Электрмагниттік индукция құбылысы
|
Тәжірибе жүзінде тағайындалған: |
|
Индукциялық токтың күші контур шектеп тұрған бетті тесіп өтетін магнит ағынының өзгеру жылдамдығына тура пропорционал. Фарадей осындай қорытындыға келді. |
|
|
|
|
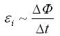
Тұйық контурдағы индукцияның ЭҚК-і модулі жағынан магнит ағынының өзгеріс жылдамдығына тең, ал бағыты жағынан оған қарама-қарсы |
Қозғалмайтын
өткізгіште электромагниттік индукция құбылысының негізі
тек индукциялық токтың пайда болуында емес, электрондарды
өткізгіште қозғалысқа келтіретін құйынды
электр өрісінің тууында ![]()
|
Магнит
индукциясы құйынды электр өрісінің кернеулігі де соғұрлым жоғарырақ болады |
|
Өздік индукция - электромагниттік индукция құбылысының дербес түрі. Егер катушка арқылы айнымалы ток жүріп жатса, онда катушканы тесіп өтетін магнит ағыны өзгереді. Сол себептен айнымалы ток (Isi) өтіп жатқан өткізгіштің өзінде индукцияның ЭҚК-і (εsi) пайда болады. Бұл құбылыс өздік индукция деп аталады.
|
|
Тізбекті тұйықтағанда
|
|
|
Тізбекті ажыратқанда
|
|
Токтың
тудыратын магнит өрісі индукциясы В векторының модулі ток
күшіне тура пропорционал болады, ал Ф магнит ағыны векторына пропорционал
болғандықтан ![]()
|
|
|
|
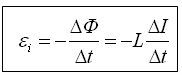
осыдан |
|
L ‒ контурдың индуктивтілігі, I – ток күші, Ф – магнит ағыны, индуктивтілігі 1 Гн катушкадан 1 А ток өткенде тудыратын магнит ағыны 1Вб (вебер).
Электромагниттік индукция заңын
пайдаланып 
Индуктивтілік L [Гн] - Сандық мәні жағынан ток күшін 1 с ішінде 1 А-ге өзгерткен кезде контурда пайда болатын өздік индукциясының ЭҚК-іне тең болатын физикалық шама. Индуктивтік өткізгіштің өлшемдеріне және оның пішініне, ортаның магниттік қасиеттеріне тәуелді электр тізбегінің «инерттілігінің» өлшемі.
Магнит
өрісінің энергиясы 
http://www.itest.kz/lekciya_magnittik_kushter
Скачано с www.znanio.ru
Материалы на данной страницы взяты из открытых источников либо размещены пользователем в соответствии с договором-офертой сайта. Вы можете сообщить о нарушении.