Проверочный тест по теме: "Производная" 11 класс

  • docx
  • 08.02.2026
Публикация на сайте для учителей

Публикация педагогических разработок

Бесплатное участие. Свидетельство автора сразу.
Мгновенные 10 документов в портфолио.

Иконка файла материала производная.docx

Проверочный тест по теме «Производная»

11 класс

 

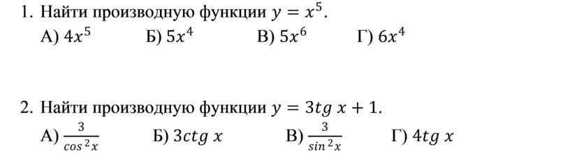
1.  Найти производную функции  

А)          Б)          В)               Г) 4

 

2.  Найти производную функции  

А)          Б)          В)        Г)

 

3.  Вычислить значение производной функции  в точке

А)                     Б)                    В)                Г) 4

 

4.  Найти производную функции  в точке

А)             Б)          В)        Г)

5.   Найти производную функции .

А)             Б)          В)        Г)

6.  Найти производную функции  

А)          Б)           В)        Г) 1

 

7.   Вычислить значение производной функции  в точке

А)                     Б)                 В)                Г) 48

 

8.   Найти производную функции

А)                     Б)                  В)                   Г)

 

9.  Найти производную функции .

А)             Б)              В)            Г)

 

10.   Найти производную функции .

А)             Б)              В)            Г)

 

11.         Найти производную функции .

А)             Б)              В)            Г)

 

 

12.     Найти производную функции .

А)             Б)              В)            Г)


 

Скачивание материала доступно только для авторизованных пользователей.