Урок-закрепление по теме «Свойства действий с рациональными числами», 6 класс
Цели урока: обобщить ранее изученный материал, систематизировать знания, умения и навыки при выполнении различных упражнений и при решении задач; развивать умение анализировать и делать выводы, навыки самоконтроля и взаимоконтроля; формировать уверенность в себе, в своих знаниях.
Ход урока
I. Организационный момент
II. Устный счет
1. Решите уравнения:
![]()
2. До обеда продали - всех овощей. После обеда осталось продать еще 60 кг. Сколько всего овощей было?
3. Требуется полсотни разделить на половину. Сколько получится? (50 : 0,5 = 100.)
4. Какой знак нужно поставить между 0 и 1, чтобы получить число, большее 0, но меньше 1? (Запятую: 0,1.)
5. Если от удвоенного задуманного числа отнять 125, получим квадрат 5. Какое число задумали? (75.)
Решение: 2 х — 125 = 52.
III. Индивидуальная работа
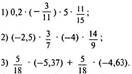
1 карточка
Вычисли как можно проще:

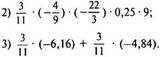
2 карточка (для более подготовленных учащихся)
Вычисли как можно проще:
![]()

IV. Сообщение темы урока
— Сегодня на уроке мы продолжим работать над темой «Свойства действий с рациональными числами».
V. Изучение нового материала
1. Подготовительная работа.
Вставьте пропущенные буквы:

— Как называется каждое свойство?
2. Работа над новой темой.

VI. Закрепление изученного материала
1. Запишите в виде суммы двух
дробей: ![]()
2. № № учебника (на доске и в тетрадях).
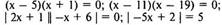
3. Решите уравнения:
![]()
VII. Работа над задачей
1. № № учебника (на доске работаем цветными мелками).
2. № № учебника (на доске и в тетрадях).
VIII. Физминутка
IX. Повторение изученного материала
1. № № учебника. 210 (устная работа).
2. № № учебника (самостоятельно, устная проверка).
3. № № учебника (самостоятельно, самопроверка).
X. Подведение итогов урока
— Перечислите свойства сложения рациональных чисел.
— Перечислите свойства умножения рациональных чисел.
— В каком случае произведение двух чисел равно нулю?
Итоги урока
Выставление оценок
Домашнее задание
Материалы на данной страницы взяты из открытых источников либо размещены пользователем в соответствии с договором-офертой сайта. Вы можете сообщить о нарушении.