Тест "Деление дроби" 8 класс алгебра

  • docx
  • 09.10.2025
Публикация на сайте для учителей

Публикация педагогических разработок

Бесплатное участие. Свидетельство автора сразу.
Мгновенные 10 документов в портфолио.

Иконка файла материала 06. Тест. Деление дробей.docx

Деление дробей

Автор: © 2015, ООО КОМПЭДУ, http://compedu.ru

Описание:

При поддержке проекта http://videouroki.net

 

Задание 1

Вопрос:

Найдите значение выражения при a = 8. Ответ укажите в виде десятичной дроби.

 

Запишите число:

 ___________________________

 

Задание 2

Вопрос:

Упростите выражение:

 

 

Выберите один из 5 вариантов ответа:

1)

2)

3)

4)

5)

 

Задание 3

Вопрос:

Найдите частное дробей:

 

Выберите один из 5 вариантов ответа:

1)

2)

3)

4)

5)

 

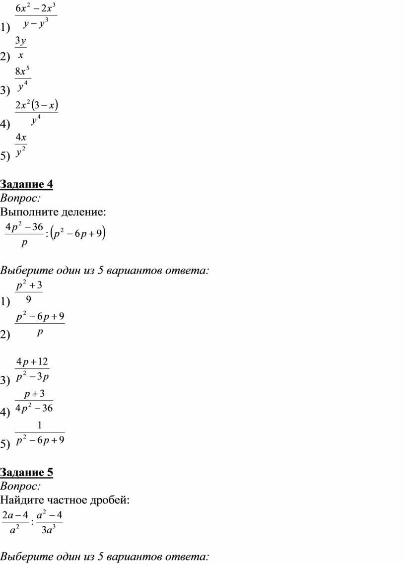
Задание 4

Вопрос:

Выполните деление:

 

 

Выберите один из 5 вариантов ответа:

1)

2)

 

3)

4)

5)

 

Задание 5

Вопрос:

Найдите частное дробей:

 

Выберите один из 5 вариантов ответа:

1)

2)

3)

4)

5)

 

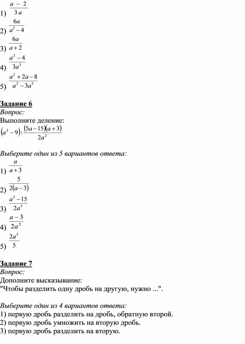
Задание 6

Вопрос:

Выполните деление:

 

Выберите один из 5 вариантов ответа:

1)

2)

3)

4)

5)

 

Задание 7

Вопрос:

Дополните высказывание:

"Чтобы разделить одну дробь на другую, нужно ...".

 

Выберите один из 4 вариантов ответа:

1) первую дробь разделить на дробь, обратную второй.

2) первую дробь умножить на вторую дробь.

3) первую дробь разделить на вторую.

 

4) первую дробь умножить на дробь, обратную второй.

 

Задание 8

Вопрос:

Найдите частное дробей:

 

Выберите один из 5 вариантов ответа:

1)

2)

3)

4)

5)

 

Задание 9

Вопрос:

Упростите выражение:

 

Выберите один из 5 вариантов ответа:

1)

2)

3)

4)

5)

 

 

Задание 10

Вопрос:

Найдите значение произведения, если a = 2, b = 1.

 

Запишите число:

 ___________________________


 

Ответы:

1) (1 б.): Верный ответ: 1,9;

2) (1 б.) Верные ответы: 2;

3) (1 б.) Верные ответы: 2;

4) (1 б.) Верные ответы: 3;

5) (1 б.) Верные ответы: 3;

6) (1 б.) Верные ответы: 5;

7) (1 б.) Верные ответы: 4;

8) (1 б.) Верные ответы: 3;

9) (1 б.) Верные ответы: 3;

10) (1 б.): Верный ответ: 2;


 

Посмотрите также