План урока
|
Раздел долгосрочного плана: 9.2А Основы динамики |
Школа: |
||||||||||||||||||||||||||||||||||||
|
Дата: |
ФИО учителя: |
||||||||||||||||||||||||||||||||||||
|
Класс: 9 |
Количество присутствующих: |
отсутствующих: |
|||||||||||||||||||||||||||||||||||
|
Тема урока |
Третий закон Ньютона |
||||||||||||||||||||||||||||||||||||
|
Цели обучения, которые достигаются на данном уроке (ссылка на учебную программу) |
9.2.2.5 - формулировать третий закон Ньютона и применять при решении задач |
||||||||||||||||||||||||||||||||||||
|
Цели урока |
понимать формулировку третьего закона Ньютона объяснять на примерах третий закон Ньютона решать задачи на законы Ньютона |
||||||||||||||||||||||||||||||||||||
|
Критерии успеха |
понимает формулировку третьего закона Ньютона объясняет на примерах третий закон Ньютона решает задачи на законы Ньютона |
||||||||||||||||||||||||||||||||||||
|
Языковые цели
|
Учащиеся могут: объяснять применение законов Ньютона, используя термины: масса тела, равнодействующая сила, инерциальная система отчета, состояние покоя, движение с ускорением, взаимодействие тел и т.д. Лексика и терминология, специфичная для предмета:
Полезные выражения для диалогов и письма: Если на тело не действуют силы, то……. Ускорение тела прямопропорционально…… …., тем с большим ускорением движется тело. |
||||||||||||||||||||||||||||||||||||
|
Привитие ценностей
|
развивать навыки контроля и самоконтроля; формирование интеллектуальной, исследовательской и информационной культуры; формирование личностно-смыслового отношения к предмету |
||||||||||||||||||||||||||||||||||||
|
Межпредметные связи |
Математика |
||||||||||||||||||||||||||||||||||||
|
Навыки использования ИКТ |
Презентация Power Point https://www.youtube.com/watch?v=ig3_QfQ5wDM |
||||||||||||||||||||||||||||||||||||
|
Предварительные знания
|
Силы в механике. Первый и второй законы Ньютона. |
||||||||||||||||||||||||||||||||||||
|
Ход урока |
|||||||||||||||||||||||||||||||||||||
|
Запланированные этапы урока |
Запланированная деятельность на уроке
|
Ресурсы |
|||||||||||||||||||||||||||||||||||
|
Начало урока 7 мин
|
Приветствие учащихся. Тема урока, цели и критерии урока.
Актуализация знаний: повторение предыдущей темы. Совместное обсуждение.
|
Презентация |
|||||||||||||||||||||||||||||||||||
|
Середина урока 20 мин
|
Обсуждение видеоматериала.
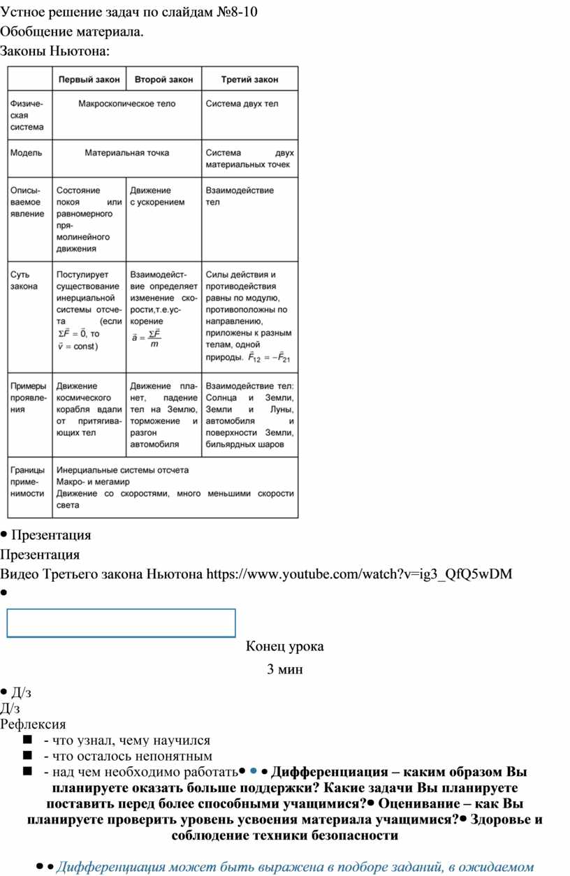
Устное решение задач по слайдам №8-10 Обобщение материала. Законы Ньютона:
|
Презентация Видео Третьего закона Ньютона https://www.youtube.com/watch?v=ig3_QfQ5wDM
|
|||||||||||||||||||||||||||||||||||
|
Конец урока 3 мин
|
Д/з Рефлексия n - что узнал, чему научился n - что осталось непонятным n - над чем необходимо работать |
|
|||||||||||||||||||||||||||||||||||
|
Дифференциация – каким образом Вы планируете оказать больше поддержки? Какие задачи Вы планируете поставить перед более способными учащимися? |
Оценивание – как Вы планируете проверить уровень усвоения материала учащимися? |
Здоровье и
соблюдение техники безопасности |
|||||||||||||||||||||||||||||||||||
|
Дифференциация может быть выражена в подборе заданий, в ожидаемом результате от конкретного ученика, в оказании индивидуальной поддержки учащемуся, в подборе учебного материала и ресурсов с учетом индивидуальных способностей учащихся (Теория множественного интеллекта по Гарднеру). Дифференциация может быть использована на любом этапе урока с учетом рационального использования времени. |
Используйте данный раздел для записи методов, которые Вы будете использовать для оценивания того, чему учащиеся научились во время урока. |
Здоровьесберегающие технологии. Используемые физминутки и активные виды деятельности. Пункты, применяемые из Правил техники безопасности на данном уроке.
|
|||||||||||||||||||||||||||||||||||
|
Рефлексия по уроку
Были ли цели урока/цели обучения реалистичными? Все ли учащиеся достигли ЦО? Если нет, то почему? Правильно ли проведена дифференциация на уроке? Выдержаны ли были временные этапы урока? Какие отступления были от плана урока и почему? |
Используйте данный раздел для размышлений об уроке. Ответьте на самые важные вопросы о Вашем уроке из левой колонки. |
||||||||||||||||||||||||||||||||||||
|
|
|||||||||||||||||||||||||||||||||||||
|
Общая оценка
Какие два аспекта урока прошли хорошо (подумайте как о преподавании, так и об обучении)? 1:
2:
Что могло бы способствовать улучшению урока (подумайте как о преподавании, так и об обучении)? 1:
2:
Что я выявил(а) за время урока о классе или достижениях/трудностях отдельных учеников, на что необходимо обратить внимание на последующих уроках?
|
|||||||||||||||||||||||||||||||||||||
Скачано с www.znanio.ru
Материалы на данной страницы взяты из открытых источников либо размещены пользователем в соответствии с договором-офертой сайта. Вы можете сообщить о нарушении.