|
|
|
![]() |
|
|
|


|
|
|

|
Почему если в чашке нет воды, мы не видим монету, а когда есть вода монета становится видимой? |
![]() |
Вода
|
|
|

|
|
|
|
|
|
|
|
|
|
|
|
|
|
Законы преломления света
|
|
|
|||||
|
|
|
|
|||
|
|
|
|
Изменение скорости распространения света (в случае перехода из одной прозрачной среды в другую) |
|
Оптически плотная среда: |
|
Чем меньше скорость света в среде, тем больше его оптическая плотность |
Причина преломления света:
|
|
|
|
|
|
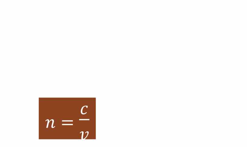
Физический смысл показателя преломления:




По 2-му закону преломления света :
|
С большей оптической плотностью |
|
С меньшей оптической плотностью |
|||||
|
|
|
|
||||
|
|
|
![]() |
|
с – скорость в вакууме |
|
|
|
v – скорость в среде |
|
|
|
|
Связаны ли между собой абсолютный и относительный показатели преломления?
|
|
|
n1, n2 – абсолютные показатели преломления
n21 – относительный показатель преломления
![]() |
|
Переворачивает изображение |
|
Возвращает изображение |
Призмы полного отражения

|
Фотоаппарат |
|
Перископ |

Призмы полного отражения

|
Медицина |
|
Декоративные светильники |
|
Передача информации |
Световоды применяют

|
Почему этих существ не видно в воде? |
|
Останутся ли они невидимыми в воздухе? |
|
Почему глаза у них непрозрачные? |
1. Перистоусого комара в воде не видно из-за его прозрачности, но глаза у этих существ хорошо заметны в виде черных точек.

|
Почему маска для подводного плавания позволяет четко видеть под водой? |
|
|
|
![]() |
![]() |
||
из стекла)
|
|
|
|
|
|


Материалы на данной страницы взяты из открытых источников либо размещены пользователем в соответствии с договором-офертой сайта. Вы можете сообщить о нарушении.