7 |
- |
42,7 |
5,5 |
5,5 |
544 |
|
|
2 Погрузка фосфорных и калийных удобрений |
т |
44 |
- |
ЭО-2621 |
1 |
1 |
- |
VIII |
2 |
6 |
140, |
0,3 |
2,1 |
- |
2,1 |
0,89 |
0,89 |
51 |
|
|
3 Смешивание удобрений с погрузкой |
т |
44 |
БЕЛАРУС-80.1 |
СУ-20 |
1 |
1 |
- |
VIII |
2 |
6 |
140 |
0,3 |
2,1 |
- |
2,1 |
2,0 |
2,0 |
118 |
|
|
4 Внесение минеральных удобрений |
га |
100 |
БЕЛАРУС-1221 |
РУМ-8 |
1 |
1 |
- |
VIII |
3 |
6 |
40 |
2,5 |
17,5 |
- |
17,5 |
2,05 |
2,05 |
162 |
|
|
5 Вспашка |
га |
100 |
БЕЛАРУС-1221 |
ППО-4-40 |
1 |
1 |
- |
VIII |
5 |
4 |
5,2 |
19,2 |
134,4 |
- |
134,4 |
17,5 |
17,5 |
841 |
|
|
6 Культивация с боронованием |
га |
100 |
БЕЛАРУС-1221 |
КПС-6 |
1 |
1 |
- |
IX |
5 |
4 |
19,4 |
5,2 |
36,4 |
- |
36,4 |
5,16 |
5,16 |
25 |
|
|
7 Культивация с боронованием |
га |
100 |
БЕЛАРУС-1221 |
КПС-6 |
1 |
1 |
- |
IV |
5 |
4 |
18 |
5,6 |
39,2 |
- |
39,2 |
4,6 |
4,6 |
269 |
|
|
8 Погрузка азотных удобрений |
т |
6,5 |
- |
ЭО-2621 |
1 |
1 |
- |
IV |
1 |
4 |
140 |
0,05 |
0,35 |
- |
0,35 |
0,89 |
0,89 |
51 |
|
|
9 Транспортировка и внесение удобрений |
га |
100 |
БЕЛАРУС-82.1 |
Амазоне |
1 |
1 |
- |
IV |
5 |
30 |
3,3 |
23,1 |
- |
23,1 |
0,54 |
0,54 |
120 |
||
|
10 Предпосевная обработка почв |
га |
100 |
БЕЛАРУС-1221 |
АКШ-6 |
1 |
1 |
- |
IV |
3 |
6 |
18 |
5,6 |
39,2 |
- |
39,2 |
4,6 |
4,6 |
289 |
|
|
11 Протравливание семян с погрузкой |
т |
22 |
- |
ПС-10 |
1 |
1 |
1 |
IV |
2 |
7 |
60 |
0,4 |
2,8 |
- |
2,8 |
- |
- |
5 |
|
|
12 Транспортировка семян с загрузкой сеялок |
т |
22 |
ГАЗ-53 |
ЗАУ-3 |
1 |
1 |
- |
IV |
2 |
4 |
14,4 |
1,5 |
10,5 |
- |
10,5 |
0,92 |
0,92 |
67 |
|
|
13 Посев однолетних трав |
га |
100 |
БЕЛАРУС-1221 |
СПУ-6 |
1 |
1 |
1 |
IV |
3 |
7 |
17 |
5,9 |
41,3 |
- |
41,3 |
2,9 |
2,9 |
379 |
|
|
14 Уборка зеленой массы |
га |
100 |
- |
Е-281 |
1 |
- |
- |
VII |
5 |
7 |
5,6 |
17,9 |
125,3 |
- |
125,3 |
37 |
37 |
4042 |
|
|
15 Транспортировка массы |
т |
1910 |
Т-150 |
ОЗПТ-9554 |
1 |
- |
- |
VII |
5 |
5 |
38,3 |
49,8 |
348,6 |
- |
348,6 |
3,45 |
3,45 |
3578 |
|
Технологическая карта возделывания плодоносящих семечковых пород на полукарликовых клоповых подвоях Площадь 10 га Урожайность 200 ц/га
|
Технологические операции |
Единица измерения |
Объем работ |
Состав агрегата |
Срок выполнения работ |
Тарифный разряд работы |
Норма выработки за смену, га (т) |
Количество нормосмен |
Затраты, чел.-ч. |
Расход горючего |
Полные энергетические затраты, МДж/га |
|||||||||
|
механизаторов |
других работников |
всего |
на единицу работ, кг |
всего, ц |
|||||||||||||||
|
марка трактора |
прицепные орудия |
количество обслуживающего персонала |
календарный |
рабочих дней |
|||||||||||||||
|
марка |
количество в агрегате |
механизаторов |
других работников |
||||||||||||||||
|
1 |
2 |
3 |
4 |
5 |
6 |
7 |
8 |
9 |
10 |
11 |
12 |
13 |
14 |
15 |
16 |
17 |
18 |
19 |
|
|
1 Обрезка деревьев |
тыс. шт |
6,6 |
Вручную |
- |
- |
- |
1(6) |
XII-III |
- |
3 |
40 |
165 |
1155 |
7 |
1162 |
- |
- |
- |
|
|
2 Закрашивание срезов |
тыс. шт |
6,6 |
Вручную |
- |
- |
- |
1(2) |
XII-III |
- |
1 |
160 |
41,3 |
289,1 |
7 |
296 |
- |
- |
- |
|
|
3 Вывозка сучьев и ветвей |
га |
10 |
БЕЛАРУС-82.1 |
2ПТС-4 |
1 |
1 |
1(2) |
III |
10 |
3 |
1 |
10 |
70 |
7 |
77 |
0,76 |
0,076 |
54 |
|
|
4 Подвоз воды и приготовление раствора |
т |
4,5 |
БЕЛАРУС-80.1 |
РЖТ-4 |
1 |
1 |
1 |
III |
1 |
5 |
7 |
0,6 |
4,2 |
7 |
11,2 |
0,26 |
0,01 |
54 |
|
|
5 Опрыскивание против болезней |
га |
10 |
БЕЛАРУС-82.1 |
ОП-2000 |
1 |
1 |
- |
III |
1 |
7 |
16 |
0,6 |
4,2 |
- |
4,2 |
0,74 |
0,074 |
58 |
|
|
6 Подвоз воды и приготовление раствора |
т |
4,5 |
БЕЛАРУС-80.1 |
РЖТ-4 |
1 |
1 |
1 |
IV |
1 |
5 |
7 |
0,6 |
4,2 |
7 |
11,2 |
0,26 |
0,01 |
54 |
|
|
7 Опрыскивание против цветоеда |
га |
10 |
БЕЛАРУС-82.1 |
ОП-2000 |
1 |
1 |
- |
IV |
1 |
7 |
16 |
0,6 |
4,2 |
- |
4,2 |
0,74 |
0,074 |
58 |
|
|
8 Подвоз воды и приготовление раствора |
т |
4,5 |
БЕЛАРУС-80.1 |
РЖТ-4 |
1 |
1 |
1 |
V |
1 |
5 |
7 |
0,6 |
4,2 |
7 |
11,2 |
0,26 |
0,01 |
54 |
|
|
9 Опрыскивание против болезней |
га |
10 |
БЕЛАРУС-82.1 |
ОП-2000 |
1 |
1 |
- |
V |
1 |
7 |
16 |
0,6 |
4,2 |
- |
4,2 |
0,74 |
0,074 |
58 |
|
|
10 Подвоз азотных удобрений |
т |
4,9 |
БЕЛАРУС-80.1 |
2ПТС-4 |
1 |
1 |
1 |
V |
1 |
5 |
7 |
0,7 |
4,9 |
7 |
11,2 |
0,26 |
0,01 |
54 |
|
|
11 Внесение удобрений |
га |
10 |
БЕЛАРУС-80.1 |
МВУ-0,5 |
1 |
1 |
- |
V |
1 |
3 |
14 |
0,7 |
4,9 |
- |
4,9 |
1,51 |
0,151 |
120 |
|
|
12 Первое подкашивание междурядий |
га |
10 |
БЕЛАРУС-320 |
КРС-3 |
1 |
1 |
- |
V |
2 |
4 |
9,3 |
1,1 |
7,7 |
- |
7,7 |
4,2 |
0,42 |
718 |
|
|
13 Подвоз воды и приготовление раствора |
т |
4,5 |
БЕЛАРУС-80.1 |
РЖТ-4 |
1 |
1 |
1 |
V |
1 |
5 |
7 |
0,6 |
4,2 |
7 |
11,2 |
0,26 |
0,01 |
54 |
|
|
14 Внесение гербицида в приствольные круга |
тыс. шт |
6,6 |
вручную |
- |
- |
- |
- |
V |
10 |
5 |
350 |
18,9 |
132,3 |
- |
132,3 |
- |
- |
- |
|
|
15 Подвоз воды и приготовление раствора |
т |
4,5 |
БЕЛАРУС-80.1 |
РЖТ-4 |
1 |
1 |
1 |
V |
1 |
5 |
7 |
0,6 |
4,2 |
7 |
11,2 |
0,26 |
0,01 |
54 |
|
|
16 Опрыскивание против болезней с внесением бора. |
га |
10 |
БЕЛАРУС-82.1 |
ОП-2000 |
1 |
1 |
- |
V |
1 |
7 |
16 |
0,6 |
4,2 |
- |
4,2 |
0,74 |
0,074 |
58 |
|
|
17 Второе подкашивание междурядий |
га |
10 |
БЕЛАРУС-320 |
КРС-3 |
1 |
1 |
- |
VI |
1 |
4 |
8 |
1,3 |
9,1 |
- |
9,1 |
4,2 |
0,42 |
718 |
|
|
18 Развешивание феромонных ловушек |
шт |
100 |
вручную |
- |
1 |
- |
1 |
VI |
1 |
4 |
200 |
2 |
- |
14 |
14 |
- |
- |
- |
|
|
19 Подвоз воды и приготовление раствора |
т |
4,5 |
БЕЛАРУС-80.1 |
РЖТ-4 |
1 |
1 |
1 |
VI |
1 |
5 |
7 |
0,6 |
4,2 |
7 |
11,2 |
0,26 |
0,01 |
54 |
|
|
20 Опрыскивание против вредителей и болезней |
га |
10 |
БЕЛАРУС-82.1 |
ОП-2000 |
1 |
1 |
- |
VI |
1 |
7 |
16 |
0,6 |
4,2 |
- |
4,2 |
0,74 |
0,074 |
58 |
|
|
21 Подвоз воды и приготовление раствора |
т |
4,5 |
БЕЛАРУС-80.1 |
РЖТ-4 |
1 |
1 |
1 |
VI |
1 |
5 |
7 |
0,6 |
4,2 |
7 |
11,2 |
0,26 |
0,01 |
54 |
|
|
22 Внекорневая подкормка удобрениями |
га |
10 |
БЕЛАРУС-82.1 |
ОП-2000 |
1 |
1 |
- |
VI |
2 |
7 |
8,6 |
1,2 |
8,4 |
- |
8,4 |
0,74 |
0,074 |
54 |
|
|
23 Третье подкашивание междурядий |
га |
10 |
БЕЛАРУС-320 |
КРС-3 |
1 |
1 |
- |
VI |
2 |
4 |
8 |
1,3 |
9,1 |
- |
9,1 |
4,2 |
0,42 |
718 |
|
|
24 Четвертое подкашивание междурядий |
га |
10 |
БЕЛАРУС-320 |
КРС-3 |
1 |
1 |
- |
VII |
2 |
4 |
8 |
1,3 |
9,1 |
- |
9,1 |
4,2 |
0,42 |
718 |
|
|
25 Подвоз воды и приготовление раствора |
т |
4,5 |
БЕЛАРУС-80.1 |
РЖТ-4 |
1 |
1 |
1 |
VII |
1 |
5 |
7 |
0,6 |
4,2 |
7 |
11,2 |
0,26 |
0,01 |
54 |
|
|
26 Внекорневое внесение минеральных удобрений |
га |
10 |
БЕЛАРУС-82.1 |
ОП-2000 |
1 |
1 |
- |
VII |
1 |
7 |
16 |
0,6 |
4,2 |
- |
4,2 |
0,74 |
0,074 |
58 |
|
|
27 Пятое подкашивание междурядий |
га |
10 |
БЕЛАРУС-320 |
КРС-3 |
1 |
1 |
- |
VII |
2 |
4 |
8 |
1,3 |
9,1 |
- |
9,1 |
4,2 |
0,42 |
718 |
|
|
28 Подвоз воды и приготовление раствора |
т |
4,5 |
БЕЛАРУС-80.1 |
РЖТ-4 |
1 |
1 |
1 |
VII |
1 |
5 |
7 |
0,6 |
4,29 |
7 |
4,2 |
0,26 |
0,01 |
54 |
|
|
29 Внесение гербицида в приствольные круги |
тыс. шт |
6,5 |
вручную |
- |
- |
- |
- |
VII |
10 |
5 |
350 |
18,6 |
130,2 |
- |
130,2 |
- |
- |
- |
|
|
30 Шестое подкашивание междурядий |
га |
10 |
БЕЛАРУС-320 |
КРС-3 |
1 |
1 |
- |
VIII |
2 |
4 |
8 |
1,3 |
9,1 |
- |
9,1 |
4,2 |
0,42 |
718 |
|
|
31 Подвоз воды и приготовление раствора |
т |
4,5 |
БЕЛАРУС-80.1 |
РЖТ-4 |
1 |
1 |
1 |
VIII |
1 |
5 |
7 |
0,6 |
4,2 |
7 |
11,2 |
0,26 |
0,01 |
54 |
|
|
32 Внекорневое внесение кальция |
га |
10 |
БЕЛАРУС-82.1 |
ОП-2000 |
1 |
1 |
- |
VIII |
1 |
7 |
16 |
0,6 |
4,2 |
- |
4,2 |
0,74 |
0,074 |
58 |
|
|
33 Седьмое подкашивание междурядий |
га |
10 |
БЕЛАРУС-320 |
КРС-3 |
1 |
1 |
- |
VIII |
2 |
4 |
8 |
1,3 |
9,1 |
- |
9,1 |
4,2 |
0,42 |
718 |
|
|
34 Подвоз воды и приготовление раствора |
т |
4,5 |
БЕЛАРУС-80.1 |
РЖТ-4 |
1 |
1 |
1 |
VIII |
1 |
5 |
7 |
0,6 |
4,2 |
7 |
11,2 |
0,26 |
0,01 |
54 |
|
|
35 Внекорневое внесение кальция |
га |
10 |
БЕЛАРУС-82.1 |
ОП-2000 |
1 |
1 |
- |
VIII |
1 |
7 |
16 |
0,6 |
4,2 |
- |
4,2 |
0,74 |
0,074 |
58 |
|
|
36 Подвоз тары |
ч |
210 |
БЕЛАРУС-80.1 |
2ПТС-4 |
1 |
1 |
1(2) |
IX |
30 |
4 |
7 |
30 |
210 |
7 |
217 |
0,76 |
0,076 |
54 |
|
|
37 Ручная уборка урожая |
т |
140 |
вручную |
- |
- |
- |
1(20) |
IX-X |
30 |
3 |
0,2 |
700 |
- |
4900 |
4900 |
- |
- |
- |
|
|
38 Ручной сбор опада (15%) |
т |
60 |
вручную |
- |
- |
- |
1(4) |
IX-X |
15 |
1 |
1 |
60 |
- |
420 |
420 |
- |
- |
- |
|
|
39 Погрузка ящиков в транспортные средства |
т |
210 |
вручную |
- |
- |
- |
1(4) |
IX-X |
30 |
5 |
7 |
30 |
- |
210 |
210 |
- |
- |
- |
|
|
40 Вывоз урожая |
т |
200 |
БЕЛАРУС-80.1 |
2ПТС-4 |
1 |
1 |
- |
IX-X |
30 |
5 |
7 |
28,6 |
200,2 |
- |
200,2 |
0,26 |
0,01 |
54 |
|
|
41 Разгрузка ящиков и установка в хранилище |
ч |
210 |
вручную |
- |
- |
- |
1(4) |
IX-X |
30 |
5 |
7 |
30 |
- |
210 |
210 |
- |
- |
- |
|
|
42 Покраска сада |
тыс. шт |
6,5 |
вручную |
- |
- |
- |
1(4) |
X |
40 |
4 |
150 |
43,3 |
- |
303,1 |
303,1 |
- |
- |
- |
|
|
43 Подвоз воды и приготовление раствора |
т |
4,5 |
БЕЛАРУС-80.1 |
РЖТ-4 |
1 |
1 |
1 |
X |
1 |
5 |
7 |
0,6 |
4,2 |
7 |
11,7 |
0,26 |
0,01 |
54 |
|
|
44 Опрыскивание мочевиной |
га |
10 |
БЕЛАРУС-82.1 |
ОП-2000 |
1 |
1 |
- |
X |
1 |
7 |
16 |
0,6 |
4,2 |
- |
4,2 |
0,74 |
0,074 |
58 |
|
|
45 Раскладка отравленных приманок |
га |
10 |
вручную |
- |
- |
- |
1 |
X |
3 |
5 |
3 |
3,3 |
- |
7 |
7 |
- |
- |
- |
|
Приложение 9
Расчет тягового агрегата
5.1 Исходные данные для расчета
Скомплектовать агрегат для обработки почвы игольчатыми боронами.
5.1.1 Устанавливаем условия работы агрегата: длина гона 1000 м, уклон i = 0,05.
5.1.2 Устанавливает агротехнические требования к боронованию [10]
Определим технологически допустимую скорость движения МТА:
Vагр = 7-9 км/ч (табл. п.2).
5.1.3 Выбираем трактор ДТ-75В, т. к. гусеничные трактора меньше уплотняют почву. По технической характеристике трактора (табл. п.1) находим силу тяжести (вес) трактора Gт = 62,3 кН.
В пределах технологически допустимой скорости, определяем на каких передачах трактор может работать, и для них находим номинальное тяговое усилие на крюке (таблица п. 1).
V4 = 7,52 км/ч; Ркр4 = 24,3 кН
V5 = 8,40 км/ч; Ркр5 = 20,7 кН
V6 = 9,52 км/ч; Ркр6 = 18,2 кН
Для расчета принимаем 4 и 5 передачи.
5.1.4 Рекомендуем борону игольчатую БИГ-ЗА.
По технической характеристике СХМ находим конструктивную ширину захвата вк = 3 м; сила тяжести Gм = 11 кН, удельное сопротивление при скорости V0 = 5 км/ч, К0 = 1,6…2,7, принимаем пассивный режим работы К0 = 2,0 кН/м (табл.п.2,3)
5.2 Расчет МТА для боронования
5.2.1 Определяем дополнительные сопротивление подъема 1 м ширины захвата машины
ΔRм = (Gм ˟ i) / вк кН/м (1)
где, Gм – сила тяжести игольчатой бороны, Gм = 11 кН;
i – уклон поля, i = 0,05 (по заданию);
вк – конструктивная ширина захвата, вк = 3 м (технической характеристике).
ΔRм = (11 ˟ 0,05) / 3 = 0,18 кН/м
5.2.2 Определим удельное сопротивление СХМ при средней рабочей скорости
Км = К0 ˟ [1 + (Δс / 100) ˟ (Vр ср – V0)] кН/м (2)
где, К0 – пассивный режим работы СХМ, К0 =2,0 кН/м;
Δс – степень нарастания удельного сопротивления машины при повышении скорости ∆с = 5-6 % (табл.п.5), принимаем ∆с = 5%;
Vp ср – средняя рабочая скорость СХМ, определяем по формуле (3)
V0 – скорость СХМ, V0 = 5 км/ч (по технической характеристике)
Vp ср = (Vт4 + Vт5) / 2 км/ч (3)
где, Vт4 – скорость на четвертой передаче трактора ДТ-75В, Vт4 = 7,52 км/ч;
Vт5 – скорость на пятой передаче трактора ДТ-75В, Vт5 = 8,40 км/ч
Vp ср = (7,52 + 8,40) / 2 = 8 км/ч
Км = 2 ˟ [1 + (5 / 100) ˟ (8 – 5)] = 2 ˟ [1 + (0,05 ˟ 3)] = 2 ˟ 1,15 = 2,3 кН/м
Выбираем сцепку, предварительно рекомендуем сцепку СП-11А.
5.2.3 Определим сопротивление 1 м ширины захвата сцепки
ΔRсц = Gсц ˟ (fсц + i) / Всц кН/м (4)
где, Gсц – сила тяжести сцепки, Gсц = 9,15 кН (табл.п.10);
fсц – коэффициент сопротивления качения сцепки, fсц = 0,08…0,10, принимаем fсц = 0,10 (табл. п.7);
Всц – ширина захвата сцепки, Всц = 10,8 м (по технической характеристике)
ΔRсц = 9,15 ˟ (0,10 + 0,05) / 10,8 = (9,15 ˟ 0,15) / 10,8 = 0,13 кН/м
5.2.4 Определяем максимальную допустимую ширину захвата агрегата для четвертой и пятой передач
В4мах = (Ркр4 – Gт ˟ i) / Км + ΔRм + ΔRсц м (5)
В5мах = (Ркр5 – Gт ˟ i) / Км + ΔRм + ΔRсц
где, Ркр4, Ркр5 – номинальное тяговое усилие на крюке для 4 передачи Ркр4 = 24,3 кН, тоже для 5 передачи Ркр5 = 20,7 кН (по технической характеристике);
Gт – сила тяжести трактора, Gт = 62,3 кН (по технической характеристике);
i – уклон поля, i = 0,05 (по заданию);
Км – удельное сопротивление СХМ при средней рабочей скорости, Км = 2,3 кН/м (по формуле (2));
ΔRм – дополнительные сопротивление подъема 1 м ширины захвата машины, ΔRм = 0,18 кН/м (по формуле (1));
ΔRсц – сопротивление 1 м ширины захвата сцепки, ΔRсц = 0,13 кН/м (по формуле (4))
В4мах = (24,3 – 62,3 ˟ 0,05) / 2,3 + 0,18 + 0,13 = 21,2 / 2,61 = 8,1 м
В5мах = (20,7 – 62,3 ˟ 0,05) / 2,3 + 0,18 + 0,13 = 17,6 / 2,61 = 6,7 м
5.2.5 Определяем количество СХМ в агрегате для выбранных передач
П4 = В4мах / вк (6)
П5 = В5мах / вк
где, В4мах – максимально допустимая ширина захвата агрегата на четвертой передаче В4мах = 8,1 м (по формуле (5));
В5мах – максимально допустимая ширина захвата агрегата на пятой передаче В5мах = 6,7 м (по формуле (5));
вк – конструктивная ширина захвата, вк = 3 м.
П4 = 8,1 / 3 = 2,7, принимаю 2
П5 = 6,7 / 3 = 2,2 принимаю 2
П4 = П5 = 2
5.2.6 Определяем конструктивную ширину захвата агрегата
В4к = В5к = П4 ˟ вк м (7)
где, П4 – количество СХМ в агрегате, П4 = 2 (по формуле (6));
вк – конструктивная ширина захвата, вк = 3 м (по технической характеристике).
В4к = В5к = 2 ˟ 3 = 6 м
5.2.7 Определяем сопротивление агрегата на 4 и 5 передаче
R4агр = В4к ˟ (Км + ΔRм) + Rсц кН (8)
где, В4к – конструктивная ширина захвата агрегата, В4к = 6 м (по формуле (7));
Км – удельное сопротивление СХМ при средней рабочей скорости, Км = 2,3 кН/м (по формуле (2));
ΔRм – дополнительные сопротивление подъема 1 м ширины захвата машины, ΔRм = 0,18 кН/м (по формуле (1));
Rсц – сопротивление сцепки, по формуле
Rсц = Gсц ˟ (fсц + i) кН (9)
где, Gсц – сила тяжести сцепки, Gсц = 9,15 кН (табл.п.10);
fсц – коэффициент сопротивления качения сцепки, fсц = 0,08…0,10, принимаем fсц = 0,10 (табл. п.7);
i – уклон поля, i = 0,05 (по заданию)
Rсц = 9,15 ˟ (0,10 + 0,05) = 1,37 кН
R4агр = 6 ˟ (2,3 + 0,18) + 1,37 = 16,25 кН
R4агр = R5агр
5.2.8 Определим степень использования тягового усилия трактора
ξ4р = R4агр / (Ркр4 – Gт ˟ i) (10)
ξ5р = R5агр / (Ркр5 – Gт ˟ i)
где, R4агр, R5агр – сопротивление агрегата на четвертой, пятой передаче, R4агр = = R5агр = 16,25 кН (по формуле (9));
Ркр4, Ркр5 – номинальное тяговое усилие на крюке для 4 передачи Ркр4 = 24,3 кН, тоже для 5 передачи Ркр5 = 20,7 кН (по технической характеристике);
Gт – сила тяжести трактора, Gт = 62,3 кН (по технической характеристике);
i – уклон поля, i = 0,05 (по заданию)
ξ4р = 16,25 / (24,3 – 62,3 ˟ 0,05) = 0,78
ξ5р = 16,25 / (20,7 – 62,3 ˟ 0,05) = 0,92
Допустимое значение степени использованием тягового усилия ξрн = 0,92…0,95 (по табл. 1)
5.2.9 Определяем часовую производительность агрегата для 4, 5 передачи
W4 = 0,1 ˟ В4к ˟ Vт4 га/ч (11)
W5 = 0,1 ˟ В5к ˟ Vт5
где, В4к, В5к – конструктивная ширина захвата агрегата на 4, 5 передаче, В4к = = В5к = 6 м (по формуле (6));
Vт4, Vт5 – скорость на четвертой, пятой передаче трактора ДТ-75В, Vт4 = 7,52 км/ч, Vт5 = 8,40 км/ч
W4 = 0,1 ˟ 6 ˟ 7,52 = 4,5 га/ч
W5 = 0,1 ˟ 6 ˟ 8,40 = 5,0 га/ч
5.3 Вывод о составе агрегата и режиме работы МТА
Для обработки игольчатыми боронами в данных условиях (длинна гона 1000 м, уклон 0,05) рекомендуется агрегат, состоящий из трактора ДТ-75В сцепки СП-11А и двух игольчатых борон БИГ-3А, наиболее рациональная работа на 5 передаче, со степенью использования тягового усилия ξ5р = 0,92 и часовой производительности W5 = 5 га/ч.
5.1 Исходные данные для расчета
Скомплектовать агрегат для посева зерновых культур.
5.1.1 Устанавливаем условия работы агрегата: длина гона 1000 м, уклон i = 0,05.
5.1.2 Устанавливает агротехнические требования к посеву зерновых культур [10]
Определим технологически допустимую скорость движения МТА:
Vагр = 5-9 км/ч (табл. п.2).
5.1.3 Выбираем трактор ДТ-75М, т. к. гусеничные трактора меньше уплотняют почву. По технической характеристике трактора (табл. п.1) находим силу тяжести (вес) трактора Gт = 57,5 кН
В пределах технологически допустимой скорости, определяем на каких передачах трактор может работать, и для них находим номинальное тяговое усилие на крюке (таблица п. 1).
V4 = 7,0 км/ч; Ркр4 = 20,0 кН
V5 = 7,8 км/ч; Ркр5 = 17,0 кН
V6 = 8,7 км/ч; Ркр6 = 15,0 кН
Для расчета подходят все передачи.
5.1.4 Рекомендуем сеялку СУ-24.
По технической характеристике СХМ находим конструктивную ширину захвата вк = 3,6 м; сила тяжести Gм = 1,2 кН, удельное сопротивление при скорости V0 = 5 км/ч, К0 = 1,6…2,7, принимаем пассивный режим работы К0 = 2,0 кН/м (табл.п.2,3)
5.2 Расчет МТА для посева зерновых культур
5.2.1 Определяем дополнительные сопротивление подъема 1 м ширины захвата машины
ΔRм = (Gм ˟ i) / вк кН/м (1)
где, Gс – сила тяжести сеялки, Gс = 1,2 кН;
i – уклон поля, i = 0,05 (по заданию);
вк – конструктивная ширина захвата, вк = 3,6 м (технической характеристике).
ΔRм = (1,2 ˟ 0,05) / 3,6 = 0,02 кН/м
5.2.2 Определим удельное сопротивление СХМ при средней рабочей скорости
Км = К0 ˟ [1 + (Δс / 100) ˟ (Vр ср – V0)] кН/м (2)
где, К0 – пассивный режим работы СХМ, К0 = 2,0 кН/м;
Δс – степень нарастания удельного сопротивления машины при повышении скорости ∆с = 1,5-3 % (табл.п.5), принимаем ∆с = 2 %;
Vp ср – средняя рабочая скорость СХМ, определяем по формуле (3)
V0 – скорость СХМ, V0 = 5 км/ч (по технической характеристике)
Vp ср = (Vт4 + Vт5 + Vт6) / 3 км/ч (3)
где, Vт4 – скорость на четвертой передаче трактора ДТ-75, Vт4 = 7,0 км/ч;
Vт5 – скорость на пятой передаче трактора ДТ-75, Vт5 = 7,8 км/ч
Vт6 – скорость на шестой передаче трактора ДТ-75, Vт6 = 8,7 км/ч
Vp ср = (7,0 + 7,8 + 8,7) / 3 = 8 км/ч
Км = 2 ˟ [1 + (2 / 100) ˟ (8 – 5)] = 2 ˟ [1 + (0,02 ˟ 3)] = 2 ˟ 1,06 = 2,12 кН/м
Выбираем сцепку, предварительно рекомендуем сцепку СП-11.
5.2.3 Определим сопротивление 1 м ширины захвата сцепки
ΔRсц = Gсц ˟ (fсц + i) / Всц кН/м (4)
где, Gсц – сила тяжести сцепки, Gсц = 5,16 кН (табл.п.10);
fсц – коэффициент сопротивления качения сцепки, fсц = 0,08…0,10, принимаем fсц = 0,10 (табл. п.7);
Всц – ширина захвата сцепки, Всц = 11 м (по технической характеристике)
ΔRсц = 5,16 ˟ (0,10 + 0,05) / 11 = (5,16 ˟ 0,15) / 11 = 0,07 кН/м
5.2.4 Определяем максимальную допустимую ширину захвата агрегата для четвертой, пятой и шестой передач
В4мах = (Ркр4 – Gт ˟ i) / Км + ΔRм + ΔRсц м (5)
В5мах = (Ркр5 – Gт ˟ i) / Км + ΔRм + ΔRсц
В6мах = (Ркр6 – Gт ˟ i) / Км + ΔRм + ΔRсц
где, Ркр4, Ркр5, Ркр5 – номинальное тяговое усилие на крюке для 4 передачи Ркр4 = 20,0 кН, тоже для 5 передачи Ркр5 = 17,0 кН, тоже для 6 передачи Ркр6 = = 15,0 кН (по технической характеристике);
Gт – сила тяжести трактора, Gт = 57,5 кН (по технической характеристике);
i – уклон поля, i = 0,05 (по заданию);
Км – удельное сопротивление СХМ при средней рабочей скорости, Км = 2,12 кН/м (по формуле (2));
ΔRм – дополнительные сопротивление подъема 1 м ширины захвата машины, ΔRм = 0,02 кН/м (по формуле (1));
ΔRсц – сопротивление 1 м ширины захвата сцепки, ΔRсц = 0,07 кН/м (по формуле (4))
В4мах = (20,0 – 57,5 ˟ 0,05) / 2,12 + 0,18 + 0,07 = 17,1 / 2,37 = 7,2 м
В5мах = (17,0 – 57,5 ˟ 0,05) / 2,12 + 0,18 + 0,07 = 14,1 / 2,37 = 5,9 м
В6мах = (15,0 – 57,5 ˟ 0,05) / 2,12 + 0,18 + 0,07 = 12,1 / 2,37 = 5,1 м
5.2.5 Определяем количество СХМ в агрегате для выбранных передач
П4 = В4мах / вк (6)
П5 = В5мах / вк
П6 = В6мах / вк
где, В4мах – максимально допустимая ширина захвата агрегата на четвертой передаче В4мах = 7,2 м (по формуле (5));
В5мах – максимально допустимая ширина захвата агрегата на пятой передаче В5мах = 5,9 м (по формуле (5));
В6мах – максимально допустимая ширина захвата агрегата на шестой передаче В6мах = 5,1 м (по формуле (5));
вк – конструктивная ширина захвата, вк = 3,6 м.
П4 = 7,2 / 3,6 = 2,0, принимаю 2
П5 = 5,9 / 3,6 = 1,6 принимаю 1
П6 = 5,1 / 3,6 = 1,4 принимаю 1
5.2.6 Определяем конструктивную ширину захвата агрегата для выбранных передач
В4к = П4 ˟ вк м (7)
В5к = П5 ˟ вк
В6к = П6 ˟ вк
где, П4 – количество СХМ в агрегате на 4 передаче, П4 = 2 (по формуле (6));
П5 – количество СХМ в агрегате на 5 передаче, П5 = 1 (по формуле (6));
П6 – количество СХМ в агрегате на 6 передаче, П6 = 1 (по формуле (6));
вк – конструктивная ширина захвата, вк = 3,6 м (по технической характеристике).
В4к = 2 ˟ 3,6 = 7,2 м
В5к = 1 ˟ 3,6 = 3,6 м
В6к = 1 ˟ 3,6 = 3,6 м
5.2.7 Определяем сопротивление агрегата на 4, 5 и 6 передаче
R4агр = В4к ˟ (Км + ΔRм) + Rсц кН (8)
R5агр = В5к ˟ (Км + ΔRм) + Rсц
R6агр = В6к ˟ (Км + ΔRм) + Rсц
где, В4к – конструктивная ширина захвата агрегата, В4к = 7,2 м (по формуле (7));
В5к – конструктивная ширина захвата агрегата, В5к = 3,6 м (по формуле (7));
В6к – конструктивная ширина захвата агрегата, В6к = 3,6 м (по формуле (7));
Км – удельное сопротивление СХМ при средней рабочей скорости, Км = 2,12 кН/м (по формуле (2));
ΔRм – дополнительные сопротивление подъема 1 м ширины захвата машины, ΔRм = 0,02 кН/м (по формуле (1));
Rсц – сопротивление сцепки, по формуле
Rсц = Gсц ˟ (fсц + i) кН (9)
где, Gсц – сила тяжести сцепки, Gсц = 5,16 кН (табл.п.10);
fсц – коэффициент сопротивления качения сцепки, fсц = 0,08…0,10, принимаем fсц = 0,10 (табл. п.7);
i – уклон поля, i = 0,05 (по заданию)
Rсц = 5,16 ˟ (0,10 + 0,05) = 0,77 кН
R4агр = 7,2 ˟ (2,12 + 0,02) + 0,77 = 16,18 кН
R5агр = 3,6 ˟ (2,12 + 0,02) + 0,77 = 8,83 кН
R6агр = 3,6 ˟ (2,12 + 0,02) + 0,77 = 8,83 кН
5.2.8 Определим степень использования тягового усилия трактора
ξ4р = R4агр / (Ркр4 – Gт ˟ i) (10)
ξ5р = R5агр / (Ркр5 – Gт ˟ i)
ξ6р = R6агр / (Ркр6 – Gт ˟ i)
где, R4агр – сопротивление агрегата на четвертой передаче, R4агр = 16,18 кН (по формуле (9));
R5агр, R6агр – сопротивление агрегата на пятой, шестой передаче, R5агр = = R6агр = 8,83 кН (по формуле (9))
Ркр4 – номинальное тяговое усилие на крюке для 4 передачи, Ркр4 = = 20,0 кН (по технической характеристике);
Ркр5 – номинальное тяговое усилие на крюке для 5 передачи, Ркр5 = = 17,0 кН (по технической характеристике);
Ркр6 – номинальное тяговое усилие на крюке для 6 передачи, Ркр6 = = 15,0 кН (по технической характеристике);
Gт – сила тяжести трактора, Gт = 57,5 кН (по технической характеристике);
i – уклон поля, i = 0,05 (по заданию)
ξ4р = 16,18 / (20,0 – 57,5 ˟ 0,05) = 0,94
ξ5р = 8,83 / (17,0 – 57,5 ˟ 0,05) = 0,62
ξ6р = 8,83 / (15,0 – 57,5 ˟ 0,05) = 0,72
Допустимое значение степени использованием тягового усилия для посева зерновых, ξрн = 0,94-0,95 (по таблице 6)
5.2.9 Определяем часовую производительность агрегата для 4, 5 и 6 передачи
W4 = 0,1 ˟ В4к ˟ Vт4 га/ч (11)
W5 = 0,1 ˟ В5к ˟ Vт5
W6 = 0,1 ˟ В6к ˟ Vт6
где, В4к, В5к, В6к – конструктивная ширина захвата агрегата на 4, 5, 6 передаче, В4к = 7,2 м, В5к = 3,6 м, В6к = 3,6 м (по формуле (7));
Vт4, Vт5, Vт6 – скорость на четвертой, пятой, шестой передаче трактора ДТ-75, Vт4 = 7,0 км/ч, Vт5 = 7,8 км/ч, Vт6 = 8,7 км/ч
W4 = 0,1 ˟ 7,2 ˟ 7,0 = 5,0 га/ч
W5 = 0,1 ˟ 3,6 ˟ 7,8 = 2,8 га/ч
W6 = 0,1 ˟ 3,6 ˟ 8,7 = 3,1 га/ч
5.3 Вывод о составе агрегата и режиме работы МТА
Для посева зерновых культур в данных условиях (длинна гона 1000 м, уклон 0,05) рекомендуется агрегат, состоящий из трактора ДТ-75М сцепки СП-11 и двух сеялок СУ-24, наиболее рациональная работа на 4 передаче, со степенью использования тягового усилия ξ4р = 0,94 и часовой производительности W5 = 5 га/ч.
Расчет тягово-приводного агрегата
5.1 Исходные данные для расчета
Скомплектовать тягово-приводной агрегат для скашивания зерновых в валки.
5.1.1 Устанавливаем условия работы агрегата: длина гона L=1000;
уклон местности i = 0,05.
5.1.2 Устанавливаем агротехнические требования к скашивания зерновых в валки [3] с. 194.
Технологически допустимая скорость при скашивания зерновых в валки Vагр = 6…16 км/ч (табл. п.2).
5.1.3 Выбираем марку трактора.
Предлагаем использовать трактор МТЗ-80
По технической характеристике трактора, находим, что на скашивания зерновых в валки, в пределах технологически допустимой скорости, трактор должен работать на 3 и 4 передачах, найдем номинальное тяговое усилия для них (табл. п.1)
Vт3 = 7,2 км/ч; Рнкр3 =14 кН
Vт4 = 8,9 км/ч; Ркр4 = 14 кН
Сила тяжести трактора (вес) Gт = 33,4 кН
5.1.4 Выбираем марку СХМ. Рекомендуем прицепную жатку ЖВП-6 (ЖВС-6).
По технической характеристике находим: ширина захвата, вк = Вк = 6 м, сила тяжести жатки, Gм = 13,7 кН, удельное сопротивление машины, К0 = 1,2 – 1,5 кН/м при V0 = 5 км/ч принимаем К0 = 1,2 кН/м (табл.п.2, 8).
Мощность, затрачиваемая на провод жатки через ВОМ трактора NВОМ = = 5 – 9 кВт, принимаем 7 кВт (табл. п.11)
5.2 Расчет МТА для скашивания зерновых в валки
5.2.1 Определяем дополнительное сопротивление подъема 1м ширины захвата машины:
ΔRм = (Gм ˟ i) / Вк кН/м (1)
где, Gм – сила тяжести жатки, Gм = 13,7 кН (таблица 1);
i – уклон поля, i = 0,05 (по заданию);
Вк – конструктивная ширина захвата, Вк = 6 м (по технической характеристике).
ΔRм = (13,7 ˟ 0,05) / 6 = 0,11 кН/м
5.2.2 Определяем удельное сопротивление СХМ при средней рабочей скорости
Км = К0 ˟ [1 + (Δс / 100) ˟ (Vр ср – V0)] кН/м (2)
где, К0 – пассивный режим работы СХМ, К0 =1,2 кН/м;
Δс – степень приращения удельного сопротивления машины при повышении скорости ∆с = 2 % (табл. п.5);
Vp ср – средняя рабочая скорость СХМ, определяем по формуле (3)
V0 – скорость СХМ, V0 = 5 км/ч (по технической характеристике)
Vp ср = (Vт3 + Vт4) / 2 км/ч (3)
где, Vт3, Vт4 – скорость на третьей, четвертой передаче трактора МТЗ-80, Vт4 = 7,2 км/ч, Vт4 = 8,9 км/ч (см. п. 3)
Vp ср = (7,2 + 8,9) / 2 = 8 км/ч
Км = 1,2 ˟ [1 + (2 / 100) ˟ (8 – 5)] = 1,2 ˟ [1 + (0,02 ˟ 3)] = 1,2 ˟ 1,06 = 1,27 кН/м
5.2.3 Определим сопротивление агрегата:
Rагр = Rм + Rпр кН (4)
где, Rм – тяговое сопротивление машины, Rм определяем по формуле (5);
Rпр – приведенная сила сопротивления на ВОМ, на которую уменьшается касательная сила тяги и соответственно, Рпр по формуле (6).
5.2.4 Тяговое сопротивление машины определяем по формуле
Rм = Вк ˟ (Км + ΔRм) кН (5)
где, Вк – конструктивная ширина захвата, Вк = 6 м (по технической характеристике);
Км – удельное сопротивление СХМ при средней рабочей скорости, Км = 1,27 кН/м (по формуле (2));
ΔRм – дополнительные сопротивление подъема 1 м ширины захвата машины, ΔRм = 0,11 кН/м (по формуле (1));
Rм = 6 ˟ (1,27 + 0,11) = 8,3 кН
5.2.5 Приведенная сила сопротивления на ВОМ, на которую уменьшается касательная сила тяги и соответственно Ркр на передаче 3 и 4 определяем по формуле
Rпр3 = (3,6 ˟ NВОМ) / (Vт3 ˟ ηВОМ) кН (6)
Rпр4 = (3,6 ˟ NВОМ) / (Vт4 ˟ ηВОМ)
где, NВОМ – мощность, затрачиваемая на провод жатки через ВОМ трактора NВОМ = 7 кВт (смотри п. 4);
Vт3, Vт4 – скорость на третьей, четвертой передаче трактора МТЗ-80, Vт3 = 7,2 км/ч, Vт4 = 8,9 км/ч (см. п. 3);
ηВОМ – КПД, учитывающий потери мощности в трансмиссии ВОМ, ηВОМ = 0,95 [4]
Rпр3 = (3,6 ˟ 7) / (7,2 ˟ 0,95) = 3,7 кН
Rпр4 = (3,6 ˟ 7) / (8,9 ˟ 0,95) = 3,0 кН
5.2.6 Определяем сопротивление агрегата на 3 и 4 скорости
R3агр = Rм + Rпр3 кН (7)
R4агр = Rм + Rпр4
где, Rм – тяговое сопротивление машины, Rм = 8,3 кН (по формуле (5));
Rпр3, Rпр4 – приведенная сила сопротивления на ВОМ, на которую уменьшается касательная сила тяги и соответственно Ркр на передаче 3 и 4, Rпр3 = 3,7 кН, Rпр4 = 3,0 кН (по формуле (6))
R3агр = 8,3 + 3,7 = 12 кН
R4агр = 8,3 + 3,0 = 11,3 кН
5.2.7 Определяем степень использование тягового усилия трактора
ξ3р = R3агр / (Ркр3 – Gт ˟ i) (8)
ξ4р = R4агр / (Ркр4 – Gт ˟ i)
где, R3агр, R4агр – сопротивление агрегата на третьей, четвертой передаче, R3агр = 12 кН, R4агр = 11,3 кН (по формуле (7));
Ркр3, Ркр4 – номинальное тяговое усилие на крюке для 3 передачи Ркр3 = 14 кН, тоже для 4 передачи Ркр4 = 14 кН (по технической характеристике);
Gт – сила тяжести трактора, Gт = 33,4 кН (по технической характеристике);
i – уклон поля, i = 0,05 (по заданию)
ξ3р = 12 / (14 – 33,4 ˟ 0,05) = 0,97
ξ4р = 11,3 / (14 – 33,4 ˟ 0,05) = 0,92
5.2.8 Определим часовую производительность агрегата:
W3 = 0,1 ˟ Вк ˟ Vт3 га/ч (9)
W4 = 0,1 ˟ Вк ˟ Vт4
где, Вк – конструктивная ширина захвата, Вк = 6 м (по технической характеристике);
Vт4, Vт5 – скорость на третьей, четвертой передаче трактора МТЗ-80, Vт4 = 7,2 км/ч, Vт5 = 8,9 км/ч
W4 = 0,1 ˟ 6 ˟ 7,2 = 4,3 га/ч
W5 = 0,1 ˟ 6 ˟ 8,9 = 5,3 га/ч
5.3 Вывод о составе агрегата и режиме работы МТА
Для скашивания зерновых в валки рекомендуем агрегат, состоящий из МТ3-80 и жатки ЖВП-6, наиболее рациональная работа на 4 передаче со степенью использования тягового усилия трактора ξр = 0,92.
Расчет комбинированных пахотных агрегатов
5.1 Исходные данные для расчета
На вспашке почв могут использоваться простые агрегаты – прицепные, полунавесные и навесные, а также комбинированные пахотные агрегаты (КПА), в состав которых кроме плуга входят секция кольчато-шпоровых катков ЗККШ-6А или зубовая борона ЗБЗТУ-1,0.
Скомплектовать комбинированный агрегат для вспашки и боронования почвы.
5.1.1 Устанавливаем условия работы агрегата
- длина гона 1000 м.
- уклон 0,05
- глубина вспашки а = 25 см.
- почвы дерново-подзолистые легкосуглинистые, агрофон – залежь.
5.1.2 Устанавливает агротехнические требования к вспашке [10]
Определим технологически допустимую скорость движения МТА
Vагр = 9 – 12 км/ч (табл. п.2).
5.1.3 При данной длине гона рекомендую трактор Т-150
По технической характеристике трактора (табл. п.1) находим силу тяжести (вес) трактора Gт = 73 кН
В пределах технологически допустимой скорости, определяем на каких передачах трактор может работать, и для них находим номинальное тяговое усилие на крюке (табл.п1).
V2д3пт = 9,7 км/ч; Р2д3пкр = 30 кН
V2д4пт = 10,6 км/ч; Р2д4пкр = 30 кН
V3д1пт =11,4 км/ч; Р3д1пкр = 26,6 кН
Для расчета принимаем передачи 2д4п и 3д1п.
5.1.4 Рекомендуем плуг ПЛН-5-35 и зубовые бороны БЗСС1,0.
По технической характеристике СХМ находим конструктивную ширину
захвата плуга Впк = 1,75 м; сила тяжести Gп = 7,8 кН, ширина захвата бороны Вбк = 0,95 м, сила тяжести Gб = 0,35 кН.
Удельное сопротивление при скорости V0 = 5 км/ч, плуга К0пл = 40 кПа
(табл.п.4), бороны К0б = 0,3 – 0,6 кН/м , принимаем К0б = 0,5 кН/м. (табл. 3)
5.2 Расчет МТА для вспашки и боронования почвы.
5.2.1 Определяем дополнительные сопротивление подъема 1 м ширины захвата плуга
ΔRп = (Gп ˟ i) / Впк кН/м (1)
где, Gп – сила тяжести плуга, Gп = 7,8 кН (таблица 1);
i – уклон поля, i = 0,05 (по заданию);
Впк – конструктивная ширина захвата плуга, Впк = 1,75 м (по технической характеристике)
ΔRп = (7,8 ˟ 0,05) / 1,75 = 0,22 кН/м
5.2.2 Определяем дополнительные сопротивление подъема 1 м ширины захвата бороны
ΔRб = (Gб ˟ i) / Вбк кН/м (2)
где, Gб – сила тяжести бороны, Gб = 0,35 кН (таблица 1);
i – уклон поля, i = 0,05 (по заданию);
Вбк – конструктивная ширина захвата бороны, Вбк = 0,95 м (по технической характеристике)
ΔRм = (0,35 ˟ 0,05) / 0,95 = 0,02 кН/м
5.2.3 Определим среднюю рабочую скорость трактора Т-150
Vp ср = (V2д4пт + V3д1пт) / 2 км/ч (3)
где, V2д4пт – скорость на четвертой передаче трактора Т-150, V2д4пт = 10,6 км/ч;
V3д1пт – скорость на первой передаче трактора Т-150, V3д1пт = 11,4 км/ч
Vp ср = (10,6 + 11,4) / 2 = 11 км/ч
5.2.4 Определяем удельное сопротивление плуга при средней рабочей скорости
Кмпл = К0пл ˟ [1 + (Δс / 100) ˟ (Vр ср – V0)] кН/м (4)
где, К0пл – удельное сопротивление плуга при скорости, V0 = 5 км/ч, К0 = 40 кН/м (исходные данные);
Δс – степень приращения удельного сопротивления плуга при повышении скорости ∆с = 5 % (табл. п.5);
Vp ср – средняя рабочая скорость трактора, Vp ср = 11 км/ч (по форм. (3))
V0 – скорость плуга, V0 = 5 км/ч (по технической характеристике)
Кмпл = 40 ˟ [1 + (5 / 100) ˟ (11 – 5)] = 40 ˟ [1 + (0,05 ˟ 6)] = 40 ˟ 1,3 = 52 кН/м
5.2.5 Определяем удельное сопротивление бороны при средней рабочей скорости
Кмб = К0б ˟ [1 + (Δс / 100) ˟ (Vр ср – V0)] кН/м (5)
где, К0б – удельное сопротивление бороны при скорости, V0 = 5 км/ч, К0б = 0,5 кН/м (исходные данные);
Δс – степень приращения удельного сопротивления бороны при повышении скорости, ∆с = 4 % (табл. п.5);
Vp ср – средняя рабочая скорость трактора, Vp ср = 11 км/ч (по форм. (3))
V0 – скорость плуга, V0 = 5 км/ч (по технической характеристике)
Кмб = 0,5 ˟ [1 + (4 / 100) ˟ (11 – 5)] = 0,5 ˟ [1 + (0,04 ˟ 6)] = 0,5 ˟ 1,24 = 0,6 Н/м
5.2.6 Определяем максимальную допустимую ширину захвата агрегата для выбранных передач трактора
В2д4пмах = (Р2д4пкр, – Gт ˟ i) / а ˟ Кмпл + Кмб + ΔRп + ΔRб м (6)
В3д1пмах = (Р3д1пкр, – Gт ˟ i) / а ˟ Кмпл + Кмб + ΔRп + ΔRб
где, Р2д4пкр, Р3д1пкр, – номинальное тяговое усилие на крюке для 4 передачи Р2д4пкр, = 30 кН, тоже для 1 передачи Р3д1пкр, = 26,6 кН (по технической характеристике);
Gт – сила тяжести трактора, Gт = 73 кН (по тех. характеристике);
i – уклон поля, i = 0,05 (по заданию);
а – глубина вспашки, а = 0,25 м (по агротехническим требованиям)
Кмпл – удельное сопротивление бороны при средней рабочей скорости, Кмпл = 52 кН/м (по формуле (4));
Кмб – удельное сопротивление плуга при средней рабочей скорости, Кмб = 0,6 кН/м (по формуле (5));
ΔRп – дополнительные сопротивление подъема 1 м ширины захвата плуга, ΔRп = 0,22 кН/м (по формуле (1));
ΔRб – дополнительные сопротивление подъема 1 м ширины захвата бороны, ΔRб = 0,02 кН/м (по формуле (2))
В2д4пмах = (30 – 73 ˟ 0,05) / 0,25 ˟ 52 + 0,6 + 0,22 + 0,2 = 26,35 / 14,02 = 1,88 м
В3д1пмах = (26,6 – 73 ˟ 0,05) / 0,25 ˟ 52 + 0,6 + 0,22 + 0,2 = 22,95 / 14,02 = 1,64 м
5.2.7 Определяем количество корпусов плуга
П2д4п = В2д4пмах / Впк (7)
П3д1п = В3д1пмах / Впк
где, В2д4пмах – максимально допустимая ширина захвата агрегата на четвертой передаче В2д4пмах = 1,88 м (по формуле (6));
В3д1пмах – максимально допустимая ширина захвата агрегата на первой передаче В3д1пмах = 1,64 м (по формуле (6));
Впк – конструктивная ширина захвата одного корпуса плуга, Впк = 0,35 м (по технической характеристике)
П2д4п = 1,88 / 0,35 = 5,37, принимаю 5
П3д1п = 1,64 / 0,35 = 4,7, принимаю 4
5.2.8 Определяем конструктивную ширину захвата плуга на 4 и 1 передаче
В2д4пп = П2д4п ˟ Впк (8)
В3д1пп = П3д1п ˟ Впк
где, П2д4п – число корпусов на четвертой передаче, П2д4п = 5 (по формуле (7));
П3д1п – число корпусов на первой передаче, П3д1п = 4 (по формуле (7));
Впк – конструктивная ширина захвата одного корпуса плуга, Впк = 0,35 м (по технической характеристике)
В2д4пп = 5 ˟ 0,35 = 1,75 м
В3д1пп = 4 ˟ 0,35 = 1,4 м
5.2.9 Количество борон
Пб = В2д4пп / Вбк (9)
где, В2д4пп – конструктивная ширина захвата корпуса плуга, В2д4пп = 1,75 м (по формуле (8));
Вбк – конструктивная ширина захвата бороны, Вбк = 0,95 м (по технической характеристике)
Пб = 1,75 / 0,95 = 1,84, принимаю 2
5.2.10 Конструктивная ширина захвата борон
Вбк = Пб ˟ Вбк (10)
где, Пб – количество борон, Пб = 2 (по формуле (9));
Вбк – конструктивная ширина захвата бороны, Вбк = 0,95 м (по технической характеристике)
Вбк = 2 ˟ 0,95 = 1,9 м
5.2.11 Определяем сопротивление агрегата на 4 и 1 передаче
R2д4пагр = В2д4пп ˟ (а ˟ Кмпл + ΔRп) + Вбк ˟ (Кмб + ΔRб) кН (11)
R3д1пагр = В3д1пп ˟ (а ˟ Кмпл + ΔRп) + Вбк ˟ (Кмб + ΔRб)
где, В2д4пп – конструктивная ширина захвата плуга на 4 передаче, В2д4пп = 1,75 м (по формуле (8));
В3д1пп – конструктивная ширина захвата плуга на 1 передаче, В3д1пп = 1,4 м (по формуле (8));
а – глубина вспашки, а = 0,25 м (по агротехническим требованиям)
Кмпл – удельное сопротивление плуга при средней рабочей скорости, Кмпл = 52 кН/м (по формуле (4));
ΔRп – дополнительные сопротивление подъема 1 м ширины захвата плуга, ΔRп = 0,22 кН/м (по формуле (1));
Вбк – конструктивная ширина захвата борон, Вбк = 1,9 м (по формуле (10))
Кмб – удельное сопротивление бороны при средней рабочей скорости, Кмб = 0,6 кН/м (по формуле (5));
ΔRб – дополнительные сопротивление подъема 1 м ширины захвата бороны, ΔRб = 0,02 кН/м (по формуле (2));
R2д4пагр = 1,75 ˟ (0,25 ˟ 52 + 0,22) + 1,9 ˟ (0,6 + 0,02) = 24,3 кН
R3д1пагр = 1,40 ˟ (0,25 ˟ 52 + 0,22) + 1,9 ˟ (0,6 + 0,02) = 19,7 кН
5.2.12 Определим степень использования тягового усилия трактора на 4 и 1 передаче
ξ2д4пр = R2д4пагр / (Р2д4пкр – Gт ˟ i) (12)
ξ3д1пр = R3д1пагр / (Р3д1пкр – Gт ˟ i)
где, R2д4пагр, R3д1пагр – сопротивление агрегата на четвертой, первой передаче, R2д4пагр = 24,3 кН, R3д1пагр = 19,7 кН (по формуле (11));
Р2д4пкр, Р3д1пкр – номинальное тяговое усилие на крюке для 4 передачи Р2д4пкр = 30 кН, тоже для 1 передачи Р3д1пкр = 26,6 кН (по технической характеристике);
Gт – сила тяжести трактора, Gт = 73 кН (по технической характеристике);
i – уклон поля, i = 0,05 (по заданию)
ξ2д4пр = 24,3 / (30 – 73 ˟ 0,05) = 0,92
ξ3д1пр = 19,7 / (26,6 – 73 ˟ 0,05) = 0,86
Допустимое значение степени использованием тягового усилия ξ2д4пр = 0,92…0,95 (по таблице 1)
5.2.13 Определяем теоретическую производительность агрегата в час на 4 и 1 скоростях
W2д4пт = 0,1 ˟ В2д4пп ˟ V2д4пт га/ч (13)
W3д1пт = 0,1 ˟ В2д4пп ˟ V2д4пт
где, В2д4пт, В3д1пт – конструктивная ширина захвата агрегата на 4, 1 передаче, В2д4пт = 1,75 м, В3д1пт = 1,4 м (по формуле (8));
V2д4пт, V3д1пт – скорость на четвертой, первой передаче трактора Т-150, V2д4пт = 10,6 км/ч, V3д1пт = 11,4 км/ч
W2д4пт = 0,1 ˟ 1,75 ˟ 10,6 = 1,86 га/ч
W3д1пт = 0,1 ˟ 1,40 ˟ 11,4 = 1,60 га/ч
5.3 Вывод о составе агрегата и режиме работы МТА
Для вспашки поля в данных условиях рекомендую агрегат, состоящий из трактора Т-150 плуга ПЛН-5-35 и двух борон БЗСС1,0, наиболее рациональная передача 2д4п со степенью использования тягового усилия ξ2д4пр = 0,92.
Особенность расчета посадочных машин
5.1 Исходные данные для расчета
Рассчитать посадочную машину для посадки саженцев.
5.1.1 Устанавливаем условия работы агрегата: длина гона L = 100 м, ширина гона, Н = 100 м, глубина посадки, а = 0,4 м, ширина посадки, б = = 0,4 м, уклон местности i = 0,05.
5.1.2 Устанавливаем агротехнические требования к посадке саженцев [3] с. 194.
Технологически допустимая скорость при посадке саженцев Vагр = = 0,74…3 км/ч (табл. п.2).
5.1.3 Выбираем марку трактора.
Предлагаем использовать трактор ДТ-75.
По технической характеристике трактора, находим, что при посадке саженцев, в пределах технологически допустимой скорости, трактор должен работать на 2 передаче 2 диапазона и 4 передаче 3 диапазона, найдем номинальное тяговое усилия для них (табл. п.1)
Vт2д2 = 0,8 км/ч; Рнкр2д2 = 28,7 кН
Vт4д3 = 2,3 км/ч; Рнкр4д3 = 22,6 кН
Сила тяжести трактора (вес) Gт = 59,0 кН
5.1.4 Выбираем марку СХМ. Рекомендую посадочную машину МПС-1.
По технической характеристике находим: схема посадки 4 х 5 м (ширина междурядий 4 м и расстояние между саженцами 5 м), сила тяжести сажалки, Gм = 10,0 кН.
Мощность, затрачиваемая на привод сажалки через ВОМ трактора, NВОМ = 5 – 9 кВт, принимаем 5 кВт (табл. п.11)
5.2 Расчет МТА для посадки саженцев
5.2.1 Определяем дополнительное сопротивление ширины захвата посадочной машины:
ΔRм = (Gс ˟ i) / Вс кН/м (1)
где, Gс – сила тяжести сажалки, Gс = 10,0 кН (таблица 1);
i – уклон поля, i = 0,05 (по заданию);
Вс – конструктивная ширина захвата сажалки, определяем по формуле (2)
Вс = а ˟ б м2 (2)
где, а – глубина посадки, а = 0,4 м (по техническим требованиям);
б – ширина посадки, б = 0,4 м (по техническим требованиям)
Вс = 0,4 ˟ 0,4 = 0,16 м2
ΔRм = (10,0 ˟ 0,05) / 0,16 = 3,13 кН/м
5.2.2 Определяем удельное сопротивление СХМ при средней рабочей скорости
Км = К0 ˟ [1 + (Δс / 100) ˟ Vр ср] кН/м (3)
где, К0 – пассивный режим работы СХМ, К0 = 1,2 кН/м;
Δс – степень приращения удельного сопротивления машины при повышении скорости ∆с = 5…7 %, принимаю ∆с = 5 (табл. п.5);
Vp ср – средняя рабочая скорость СХМ, определяем по формуле (3)
Vp ср = (Vт2д2 + Vт4д3) / 2 км/ч (4)
где, Vт2д2, Vт4д3 – скорость на третьей, четвертой передаче трактора ДТ-75, Vт2д2 = 0,8 км/ч, Vт4д3 = 2,3 км/ч (см. п. 3)
Vp ср = (0,8 + 2,3) / 2 = 1,6 км/ч
Км = 1,2 ˟ [1 + (5 / 100) ˟ 1,6] = 1,2 ˟ [1 + (0,05 ˟ 1,6)] = 1,2 ˟ 1,08 = 1,3 кН/м
5.2.4 Тяговое сопротивление машины определяем по формуле
Rм = Вс ˟ (Км + ΔRм) кН (5)
где, Вс – конструктивная ширина захвата сажалки, Вс = 0,16 м2 (по формуле (2));
Км – удельное сопротивление СХМ при средней рабочей скорости, Км = 1,3 кН/м (по формуле (3));
ΔRм – дополнительные сопротивление ширины захвата посадочной машины, ΔRм = 3,13 кН/м (по формуле (1));
Rм = 0,16 ˟ (1,3 + 3,13) = 0,7 кН
5.2.5 Приведенная сила сопротивления на ВОМ, на которую уменьшается касательная сила тяги и соответственно Ркр на 2 передаче 2 диапазона и 4 передаче 3 диапазона определяем по формуле
Rпр2п2д = (3,6 ˟ NВОМ) / (Vт2п2д ˟ ηВОМ) кН (6)
Rпр4п3д = (3,6 ˟ NВОМ) / (Vт4п3д ˟ ηВОМ)
где, NВОМ – мощность, затрачиваемая на провод сажалки через ВОМ трактора NВОМ = 5 кВт (таблица п. 11);
Vт2п2д, Vт4п3д – скорость на третьей, четвертой передаче трактора ДТ-75, Vт3 = 0,8 км/ч, Vт4 = 2,3 км/ч (см. п. 3);
ηВОМ – КПД, учитывающий потери мощности в трансмиссии ВОМ, ηВОМ = 0,95 [4]
Rпр2п2д = (3,6 ˟ 5) / (0,8 ˟ 0,95) = 23,7 кН
Rпр4п3д = (3,6 ˟ 5) / (2,3 ˟ 0,95) = 8,2 кН
5.2.6 Определяем сопротивление агрегата на 2 передаче 2 диапазона и 4 передаче 3 диапазона
R2п2дагр = Rм + Rпр2п2д кН (7)
R4п3дагр = Rм + Rпр4п3д
где, Rм – тяговое сопротивление машины, Rм = 0,71 кН (по формуле (5));
Rпр2п2д, Rпр4п3д – приведенная сила сопротивления на ВОМ, на которую уменьшается касательная сила тяги и соответственно Ркр на передаче 2 диапазон 2 и передаче 4 диапазон 3, Rпр2п2д = 23,7 кН, Rпр4п3д = 8,2 кН (по формуле (6))
R2п2дагр = 0,7 + 23,7 = 24,4 кН
R4п3дагр = 0,7 + 8,2 = 8,9 кН
5.2.7 Определяем степень использование тягового усилия трактора
ξ2п2др = R2п2дагр / (Ркр3 – Gт ˟ i) (8)
ξ4п3др = R4п3дагр / (Ркр4 – Gт ˟ i)
где, R2п2дагр, R4п3дагр – сопротивление агрегата на 2 передаче 2 диапазона, на 4 передаче 3 диапазона, R4п3дагр = 24,4 кН, R4агр = 8,9 кН (по формуле (7));
Рнкр2п2д, Рнкр4п3д – номинальное тяговое усилие на крюке для 2 передачи 2 диапазона, Ркр2п2д = 28,7 кН, тоже для 4 передачи 3 диапазона, Ркр4п3д = = 22,6 кН (по технической характеристике);
Gт – сила тяжести трактора ДТ-75, Gт = 59,0 кН (по технической характеристике);
i – уклон поля, i = 0,05 (по заданию)
ξ2п2др = 24,4 / (28,7 – 59,0 ˟ 0,05) = 0,95
ξ4п3др = 8,9 / (22,6 – 59,0 ˟ 0,05) = 0,45
5.2.8 Определим часовую производительность агрегата:
W2п2д = 0,1 ˟ Вр ˟ Vт2п2д га/ч (9)
W4п3д = 0,1 ˟ Вр ˟ Vт4п3д
где, Вр – конструктивная ширина посадки саженцев, Вр = 4 м (по схеме посадки);
Vт2п2д, Vт4п3д – скорость на третьей, четвертой передаче трактора ДТ-75, Vт2п2д = 0,8 км/ч, Vт4п3д = 2,3 км/ч (см. п. 3)
W2п2д = 0,1 ˟ 4 ˟ 0,8 = 0,32 га/ч
W4п3д = 0,1 ˟ 4 ˟ 2,3 = 0,92 га/ч
5.3 Вывод о составе агрегата и режиме работы МТА
Для посадки саженцев рекомендуем агрегат, состоящий из ДТ-75 и сажалки МПС-1, наиболее рациональная работа на 2 передаче 2 диапазона со степенью использования тягового усилия трактора ξр = 0,95.
Особенность расчета транспортного агрегата
5.1 Исходные данные для расчета
Рассчитать транспортный агрегат для отвозки сенажной массы от комбайнов КСК-100 к траншее.
Условия работы: сухая грунтовая дорога; уклон i = 0,05
5.1.1 Выбираем марку трактора Т-150К, прицепа – ПТС-Ф-60
5.2 Расчет МТА для отвозки сенажной массы от комбайнов КСК-100 к траншее
5.2.1 Определяем тяговое сопротивление прицепа:
Rм = (Gм + Gгр) ˟ (fпр + i) кН (1)
где, Gм – вес прицепа (СХМ), Gм = 67 кН (табл. п.10);
Gгр – вес перевозимого прицепом груза, Gгр = 188 кН (по формуле (2));
fсц – коэффициент сопротивления качения сцепки, fсц = 0,05 (табл. 7);
i – уклон поля, i = 0,05 (по заданию)
Gгр =10 ˟ Vк ˟ γ ˟ Кк кН (2)
где, Vк – вместимость кузова, Vк = 55 м3 (табл. 4);
γ – объемная масса кузова, γ = 0,35 т/м3 (табл. 5);
Кк – коэффициент использования вместимости кузова, Кк = 0,9
Gгр =10 ˟ 55 ˟ 0,35 ˟ 0,9 = 188 кН
Rм = (67 + 188) ˟ (0,05 + 0,05) = 255 ˟ 0,1 = 25,5 кН
5.2.2 Требуемое номинальное тяговое усилие трактора определяем по формуле:
Ркр.н ≥ (Gм + Gгр) ˟ (fпр ˟ апр + i) + Gтр ˟ [fтр ˟ (атр – 1) + i] (3)
где, Gм – вес прицепа (СХМ), Gм = 67 кН (табл. п.10);
Gгр – вес перевозимого прицепом груза, Gгр = 188 кН (по формуле (2));
fсц – коэффициент сопротивления качения сцепки, fсц = 0,05 (табл. 7);
апр – коэффициент повышения сопротивления движению прицепа при трогании с места, апр = 1,8 (табл. 9);
i – уклон поля, i = 0,05 (по заданию);
Gтр – вес трактора Т-150К, Gтр = 76 кН (по табл. 1);
fтр – коэффициент сопротивления качению трактора, fтр = 0,02 (табл. 7);
атр – коэффициент повышения сопротивления движению трактора при трогании с места, атр = 2,48 (табл. 9)
Ркр.н ≥ (67 + 188) ˟ (0,05 ˟ 1,8 + 0,05) + 76 ˟ [0,02 ˟ (2,48 – 1) + 0,05] = 41,7 кН
5.2.3 Определим передачу трактора при трогании с места – это будет 2 диапазон 1 передача (табл. 1), так как на этой передаче Ркр.н = 45 кН, что несколько больше полученного по расчету значения.
5.2.4 Проверим достаточность силы сцепления трактора с почвой на выбранной передаче по формуле:
Fmax – Gтр ˟ (fтр ˟ атр + i) ≥ (Gм + Gгр) ˟ (fпр ˟ апр + i) (4)
где, Fmax – максимальная сила сцепления движителей трактора с почвой, Fmax = 60,6 кН (формула (5))
Gтр – вес трактора Т-150К, Gтр = 76 кН (по табл. 1);
fтр – коэффициент сопротивления качению трактора, fтр = 0,02 (табл. 7);
атр – коэффициент повышения сопротивления движению трактора при трогании с места, атр = 2,48 (табл. 9);
i – уклон поля, i = 0,05 (по заданию);
Gм – вес прицепа (СХМ), Gм = 67 кН (табл. п.10);
Gгр – вес перевозимого прицепом груза, Gгр = 188 кН (по формуле (2));
fсц – коэффициент сопротивления качения сцепки, fсц = 0,05 (табл. 7);
апр – коэффициент повышения сопротивления движению прицепа при трогании с места, апр = 1,8 (табл. 9)
Fmax = Gсц ˟ μ (5)
где, Gсц – сцепной вес трактора, Gсц = Gтр = 76 кН, если гусеничные и колесные трактора с двумя ведущими мостами и Gсц = (2 / 3) ˟ Gтр – для тракторов с одним ведущим мостом.
μ – коэффициент сцепления, µ = 0,8 (табл. 6);
Fmax = 76 ˟ 0,8 = 60,6 кН
60,6 – 76 ˟ (0,02 ˟ 2,48 + 0,05) ≥ (67 + 188) ˟ (0,05 ˟ 1,8 + 0,05)
53 ≥ 38,3
5.3 Вывод о составе агрегата и режиме работы МТА
Для отвозки сенажной массы от комбайнов КСК-100 к траншее рекомендую агрегат, состоящий из трактора Т-150К и прицепа ПТС-Ф-60, для трогания с места будет использоваться 2 диапазон 1 передача с тяговым усилием трактора, Ркр.н = 45 кН, сцепление движителей трактора с почвой достаточно хорошее.
Таблица 1 – Тяговые характеристики тракторов
|
Марка трактора |
показатель |
Работа на почве, подготовленной под посев, на передачах (кроме К-701) |
|||||||
|
1 |
2 |
3 |
4 |
5 |
6 |
7 |
|||
|
IIп 1p |
для К-701 |
IIIп 2р |
IIп 3р |
IIIп 3р |
|
||||
|
IIIп 1p |
IIп 2р |
||||||||
|
К-701 |
𝑁т, кВт |
119,0 |
122,6 |
124,5 |
123,8 |
123,0 |
121,7 |
|
|
|
Рт, кН |
57,0 |
53,9 |
47,0 |
42,7 |
39,5 |
34,8 |
|
||
|
𝜐р, км/ч |
7,50 |
8,18 |
9,52 |
10,42 |
11,20 |
12,60 |
|
||
|
𝐺ч, кг/ч Gт, кН |
50,2 134,0 |
49,6 |
50,0 |
50,5 |
50,6 |
50,6 |
|
||
|
Т-150К |
𝑁т, кВт |
72,3 |
77,0 |
77,8 |
75,6 |
|
|
|
|
|
Рт, кН |
37,0 |
30,9 |
25,5 |
21,1 |
|
|
|
||
|
𝜐р, км/ч |
7,0 |
9,0 |
11,0 |
12,90 |
|
|
|
||
|
𝐺ч, кг/ч Gт, кН |
30,3 81,0 |
29,9 |
29,8 |
29,7 |
|
|
|
||
|
МТЗ-82 |
𝑁т, кВт |
- |
16,3 |
28,1 |
31,2 |
31,6 |
30,0 |
27,0 |
|
|
Рт, кН |
- |
19,6 |
18,1 |
15,4 |
13,7 |
11,25 |
9,0 |
||
|
𝜐р, км/ч |
- |
3,0 |
5,6 |
7,3 |
8,3 |
9,6 |
10,8 |
||
|
𝐺ч, кг/ч Gт, кН |
- 40,0 |
9,4 |
14,8 |
14,3 |
13,8 |
13,5 |
13,0 |
||
|
МТЗ-80 |
передача |
3 |
4 |
5 |
7р |
6 |
8р |
|
|
|
𝑁т, кВт |
22,8 |
28,6 |
31,0 |
31,3 |
31,1 |
29,8 |
|
||
|
Рт, кН |
14,3 |
14,7 |
12,2 |
11,3 |
10,3 |
8,8 |
|
||
|
𝜐р, км/ч |
5,7 |
7,0 |
9,2 |
9,9 |
10,9 |
11,9 |
|
||
|
𝐺ч, кг/ч Gт, кН |
12,9 37,7 |
14,3 |
14,9 |
14,9 |
14,9 |
14,6 |
|
||
|
ЮМЗ-6Л |
𝑁т, кВт |
25,5 |
26,5 |
27,0 |
26,4 |
- |
- |
|
|
|
Рт, кН |
17,3 |
15,4 |
12,8 |
9,9 |
- |
- |
|
||
|
𝜐р, км/ч |
5,3 |
6,2 |
7,6 |
9,6 |
- |
- |
|
||
|
𝐺ч, кг/ч Gт, кН |
11,3 33,0 |
11,2 |
11,6 |
11,6 |
- |
- |
|
||
|
Т-40М |
𝑁т, кВт |
16,9 |
19,2 |
20,5 |
21,9 |
- |
- |
|
|
|
Рт, кН |
11,3 |
10,1 |
9,0 |
8,1 |
- |
- |
|
||
|
𝜐р, км/ч |
5,4 |
6,9 |
8,25 |
9,8 |
- |
- |
|
||
|
𝐺ч, кг/ч Gт, кН |
7,6 25,95 |
8,25 |
8,78 |
9,4 |
- |
- |
|
||
|
Т-150 |
𝑁т, кВт |
80,0 |
80,8 |
78,1 |
76,8 |
|
|
|
|
|
Рт, кН |
40,2 |
38,2 |
34,8 |
29,4 |
|
|
|
||
|
𝜐р, км/ч |
7,16 |
7,60 |
8,1 |
9,4 |
|
|
|
||
|
𝐺ч, кг/ч Gт, кН |
26,3 8,1 |
26,4 |
26,7 |
26,5 |
|
|
|
||
|
Т-40А |
𝑁т, кВт |
- |
60,1 |
64,6 |
68,6 |
65,6 |
65,1 |
62,5 |
|
|
Рт, кН |
- |
50,0 |
48,5 |
41,1 |
32,8 |
28,1 |
24,3 |
||
|
𝜐р, км/ч |
- |
4,35 |
4,6 |
6,0 |
7,2 |
8,2 |
9,25 |
||
|
𝐺ч, кг/ч Gт, кН |
- 26,0 |
22,9 |
22,7 |
23,0 |
23,4 |
23,0 |
23,0 |
||
|
ДТ-75 гусеничный
|
𝑁т, кВт |
41,0 |
43,0 |
43,6 |
42,8 |
41,3 |
39,3 |
35,1 |
|
|
Рт, кН |
31,0 |
28,7 |
25,8 |
22,6 |
19,4 |
16,5 |
11,8 |
||
|
𝜐р, км/ч |
5,45* 3,26 0,33 0,71 1,66 3,53 |
6,09* 3,64 0,37 0,80 1,86 3,95 |
6,77* 4.05 0,41 0,89 2,07 4,39 |
7,52* 4,50 0,46 0,99 2,30 4,88 |
8,38* 5,01 - - - - |
9,31* 5,57 - - - - |
11,49* 6,88 - - - - |
||
|
𝐺ч, кг/ч Gт, кН |
16,05 69,5 |
16,1
|
16,1
|
16,1
|
16,05
|
16,0
|
15,9
|
||
|
ДТ-75М гусеничный
|
𝑁т, кВт |
41,4 |
43,4 |
44,0 |
43,2 |
41,7 |
39,7 |
35,5 |
|
|
Рт, кН |
31,4 |
29,1 |
26,2 |
23,0 |
19,8 |
16,9 |
12,2 |
||
|
𝜐р, км/ч |
4,75 |
5,35 |
6,05 |
6,75 |
7,55 |
8,45 |
10,4 |
||
|
𝐺ч, кг/ч Gт, кН |
16,45 65,5 |
16,5 |
16,5 |
16,5 |
16,45 |
16,4 |
16,3 |
||
Примечание: * - в первом ряду скорость на основной передаче, во втором ряду скорость на понижающей передаче, в третьем ряду (Диапазон 1), в четвертом ряду (Диапазон 2), в пятом ряду (Диапазон 3), в шестом ряду (Диапазон 4) скорость с ходоуменьшителем.
Таблица 2 – Рекомендуемые агротехнические скорости движения машинно-тракторных агрегатов на полевых работах
|
Вид работы |
Скорость движения, км/ч |
|
|
1. Пахота плугами: |
Обычными |
4,0…7,5 |
|
скоростными |
7,0…10,0 |
|
|
2. Обработка: |
плоскорезами |
6,0…7,5 |
|
дисковыми орудиями |
7,0…10,0 |
|
|
3. Боронование зубовыми боронами |
4,0…8,0 |
|
|
4. Сплошная культивация |
6,0…12,0 |
|
|
5. Культивация междурядий |
5,0…8,0 |
|
|
6. Прикатывание |
7,0…11,0 |
|
|
7. Посев: |
зерновых |
7,0…12,0 |
|
пропашных |
6,0…8,5 |
|
|
8. Посадка картофеля |
4,0…6,5 |
|
|
9. Внесение удобрений |
6,0…9,0 |
|
|
10. Кошение рядковыми жатками |
до 12,0 |
|
|
11. Подбор валков |
5,0…8,0 |
|
|
12. Прямое комбайнирование |
4,0…7,0 |
|
|
13. Уборка: |
силосных культур |
4,0…6,0 |
|
трав на сено |
6,0…10,0 |
|
|
14. Посадка саженцев |
0,74…3, |
|
|
15. Транспортные работы |
до 25 |
|
Таблица 3 – Часовой расход топлива тракторов
|
Марка трактора |
Gто, км/ч |
Gтх, км/ч |
Gтр, км/ч |
|
гусеничный трактор: |
|
|
|
|
Т-4А |
2,5 |
9,5…13,0 |
17,0…23,4 |
|
Т-150 |
2,5 |
11,5…14,0 |
22,0…26,5 |
|
ДТ-75М |
1,9 |
7,5…10,0 |
14,0…16,5 |
|
ДТ-75 |
1,8 |
6,5…9,0 |
12,0…15,0 |
|
колесный трактор: |
|
|
|
|
К-701 |
3,5 |
19,0…30,0 |
32,0…51,0 |
|
Т-150К |
2,5 |
11,5…17,0 |
25,0…30,0 |
|
МТЗ-80/82 |
1,4 |
5,5…8,5 |
10,5…15,0 |
|
МТЗ-80/82 |
1,2 |
4,5…6,8 |
8,5…10,4 |
|
ЮМЗ-6Л |
1,3 |
4,2…6,5 |
8,5…11,6 |
|
Т-40М |
1,1 |
4,2…5,5 |
6,5…9,5 |
Примечание. Первые числа интервалов соответствуют наименьшему расходу топлива при загрузке 80…85% от Nт max, вторые – наибольшему расходу при Nт max.
Таблица 4 – Технологическая характеристика сценок
|
Показатели |
С-11У |
С-18А |
СП-11 |
СП-15 |
СП-16 |
СГ-21 |
|
1. Фронт оценки (наибольшее расстояние между местами крепления крайних машин) |
11 |
18 |
11 |
12 |
16 |
21 |
|
2. Вес сцепки, кН |
7,8 |
10,3 |
5,16∗ 7,51 |
11,30∗ 14,42 |
13,40∗ 16,52 |
9,8∗ 12,92 |
|
3. Колеса |
стальные |
пневматич. |
пневматич. |
пневматич. |
стальные |
|
|
4. С какими машинами агрегатируется |
прицепными |
прицепными или прицепными гидрофицированным и |
прицепными и прицепными гидрофилир. |
прицепными |
||
|
5. Примерное тяговое сопротивление сцепки, Rсц, кН |
1,0 |
1,6 |
0,7 |
2,5 |
2,5 |
1,2 |
Примечание: * - в числителе вес сцепки без маркера, в знаменателе с маркером.
Таблица 5 – Удельное сопротивление сельскохозяйственных машин (при скорости движения 5 км/ч)
|
Машина, условия работы |
Удельное сопротивление, кН/м |
|||||
|
Зубовые бороны: |
боронование паров и зяби |
1,4…1,6 |
||||
|
тяжелых почв |
2,0…2,4 |
|||||
|
лугов и пастбищ |
4,0…8,0 |
|||||
|
Сетчатые бороны |
0,6…0,9 |
|||||
|
Паровые культиваторы: |
Культивация на глубину 6…8 см с одновременным боронованием |
1,8…2,2 |
||||
|
Тоже, на глубину 10…14 см |
1,9…2,5 |
|||||
|
Культивация на глубину 6…8 см без боронования |
1,2…1,8 |
|||||
|
Тоже, на глубину 10…14 см |
1,5…2,1 |
|||||
|
Штанговые культиваторы |
1,6…2,6 |
|||||
|
Дисковые лущильники: |
Лущение стерни на легких почвах |
1,1…1,3 |
||||
|
тоже, на тяжелых почвах |
1,7…1,9 |
|||||
|
лущение засоренной и влажной стерни |
2,0…2,4 |
|||||
|
Лемешные |
2,0…4,0 |
|||||
|
Кольчато-шпоровые катки |
0,5…0,6 |
|||||
|
Водоналивные катки |
1,1…1,3 |
|||||
|
Сеялки дисковые узкорядные |
1,8…2,6 |
|||||
|
Прессовые сеялки на плотных почвах |
1,2…2,6 |
|||||
|
Прессовые сеялки на рыхлых почвах |
1,2…1,8 |
|||||
|
Картофелесажалки |
1,8…2,4 |
|||||
|
Картофелекопалки |
4,0…4,5 |
|||||
|
Туковые сеялки |
5,5…6,5 |
|||||
|
Культиваторы на междурядной обработке: |
|
|||||
|
|
кукурузы и подсолнечника на глубину 6…8 |
0,2…0,4 |
||||
|
тоже, на глубину 8…10 см |
0,8…0,9 |
|||||
|
тоже, на глубину 10…14 см |
1,1…1,2 |
|||||
|
Культиваторы: |
на междурядной обработке кукурузы и подсолнечника с подкормкой |
1,3…1,5 |
||||
|
на первой междурядной обработке картофеля |
1,1…1,3 |
|||||
|
тоже, с подкормкой |
1,5…1,8 |
|||||
|
Культиваторы-окучники |
|
1,5…1,8 |
||||
|
Прицепные сенокосилки |
|
0,9…1,4 |
||||
|
Грабли: |
поперечные |
0,5…0,6 |
||||
|
боковые |
0,7…0,9 |
|||||
|
Рядковые жатки прицепные |
1,2…1,5 |
|||||
|
Удельное сопротивление всех навесных сельскохозяйственных машин на 15…20% меньше удельного сопротивления прицепных машин одинакового захвата |
Кн = К − −(0,15… 0,20)К |
|||||
|
Таблица 6 – Коэффициенты сопротивления качению f и коэффициенты сцепления μ тракторов |
||||||
|
|
Колесные тракторы |
Гусеничные тракторы |
||||
|
|
f |
μ |
f |
μ |
||
|
1. Асфальтированное шоссе |
0,01 - 0,02 |
0,8 - 0,9 |
– |
– |
||
|
2. Гравийное шоссе |
0,020 - 0,03 |
0,6 |
– |
– |
||
|
3. Грунтовая сухая дорога |
0,025 - 0,045 |
0,6 - 0,8 |
0,02 - 0,07 |
0,9 - 1,0 |
||
|
4. Целина, плотная залежь |
0,03 - 0,07 |
0,7 - 0,9 |
0,06 - 0,07 |
1,0 - 1,1 |
||
|
5. Залежь 2 - 3 лет |
0,06 - 0,08 |
0,6 - 0,8 |
0,06 - 0,07 |
0,9 - 1,0 |
||
|
6. Стерня |
0,08 - 0,10 |
0,6 - 0,8 |
0,06 - 0,08 |
0,8 - 1,0 |
||
|
7. Вспаханное поле |
0,12 - 0,18 |
0,5 - 0,7 |
0,08 - 0,10 |
0,6 - 0,8 |
||
|
8. Поле, подготовленное под посев |
0,16 - 0,18 |
0,4 - 0,6 |
0,10 - 0,12 |
0,6 - 0,7 |
||
|
9. Скошенный луг, влажный |
0,08 |
0,6 - 0,8 |
0,07 |
0,7 - 0,9 |
||
|
10. Слежавшаяся пахота |
0,08 - 0,12 |
0,5 |
0,08 |
0,6 |
||
|
11. Укатанная снежная дорога |
0,08 - 0,04 |
0,3 - 0,4 |
0,06 - 0,07 |
0,5 - 0,7 |
||
|
12. Обледенелая дорога |
0,02 - 0,025 |
0,1 - 0,3 |
0,03 - 0,04 |
0,2 - 0,4 |
||
|
13. Болотно - торфяная целина осушенная |
– |
– |
0,11 - 0,14 |
0,4 - 0,6 |
||
|
14. Песок |
0,16 - 0,18 |
0,3 - 0,4 |
0,10 - 0,15 |
0,4 - 0,5 |
||
|
15. Полевая дорога |
0,06 - 0,09 |
0,6 |
0,06 - 0,08 |
0,8 - 0,9 |
||
Таблица 7 – Оптимальная степень использования тяговых усилий трактора
|
Трактор |
Пахота |
Посев, лущение, культивация, боронование и другие виды работ |
|
1. К-700А |
0,94…0,95 |
0,97…0,98 |
|
2. Т-4А |
0,93…0,94 |
0,92…0,94 |
|
3.. Т-100МГС |
0,90…0,91 |
0,92…0,93 |
|
4. Т-74, ДТ-75 |
0,90…0,91 |
0,93…0,94 |
|
5. ДТ-75М |
0,91…0,93 |
0,94…0,95 |
|
6. Т-150К |
0,86…0,90 |
0,90…0,93 |
|
7. Т-150 |
0,86…0,90 |
0,90…0,95 |
|
8. МТЗ-80 |
0,85…0,87 |
0,89…0,91 |
|
9. МТЗ-82 |
0,85…0,89 |
0,82…0,94 |
|
10. Т-40 |
0,83…0,85 |
0,78…0,93 |
Таблица 8 – Темп нарастания удельного тягового сопротивления
|
Работа |
Сельскохозяйственная машина |
∆ С, % |
|
Вспашка целены, залежи, пласта, пласта многолетних трав, стерни озимых (последнее при К0=60 кН/м2) |
Тракторный плуг |
5-7
|
|
Вспашка стерни озимых, кукурузы подсолнечника при К0=45-60 кН/м2 |
Тракторный плуг |
3-5 |
|
Вспашка легких и рыхлых (песчаных) почв при К0=45 кН/м2 |
Тракторный плуг |
2-3 |
|
Посев зерновых |
Сеялка рядовая или узкорядная |
1,5-3,0 |
|
Лущение стерни озимых |
Лущильник лемешный Лущильник дисковый |
2,5-3,5 2-3 |
|
Разделка пласта |
Дисковая борона |
2,5-4,0 |
|
Прикатывание |
Тракторный каток |
1-2 |
|
Боронование |
Зубовая борона |
1,5-2,5 |
|
Сплошная культивация |
Культиватор паровой |
2-5 |
|
Междурядовая обработка |
Культиватор пропашной |
2,5-3,5 |
Таблица 9 – Краткие технические характеристики сельхоз машин
|
Марка сельхоз машины |
Конструктивная ширина захвата, м |
Масса машины, кг |
Кинематическая длина, мм |
Кинематическая ширина, мм |
|
1 |
2 |
3 |
4 |
5 |
|
ПТК-9-35 |
3,15 |
2800 |
10220 |
3600 |
|
ПЛП-6-35 |
2,1 |
1230 |
6430 |
2570 |
|
ПЛН-5-35 |
1,76 |
800 |
4250 |
2050 |
|
ПЛН-4-35 |
1,4 |
710 |
3485 |
1780 |
|
ПЛН-3-35 |
1,05 |
522 |
2650 |
1420 |
|
ПГП-7-40 |
2,8 |
2220 |
6500 |
3650 |
|
КПГ-2,2 |
2,15 |
1030 |
|
|
|
КПГ-2,2Х2 |
4,25 |
2230 |
4550 |
4250 |
|
КПГ-2-150 |
3,1 |
860 |
1730 |
3100 |
|
КПЭ-3,8А |
3,8 |
1000 |
3920 |
3800 |
|
ЛДГ-20 |
20 |
5514 |
21670/21250 |
4000/20000 |
|
ЛДГ-15 |
15…17,6 |
3765 |
10420 |
5000 |
|
ЛДГ-10 |
10…12 |
2450 |
7400 |
5000 |
|
ЛДГ-5 |
5…5,8 |
1080 |
4300 |
3200 |
|
БДН-3,0 |
3 |
698 |
1900 |
3100 |
|
БД-10 |
10 |
3700 |
11800 |
4200 |
|
БДТ-7 |
7 |
3500 |
4380 |
4850 |
|
БЗТС-1,0 |
0,95 |
42 |
1352 |
970 |
|
БЗСС-1,0 |
0,95 |
35 |
1352 |
970 |
|
ЗПБ-0,6А |
1,77 |
50,2 |
2030 |
1820 |
|
ВИП-5,6 |
5,6 |
2180 |
5400/8500 |
5900/2420 |
|
БП-8 |
8 |
1428 |
2500 |
8700 |
|
БИГ-3А |
3 |
1100 |
3535 |
3072 |
|
ЗККШ-6А |
6,1(2,09) |
1835 |
720 |
2100 |
|
ЗКВГ-1,4 |
4(140) |
834 |
7460 |
4244 |
|
КПС-4,0 |
4 |
969 |
3570 |
3950 |
|
КПШ-9 |
8,2 |
2200 |
8200 |
3250 |
|
РБК-3,6 |
36 |
2500 |
4530 |
3950 |
|
АКП-2,5 |
2,5 |
2038 |
5920 |
2950 |
|
КА-3,6 |
3,6 |
3410 |
11200 |
4270 |
|
РУМ-8 |
до 17 |
3310 |
5990 |
2465 |
Продолжение таблицы 9
|
1 |
2 |
3 |
4 |
5 |
|
IРМГ-4 |
6…14 |
1460 |
5250 |
2100 |
|
ПРТ-16 |
6…7 |
6020 |
8920 |
2520 |
|
ПРТ-10 |
6…7 |
4000 |
1060 |
2520 |
|
РУМ-5 |
до 22 |
2030 |
5550 |
2200 |
|
РУМ-16 |
12…27 |
8250 |
|
|
|
ПОУ |
1…15 |
600 |
15000 |
|
|
ОП-1660-2 |
22,5 |
1530 |
4800 |
28000 |
|
СЗ-3,6 |
3,6 |
1450 |
3490 |
4225 |
|
СЗУ-3,6 |
3,6 |
1480 |
3490 |
4800 |
|
СЗП-3,6 |
3,6 |
1870 |
3985 |
3710 |
|
СЗСШ-3,6 |
3,6 |
1780 |
4800 |
3710 |
|
С-11У |
12,0 |
700 |
|
|
|
СП-11А |
10,8 |
915 |
|
|
|
СП-16 |
16,0 |
1762 |
|
|
|
СП-18А |
21,6 |
1030 |
|
|
|
СГ-21 |
16,0 |
1800 |
|
|
|
СН-75 |
12,6 |
1250 |
|
|
Таблица 10 – Урожайность некоторых сельхозкультур
|
Культура |
Урожайность, ц/га |
|
Озимая пшеница |
45 |
|
Ячмень |
43 |
|
Горох |
43 |
|
Сахарная свекла |
457 |
|
Картофель |
304 |
|
Подсолнечник |
20 |
|
Люцерна |
120 |
|
Овощи |
300 |
|
Фрукты и ягоды |
200 |
Таблица 11 – Допустимая пропускная способность уборочных машин
|
Наименование машин |
Марка машин |
кг/с |
|
Зерноуборочные комбайны |
СК-10В “Ротор” |
10 – 12 |
|
ДОН-1500 |
8 |
|
|
ЕНИСЕЙ-1200 |
6 |
|
|
ЕНИСЕЙ-1200Н |
6 |
|
|
ЕНИСЕЙ-1200-1 |
6 |
|
|
СК-5М “Нива” |
5 – 5,5 |
|
|
СК-6А “Колос” |
7 – 8 |
|
|
Кормоуборочные комбайны |
КСК-100А: |
|
|
на уборке зеленой травы |
10 |
|
|
на уборке подвяленной травы |
7 |
|
|
на уборке кукурузы на силос |
25 |
|
|
Е-282: |
|
|
|
на уборке зеленой травы |
20 |
|
|
на уборке подвяленной травы |
15 |
|
|
на уборке кукурузы на силос |
30 |
|
|
КПИ-2,4* |
|
|
|
на уборке зеленой травы |
6,8 |
|
|
на уборке подвяленной массы |
4,5 |
|
|
на уборке кукурузы на силос |
9,3 |
|
|
Кукурузоуборочные комбайны |
КСКУ-6А |
8 – 9 |
|
Картофелеуборочные комбайны |
ККП-3 * |
6 |
|
КПК-2 *и его модификации |
220 – 250 |
|
|
Подборщики прицепы |
ТП-Ф-45 * |
не менее 5,15 |
|
Пресс-подборщики |
ППЛ-Ф-1,6М * |
8 |
|
РПЛ-1500 * |
8 |
|
|
ПРП-1,6 * |
7,5 |
|
|
ПР-Ф-750 * |
7,5 |
Примечание: * – прицепные машины
Скачано с www.znanio.ru
Материалы на данной страницы взяты из открытых источников либо размещены пользователем в соответствии с договором-офертой сайта. Вы можете сообщить о нарушении.