Ф.И._______________________________________________________________
ОГЭ Самостоятельная работа. Свойства арифметического корня-1
1 вариант
1.
![]()
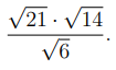
2. ![]()
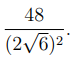
3. ![]()
4. 
5. 
Ф.И._______________________________________________________________
ОГЭ Самостоятельная работа. Свойства арифметического корня-1
2 вариант
1.
![]()
2. ![]()
3. ![]()
4. 
5. 
Ф.И._______________________________________________________________
ОГЭ Самостоятельная работа. Свойства арифметического корня-1
3 вариант
1.
![]()
2. ![]()
3. ![]()
4. 
5. 
Ф.И._______________________________________________________________
ОГЭ Самостоятельная работа. Свойства арифметического корня-1
4 вариант
1.
![]()
2. ![]()
3. ![]()
4. 
5. 
Ф.И._______________________________________________________________
ОГЭ Самостоятельная работа. Свойства арифметического корня-2
1 вариант
1.
![]()
2.
![]()
3.

4.

5.

Ф.И._______________________________________________________________
ОГЭ Самостоятельная работа. Свойства арифметического корня-2
2 вариант
1.![]()
2. ![]()
3. ![]()
4. 
5. 
Ф.И._______________________________________________________________
ОГЭ Самостоятельная работа. Свойства арифметического корня-2
3 вариант
1.
![]()
2.
![]()
3.
![]()
4.

5.

Ф.И._______________________________________________________________
ОГЭ Самостоятельная работа. Свойства арифметического корня-2
4 вариант
1.
![]()
2.
![]()
3.
![]()
4.

5.

Ответы
Самостоятельная работа - 1
|
|
1 вар |
2 вар |
3 вар |
4 вар |
|
|
№1 |
81 |
16 |
36 |
64 |
|
|
№2 |
420 |
680 |
630 |
660 |
|
|
№3 |
30 |
30 |
42 |
42 |
|
|
№4 |
3 |
7 |
4 |
7 |
|
|
№5 |
0,5 |
0,5 |
0,1 |
0,25 |
|
Самостоятельная работа – 2
|
|
1 вар |
2 вар |
3 вар |
4 вар |
|
№1 |
2 |
3 |
4 |
5 |
|
№2 |
6 |
3 |
2 |
5 |
|
№3 |
1152 |
1008 |
2025 |
1350 |
|
№4 |
110 |
288 |
84 |
384 |
|
№5 |
8 |
9 |
2 |
2 |
Материалы на данной страницы взяты из открытых источников либо размещены пользователем в соответствии с договором-офертой сайта. Вы можете сообщить о нарушении.