Урок по теме «Упрощение выражений», 5 класс
Цели урока: познакомить учащихся с распределительным свойством умножения относительно сложения и относительно вычитания; учить применять это свойство при устных вычислениях.
Ход урока
I. Организационный момент
II. Устный счет. Определение темы урока
На доске:

— Найдите значения выражений.
— Какие свойства вам пришлось использовать при вычислениях?
— Расскажите, как вы вычисляли сумму 56 ∙ 4. (56 ∙ 4 = (50 + 6) ∙ 4 = 50 ∙ 4 + 6 ∙ 4 = 224.)
— Сформулируйте это правило.
Сегодня на уроке мы повторим правила, которые вы изучали в начальной школе, дадим им новое название и будем учиться применять их при упрощении выражений.
III. Повторение правил умножения суммы на число и умножения разности на число
На доске:

— Что вы видите на доске?
— Как найти сумму всех квадратов?
(4 + 2) ∙ 3 = 6 ∙ 3 = 18. (Сначала узнаем, сколько квадратов в одном ряду, затем, умножив на 3, узнаем, сколько всего квадратов.)
— Как можно вычислить количество другим способом?
4 ∙ 3 + 2 ∙ 3 = 12 + 6 = 18. (Сначала узнаем, сколько желтых квадратов, потом — сколько зеленых. Сложив полученные произведения, найдем, сколько всего квадратов.)
— Что мы находили первым выражением? Что находили вторым выражением? Какой знак можно поставить между ними?
(4 + 2) ∙ 3 = 4 ∙ 3 + 2 ∙ 3
— Как называется это правило?
— Сформулируйте правило умножения суммы на число.
— Как узнать, на сколько желтых квадратов больше, чем зеленых?
(4 — 2) ∙ 3 = 4 ∙ 3 — 2 ∙ 3 = 6. (Узнаем, на сколько желтых больше, чем зеленых, в одном ряду. Умножив на 3, узнаем, на сколько желтых больше, чем зеленых.)
— Как можно вычислить по-другому?
4 ∙ 3 — 2 ∙ 3 = 6. (Узнаем, сколько всего желтых квадратов и сколько всего зеленых. Вычтем из первого произведения второе и узнаем, на сколько желтых квадратов больше, чем зеленых.)
— Дайте название этому правилу.
— Сформулируйте правило умножения разности на число.
IV. Работа по учебнику
1. Работа по статье учебника.
— Прочитайте статью учебника и приготовьтесь отвечать на вопросы.
— Сформулируйте распределительное свойство умножения относительно сложения.
— Сформулируйте свойство умножения относительно вычитания.
— Объясните, для чего мы изучаем распределительное свойство умножения.
— Запишите распределительное свойство умножения относительно сложения и относительно вычитания при помощи букв.
(Учащиеся записывают эти свойства на доске, учитель выставляет карточки.)
(а + b) ∙ с = ас + bс
(а — b) ∙ с = ас — bс
— Проговорите распределительное свойство, глядя на карточки.
2.— Прочитайте задание. Рассмотрите образец.

— Какое свойство мы использовали для вычислений?
— Сформулируйте.
ФИЗМИНУТКА
3. Прочитайте задание.
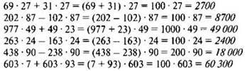
Распределительное свойство умножения нужно уметь видеть и узнавать и по второй части записи.
![]()
69 ∙ 27 + 31 ∙ 27 =
— Какой множитель повторяется?
— Какой знак стоит между произведениями?
— Как “собрать” запись?
(Далее задание выполняется в паре.)
Проверка

VI. Повторение изученного материал (работа в паре с последующей проверкой).

VII. Рефлексия
— Какое новое знание получили на уроке?
— Сформулируйте распределительное свойство умножения относительно сложения, относительно вычитания.
Итоги урока. Выставление оценок за урок.
Домашнее задание.
Материалы на данной страницы взяты из открытых источников либо размещены пользователем в соответствии с договором-офертой сайта. Вы можете сообщить о нарушении.