Учитель: Товранович Анастасия Сергеевна
Класс:7 Алгебра
ТЕМА: Разложение многочлена на множители способом группировки
Цели урока: познакомить с новым методом и сформировать алгоритмический прием по теме разложение многочлена на множители способом группировки, способствовать деятельности обучающихся по самостоятельному выводу алгоритма разложения многочлена на множители способом группировки на основании применения законов сложения и умножения.
Задачи:
Образовательные
–формирование универсальных учебных действий, обеспечивающих обучающихся умению учиться, способность к саморазвитию и самосовершенствованию;
– создание организационных и содержательных условий для успешного усвоения учащимися приёма разложения многочлена на множители способом группировки.
Развивающие
–развитие универсальных учебных действий, продолжить развитие умений и навыков сравнительного анализа, самостоятельной работы, способствовать деятельности учащихся по самостоятельному выводу алгоритма разложения многочлена на множители способом группировки;
– развитие внимания, наблюдательности, умения анализировать, развивать устойчивую мотивацию к процессу обучения.
Воспитательные
–прививать умение слушать учителя и своих одноклассников, уважение друг к другу, необходимое для работы в группе;
– способствовать воспитанию ответственности учащихся за свою деятельность на уроке, умению самостоятельно добывать знания, овладению способами и критериями самоконтроля и самооценки;
– прививать и воспитывать интерес к предмету «математика».
ХОД УРОКА
I. Организационный момент
II. Проверка домашнего задания (фронтально)
III. Устная работа
1) Разложить на множители:

2) Разложить на множители:

IV. Изложение нового материала
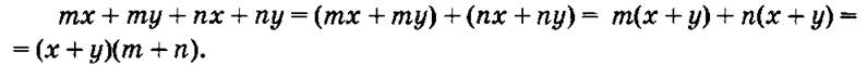
1. Способ группировки применяют к разложению на множители тех многочленов, у которых нет общего для всех членов множителя.
2. ![]()
Этот пример не вызывает затруднений, так как является упражнением на повторение.
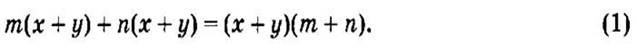
3. Разложить на множители многочлен:
![]()
а) Все ли члены многочлена (2) имеют общий множитель? (нет);
б) Сравнить многочлены (1) и (2). (Это один и тот же многочлен, записанный по-разному);
в) Следовательно, какой ответ мы должны получить, разложив многочлен на множители? ((x + y)(m + n)).
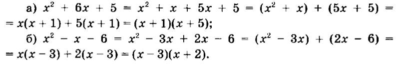
4. Далее учитель объясняет, что надо члены, имеющие общие множители, собрать в группы и заключить в скобки. Поэтому и способ называется способом группировки. Далее решаем с подробным объяснением каждого шага:

5. Читаем по учебнику п. с. (до примера 3).
6. Выделяем последовательность всех операций (алгоритм), которые надо выполнить:
1) Подбираем члены так, чтобы они имели общий множитель;
2) Подобранные члены объединяем в группы;
3) Группы заключаем в скобки;
4) Выносим за скобки общий множитель и получаем разложение многочлена на множители.
7. Обращаем внимание на возможную проверку полученного результата.
8. Если при группировке окажется, что группы взяты неудачно, то члены перегруппировывают.
Физминутка
V. Тренировочные упражнения
№ — на доске и в тетрадях с подробным объяснением;
№ — самостоятельно с последующей проверкой;
№ — на доске и в тетрадях.
VI. Упражнения на повторение
№
VII. Итог урока
Повторить алгоритм разложения многочлена на множители способом группировки
VIII. Домашнее задание.
П
Учитель: Товранович Анастасия Сергеевна
Класс 7 Алгебра
ТЕМА: Разложение многочлена на множители способом группировки
Цели урока
Образовательные:
Развивающие:
Воспитательные:
ХОД УРОКА
I. Организационный момент
II. Проверка домашнего заданна (выборочно)
III. Фронтальная работа с классом
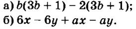
1) Разложите многочлен на множители:

2) Каков алгоритм разложения многочлена на множители с помощью группировки?
(можно на примере аb – 2b + 5а - 10).
3) Вычислите:

IV. Тренировочные упражнения
1) № — на доске и в тетрадях;
2) разбор примера 3 с. по учебнику;
3) № (а, б).

Физминутка
V. Самостоятельная работа (с проверкой)
Вариант I
а) № ( );
б) № ( ).
Вариант II
а) № ( );
б) № ( ).
VI. Упражнения на повторение
№
VII. Итог урока
VIII. Домашнее задание.
п.
Учитель: Товранович Анастасия Сергеевна
Класс: 7 Алгебра
ТЕМА: Контрольная работа № 6
ЦЕЛЬ УРОКА: Проверка знаний учащихся.
Коммуникативные: регулировать собственную деятельность посредством письменной речи.
Регулятивные: оценивать достигнутый результат.
Познавательные: выбирать наиболее эффективные способы решения задачи
ХОД УРОКА
I. Организационный момент
II. Контрольная работа
Вариант I
1. Представить в виде многочлена:

2. Разложить на множители

3. Решить уравнение
(х - 10)(х - 1) - (x + 1)(x - 4) = 6.
4. Представить многочлен в виде произведения:

5. Длина прямоугольника на 7 м меньше его ширины. Если длину увеличить на 5 м, а ширину — на 3 м, то его площадь увеличится на 54 м2. Найти длину и ширину прямоугольника.
Вариант II
1. Представить в виде многочлена:

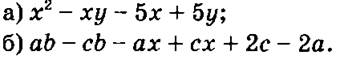
2. Разложить на множители:
а) у(4х + 3) - 6(4x + 3);
б) ух - уа + 3х - 3а.
3. Решить уравнение
(х - 12)(х - 3) - (х - 1)(x - 6) = 6.
4. Представить многочлен в виде произведения:
а) 5b - bс - 5с + с2;
б) хb + bу - ах – ау - 3х - 3у.
5. Длина прямоугольника втрое больше его ширины. Если длину увеличить на 2 см, а ширину — на 4 см, то его площадь увеличится на 78 см2. Найти длину и ширину прямоугольника.
Скачано с www.znanio.ru
Материалы на данной страницы взяты из открытых источников либо размещены пользователем в соответствии с договором-офертой сайта. Вы можете сообщить о нарушении.