План урока

  • docx
  • 30.04.2020
Публикация на сайте для учителей

Публикация педагогических разработок

Бесплатное участие. Свидетельство автора сразу.
Мгновенные 10 документов в портфолио.

Иконка файла материала План урока.docx

Краткосрочный план

План урока

 

Раздел8.4A Неравенства

Урок№

Школа:

Дата:

ФИО учителя:

Класс: 8

Количество присутствующих:

отсутствующих:

Тема урока:

Решение систем неравенств

Вид урока

Изучениеновойтемы

Цели обучения, которые достигаются на данном  уроке (ссылка на учебную программу)

8.2.2.11 решать системы и совокупности двух квадратных неравенств

Цели урока

·         Формирование умения решать системы и совокупности двух квадратных неравенств.

·         Развитие умений анализировать, сравнивать, обобщать.

Критерии оценивания

Учащиеся:

решают системы и совокупности двух квадратных неравенств

Языковые цели

 

Учащиеся:

Проговаривают ход решения системы и совокупности двух квадратных неравенств

 

Лексика и терминология, специфичная для предмета:

Квадратное неравенство

Метод интервалов

Пересечение множеств

Объединение множеств

Система неравенств

Совокупность неравенств

 

Полезные выражения для диалогов и письма:

Найти множество общих решений…

Множество всех значений, являющихся решением хотя бы одного из данных неравенств

Изобразить на числовой прямой…

Область определения выражения…

 

Привитие ценностей

глубокие академические знания, позволяющие успешно конкурировать в мировом образовательном пространстве;

 

Межпредметные связи

 

Навыки использования

ИкИКТ

Навыки применения интерактивной доски (ActivPrimary, ActivStudio, ActivInspire).

Предварительные знания

 

Решение квадратных неравенств, операции с множествами

Ход урока

 этапы урока

Запланированная деятельность на уроке

Ресурсы

Начало урока

 

2минуты

Организационный момент:

Приветствие учащихся.

Разминка - физминутка

https://www.youtube.com/watch?v=SAWr-KZhD0E

 

Середина урока

 

 

 

 

 

 

5 мин

 

 

 

 

 

 

 

5 мин

 

 

 

 

 

 

 

 

 

15 мин

 

 

 

 

 

 

 

 

 

 

 

 

 

 

 

 

 

 

 

 

 

 

 

 

 

 

 

 

 

 

 

 

 

 

10 мин

 

 

 

 

 

 

 

 

10 мин

 

 

 

 

 

 

 

 

25 мин

 

 

 

 

 

 

 

 

 

 

 

 

 

 

 

 

 

 

 

 

 

 

 

 

 

 

 

 

 

 

 

 

 

 

 

10 мин

Повторение

1)      повторить методы решения квадратных неравенств;

2)      повторить операции пересечения и объединения множеств.

Работа в парах

Задание 1. Решите неравенствографическим методом и методом интервалов.

Один ученик из пары решает неравенство одним методом, а второй ученик решает это же неравенство другим методом. Затем они обмениваются тетрадями и выполняют взаимопроверку.

Задание 2.Покажите на числовой прямой и найдите объединение и пересечение двух множеств (промежутков)М и K, если:

1)   М=[-12;0),K=(-;-5).

2)      M=(-7;-3], K=[3;7]

Ученики в паре обсуждают и выполняют задание вместе. Проверку можно сделать по правильным ответам на доске либо учитель проговаривает ответы.

Актуализация новых знаний

Попросите учащихся решить неравенства ии показать их решение на числовой прямой. Затем попросите найти пересечение и объединение этих решений.

Определение:

Если ставится задача найти множество общих решений двух или нескольких неравенств, то говорят, что требуется решить систему неравенств. Для обозначения системы неравенств используется знак {.

Алгоритм решения системы неравенств:

1)      Находим решение каждого неравенства;

2)      Отмечаем решение каждого неравенства на различных числовых осях, соблюдая упорядоченность значений;

3)      Находим пересечение полученных множеств.

Определение:

Если ставится задача найти множество всех значений, являющихся решением хотя бы одного из данных неравенств, то говорят, что  надо решить совокупность неравенств.Для обозначения совокупности неравенств используется знак [.

 

Попросить учащихся составить алгоритм решения совокупности неравенств самостоятельно.

Алгоритм решения совокупности неравенств:

1)      Находим решение каждого неравенства;

2)      Отмечаем решение каждого неравенства на различных числовых осях, соблюдая упорядоченность значений;

3)      Находим объединение  полученных множеств.

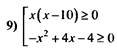
Разобрать пример.

Пример:

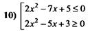
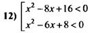
Решить систему и совокупность двух неравенств

1)  

2)  

Работа в группах– Мозговой штурм

При каких значениях переменной выражение + имеет смысл?

 

Представитель группы, быстрее всех выполнившей задание, показывает решение у доски.

Закрепление    - коллективная работа (работа у доски)

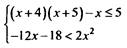
Решите совокупности неравенств:

Дополнительные задания

1)     

2)  

 

 

Проверочная работаиндивидуальная работа (формативное оценивание)

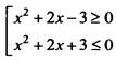
1)      Решить систему неравенств

2)      Решить совокупность неравенств   

Собрать работы на проверку

 

 

 

 

 

 

 

 

 

 

 

 

 

 

 

 

 

 

 

 

 

 

 

 

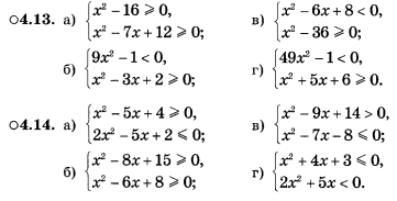
А.Н.Шыныбеков «Алгебра 9» учебник для 9 класса общеобразовательной школы

 

И.П.Рустюмова, С.Т.Рустюмова «Пособие для подготовки к ЕНТ по математике »

 

 

 

 

 

 

 

 

 

 

 

 

 

 

 

 

 

 

 

 

 

 

 

 

 

 

 

 

 

 

 

А.Г.Мордкович и др. «Алгебра 9 » задачник для 9 кл. общеобразовательных учреждений

 

 

 

 

 

 

 

 

 

И.П.Рустюмова, С.Т.Рустюмова «тренажер по математике для  подготовки к ЕНТ»

 

Конец урока

3 мин

Подведение итогов урока.

Подведение итогов урока. Рефлексия «Пять пальцев»

Домашнее задание из сборникаИ.П.Рустюмова, С.Т.Рустюмова «Тренажер по математике для  подготовки к ЕНТ»

 

 

Дифференциация – каким образом Вы планируете оказать больше поддержки? Какие задачи Вы планируете поставить перед более способными учащимися?

Оценивание – как Вы планируете проверить уровень усвоения материала учащимися?

Здоровье и соблюдение техники безопасности

Продвинутым ученикам даются более сложные задачи.

Взаимооценивание работы учащихся в парах, работа в тетрадях – выборочно собрать тетради на проверку у 5 учащихся .

 

физминутка;

 

Рефлексия по уроку

Были ли цели урока/цели обучения реалистичными?

Все ли учащиеся достигли ЦО?

Если нет, то почему?

Правильно ли проведена дифференциация на уроке?

Выдержаны ли были временные этапы урока?

Какие отступления были от плана урока и почему?

Используйте данный раздел для размышлений об уроке. Ответьте на самые важные вопросы о Вашем уроке из левой колонки. 

 

Общая оценка

Какие два аспекта урока прошли хорошо (подумайте как о преподавании, так и об обучении)?

1:

2:

Что могло бы способствовать улучшению урока (подумайте как о преподавании, так и об обучении)?

1:

2:

Что я выявил(а) за время урока о классе или достижениях/трудностях отдельных учеников, на что необходимо обратить внимание на последующих уроках?

 


 

Скачано с www.znanio.ru