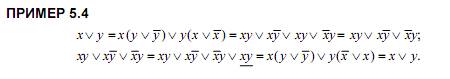
Трудные_темы_информатики._Сдаем_ЕГЭ_законы тождества5

  • docx
  • 28.12.2021
Публикация на сайте для учителей

Публикация педагогических разработок

Бесплатное участие. Свидетельство автора сразу.
Мгновенные 10 документов в портфолио.

Иконка файла материала Трудные_темы_информатики._Сдаем_ЕГЭ_законы тождества5.docx