Самостоятельная работа по теме "Преобразование выражений" (задание №7 ЕГЭ профильный уровень)ие

  • Контроль знаний
  • docx
  • 17.12.2025
Публикация на сайте для учителей

Публикация педагогических разработок

Бесплатное участие. Свидетельство автора сразу.
Мгновенные 10 документов в портфолио.

Иконка файла материала задание 7.docx

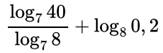
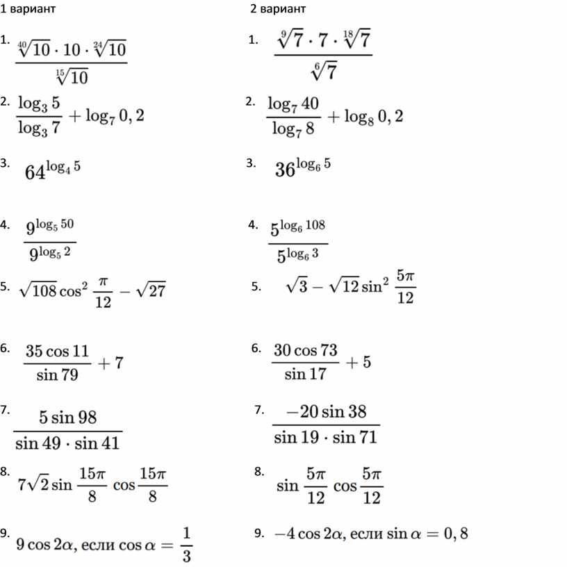
1 вариант                                                                   2 вариант                          

1.                                                                               1.

                                                                                                                                                                   

2.                                                                              2.                                                                    

 

3.                                                                                  3.                                      

 

4.                                                                               4.                                     

5.                                                                                5.                                                                             

 

6.                                                                                6.

 

7.                                                                                 7.

 

8.                                                                                 8.                                         

 

9.                                                                                 9.


 

Скачивание материала доступно только для авторизованных пользователей.