Методические рекомендации к проведению урока
Тема урока: Решение систем неравенств
Тип урока: Урок изучения новой темы
Цели обучения:
8.2.2.11
решать системы и совокупности двух квадратных неравенств;
Цели урока:
Учащиеся
· решают квадратные неравенства;
· находят решение системы неравенств.
Структура урока
1. Организационный момент. Целеполагание.
2. Повторение.
3. Введение понятия системы неравенств.
4. Закрепление.
5. Работа в парах.
6. Подведение итогов урока. Рефлексия.
Теоретический материал к уроку, определения к понятиям и др.
Если требуется найти общее решение нескольких неравенств, значит необходимо решить систему, состоящую из этих неравенств.
Решением системы неравенств называются значения переменной, которые обращают каждое неравенство системы в верное числовое неравенство.
То есть решением системы неравенств является пересечение решений неравенств системы.
Систему неравенств записывается с помощью фигурной скобки.
Для того, чтобы найти решение системы неравенств необходимо
1) отдельно решить каждое из неравенств;
2) найти пересечение решений этих неравенств.
Инструкции к демонстрациям и технике безопасности.
Демонстрация материала осуществляется с помощью презентации PowerPoint. Слайды презентации содержат анимации, которые позволяют поэтапно вывести на экран решения и ответы к предложенным заданиям. Поэтому при показе презентации следует делать паузы после демонстрации заданий и постановки вопросов, давая учащимся время на их выполнение и обдумывание ответов.
Дополнительные методические рекомендации по организации урока.
Структура и организация урока нацелены на продуктивную деятельность учащихся при изучении новой темы, не допуская пассивного восприятия материала. В связи с этим учителю необходимо задавать учащимся вопросы высокого порядка, наталкивая их на «открытие» и освоение нового материала, при этом выдерживая паузы, необходимые для обдумывания.
Дополнительные разноуровневые (на дифференциацию) задания.
Базовый уровень
Решите систему неравенств:

Продвинутый уровень
Решите систему неравенств:

Рекомендации по формативному оцениванию.
Формативное оценивание производится на каждом этапе урока (самооценивание, оценивание учителем по критериям). Оценка путем наблюдения за вовлечением учеников в работу при выполнении заданий и за участием в диалогах. Прогресс, ответную реакцию на задания в парах, в группах необходимо отслеживать для того, чтобы оценить вклад каждого ученика и выявить наличие ошибок для их дальнейшей коррекции.
Ответы, критерии к заданиям, дополнительные материалы к уроку.
Ответы к заданиям будут полезны для организации самооценивания или взаимооценивания учащихся.
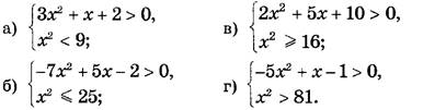
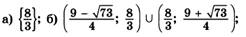
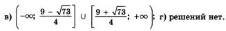
Ответы к приложению 1.
№1.
![]()
№2. а)
; б) решений нет; в)
; г)
.
Критерии оценивания к каждому блоку заданий прописаны в приложениях к уроку, а также указаны в краткосрочном плане.
Список полезных ссылок и литературы.
Мордкович А.Г., Николаев Н.П. Алгебра 9 класс, учебник для общеобразовательных учреждений. – М.: Мнемозима, 2008.
Мордкович А.Г., Николаев Н.П. Алгебра 9 класс, задачник для общеобразовательных учреждений. – М.: Мнемозима, 2008.
Звавич Л.И., Рязановский А.Р., Семенов В.П. Алгебра 9 класс, задачник для общеобразовательных учреждений. – М.: Мнемозима, 2008.
http://interneturok.ru/ru/school/algebra/9-klass/sistemy-racionalnyh-neravenstv/sistemy-iz-lineynyh-i-kvadratnyh-neravenstv
Скачано с www.znanio.ru
Материалы на данной страницы взяты из открытых источников либо размещены пользователем в соответствии с договором-офертой сайта. Вы можете сообщить о нарушении.